磁场作用下不同Mg含量Al-Mg合金腐蚀行为研究
Influence of Magnetic Field on Corrosion Behavior of Al-Mg Alloys with Different Mg Content
通讯作者: 周泽华,E-mail:zhouzehua@hhu.edu.cn,研究方向为面向海洋工程的金属材料长效防护技术张欣,E-mail:zhangxin.007@163.com,研究方向为金属材料的表面防护技术
收稿日期: 2020-11-16 修回日期: 2020-11-23 网络出版日期: 2021-07-14
| 基金资助: |
|
Corresponding authors: ZHOU Zehua, E-mail:zhouzehua@hhu.edu.cnZHANG Xin, E-mail:zhangxin.007@163.com
Received: 2020-11-16 Revised: 2020-11-23 Online: 2021-07-14
作者简介 About authors
杨光恒,男,1997年生,硕士生
通过扫描电子显微镜、能谱分析仪、电化学工作站研究了磁场对不同Mg含量Al-Mg合金腐蚀行为的影响;通过自制磁场装置对氯化钠溶液进行磁化处理,研究磁场对溶液性质的影响。探究磁场对带电粒子的作用和磁场对溶液性质的改变对铝镁合金腐蚀过程的影响差异。结果表明,溶液经过磁场处理后,pH和电导率增加,进而导致合金的腐蚀速率升高。在磁场的作用下,顺磁粒子Alad+被聚集在合金表面,抑制腐蚀进一步发展,从而降低了铝镁合金的腐蚀速率。磁场对带电粒子的作用大于溶液pH和电导率变化对合金腐蚀行为的影响,因此整体上导致合金腐蚀速率的降低。
关键词:
The influence of magnetic field on the corrosion behavior of Al-Mg alloys with different Mg content in 3.5%NaCl solutions was characterized by electrochemical workstation, scanning electron microscopy (SEM) and energy-dispersive spectroscopy (EDS). The NaCl solution was magnetized in desired magnetic fields in order to reveal the effect of magnetic field on the properties of the solution and the corrosion performance of Al-Mg alloys. The difference between the effect of magnetic field on charged particles and solution properties during the corrosion process of Al-Mg alloys was also investigated. It was found that the pH and conductivity of the solution increased by the action of magnetic field, which led to the increase of corrosion rate of the alloys, meanwhile, paramagnetic particles are gathered on the alloy surface to inhibit the further development of corrosion of Al-Mg alloys. Therefore, the compition of the above two processes resulted in the decrease of corrosion rate of the alloys, which may be ascribed to that the effect of magnetic field on charged particles is greater than that of pH and conductivity of the solution.
Keywords:
本文引用格式
杨光恒, 周泽华, 张欣, 吴林涛, 梅婉.
YANG Guangheng, ZHOU Zehua, ZHANG Xin, WU Lintao, MEI Wan.
本文通过研究磁场对不同Mg含量Al-Mg合金耐蚀性的影响,发现磁场的加入能够使合金的耐蚀性得到改善。同时对溶液进行磁化处理,研究了磁场对3.5% (质量分数) NaCl溶液性质的影响,讨论并比较了溶液性质和磁场引起的附加力对Al-3% (质量分数) Mg合金腐蚀行为的作用机理和作用程度。
1 实验方法
样品选用高纯铝锭A00 (>99.8%)、高纯镁锭 (>99.96%),采用SG2-5-10的井式电阻炉进行熔炼,熔炼温度采用720 ℃,5种合金试样成分 (质量分数) 分别为:Al,Al-1.5%Mg,Al-3.0%Mg,Al-5.0%Mg及Al-8.0%Mg。
为了研究磁场作用下Al-Mg合金的腐蚀行为,更好的弄清楚磁场的作用机理,本文对5种成分的Al-Mg合金试样在0.4 T磁场环境与非磁场环境下分别进行浸泡实验和电化学测试,磁场环境由一对Nd-Fe-B永磁体产生,采用型号为WT10A的特斯拉计测得磁场强度。将熔炼完成的合金切成尺寸为1 mm×1 mm×1 mm的试样,用环氧树脂对试样进行冷镶嵌,留出一个待测面,然后进行表面打磨抛光处理,然后在3.5%NaCl溶液中浸泡48 h后采用HITACHI-S3400N扫描电镜 (SEM) 对其表面进行微观形貌观察,采用HORIBA-7021-H能谱仪 (EDS) 对点蚀坑成分进行分析。同时,采用图1的全屋磁化器装置对3.5%NaCl溶液进行磁化处理,每隔0.5 h测量一次溶液的性质,溶液的电导率由DDSJ-307电导率仪测得,溶液的pH由PHS-3C酸度计测得,并在处理过后的溶液中对Al-3.0%Mg合金进行电化学测试。制备电化学腐蚀试样时,将铜导线与基体连接,表面留出一定的暴露面积,其它非测试面与导线裸露部分用环氧树脂密封,测得其Tafel极化曲线及阻抗谱。
图1
采用电化学方法测试Al-Mg合金的耐蚀性,在CHI660E A14330型电化学工作站上进行三电极体系,工作电极为Al-Mg合金,辅助电极为铂电极,参比电极为饱和甘汞电极。测试得到阻抗谱和Tafel极化曲线。极化曲线的测试范围为-1.6~-0.4 V,扫描速率为0.001 V/s,采用Tafel直线外推法计算出自腐蚀电位Ecorr和自腐蚀电流密度Icorr,采用ZSIMPWIN软件对测量的阻抗结果进行模拟分析。
2 实验结果
图2
图2
不同镁含量Al-Mg合金在3.5%NaCl溶液中浸泡48 h后表面微观形貌
Fig.2
Surface micromorphologies of Al-xMg alloys (x=0 (a), 1.5 (b), 3.0 (c), 5.0 (d), 8.0% (e)) after 48 h immersion in 3.5%NaCl solution under the conditions of 0 (a1~e1) and 0.4 T (a2~e2)
图3
图3
Al-3.0Mg合金在无磁场环境下3.5%NaCl溶液中浸泡48 h后点蚀坑形貌及EDS分析
Fig.3
SEM image (a) EDS analysis result (b) of Al-3.0Mg alloy after corrosion in 3.5%NaCl solution without magnetic field for 48 h
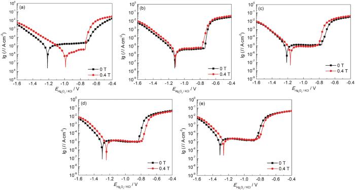
图4为不同镁含量的Al-Mg合金分别在磁场环境下和非磁场环境下3.5%NaCl溶液中测得的动电位极化曲线。为与磁化处理相区分,磁场环境下电化学测试时,合金未经浸泡立即开始测量,以防止时间过长溶液被磁化。采用阴极外推法计算得到合金的Ecorr和Icorr,以钝化膜被击穿时的临界电势作为点蚀电位 (Epit),如表1所示。可以看出,对于合金来说,磁场的加入均能够增加合金的腐蚀电位,降低合金的腐蚀倾向,其中纯Al的腐蚀电位差在两种环境下变化最大,由-1.215 V变化至-0.988 V,说明磁场对其腐蚀倾向影响较大。0.4 T磁场环境下合金的腐蚀电流密度比无磁场环境下有所降低,说明磁场的加入降低了合金的腐蚀速率。随着Mg的加入,合金的点蚀电位有所降低,说明Mg的加入使得合金的点蚀敏感性增加,促进了点蚀的形成,与浸泡后合金表面的微观形貌变化规律基本一致。施加磁场使合金的点蚀电位均有所增加,但增加幅度较小,对点蚀的形成倾向略起抑制作用。
图4
图4
非磁场和0.4 T磁场环境下不同Mg含量Al-Mg合金动电位极化曲线
Fig.4
Potentiodynamic polarization curves of Al (a) and Al-1.5Mg (b), Al-3.0Mg (c), Al-5.0Mg (d) and Al-8.0Mg (e) alloys in 3.5%NaCl solution under the magnetic field intensities of 0 and 0.4 T
表1 不同Mg含量的Al-Mg合金的Ecorr,Icorr,Epit值
Table 1
| Mg | Ecorr / V | △Ecorr V | Icorr / μA·cm-2 | △IcorrμA·cm-2 | Epit / V | △Epit V | |||
|---|---|---|---|---|---|---|---|---|---|
| 0 T | 0.4 T | 0 T | 0.4 T | 0 T | 0.4 T | ||||
| 0% | -1.215 | -0.988 | 0.227 | 8.563 | 2.139 | -6.424 | -0.721 | -0.743 | -0.022 |
| 1.5% | -1.125 | -1.116 | 0.009 | 4.589 | 2.875 | -1.714 | -0.776 | -0.750 | 0.026 |
| 3.0% | -1.214 | -1.167 | 0.047 | 12.05 | 8.510 | -3.54 | -0.772 | -0.761 | 0.011 |
| 5.0% | -1.296 | -1.243 | 0.053 | 14.51 | 11.50 | -3.01 | -0.794 | -0.786 | 0.008 |
| 8.0% | -1.314 | -1.260 | 0.054 | 28.38 | 21.62 | -6.76 | -0.842 | -0.821 | 0.021 |
外加磁场对Al-Mg合金在NaCl溶液中电极过程的影响主要集中于对溶液中铝阳极的活化与溶解及传质过程的影响。主要是磁场在溶液/金属界面产生磁流体动力造成的,磁场将会影响阴阳离子的运动并对顺磁粒子具有顺磁梯度力[8]。在磁场下,由于电极反应,将出现一定浓度梯度的顺磁粒子,并提升它们本身的驱动力,这个力与顺磁粒子梯度方向一致,将造成顺磁粒子在扩散层的再分配并增加顺磁粒子的密度[9]。铝阳极溶解过程主要为铝溶解失去电子成为活性中间离子Alad+,如反应式 (1) 所示,不稳定的中间离子将会发生如 (2) 和 (3) 的反应,失去电子或与水反应变成Al3+和Al(OH)3。例如,Al-3.0%Mg合金在NaCl溶液中腐蚀最先形成的粒子,其电子排布为1S22S22P63S13P1。3S和3P电子轨道上均有一个成单电子,因此Alad+为顺磁性离子,在顺磁梯度力的作用下会聚集在铝合金电极表面,从而造成铝电极表面Alad+浓度升高并阻碍反应 (1) 的进行;进而降低反应过程中生成Al3+的浓度,抑制反应 (2) 和 (3) 的进行,从而有效抑制铝阳极的进一步溶解[10]。
图5
图5
经0.4 T磁场处理以及处理后3.5%NaCl溶液的pH值和电导率变化曲线
Fig.5
Variations of pH and conductivity of 3.5%NaCl solution during and after the magnetic field treatment at 0.4 T
图6a,b为非磁场环境下Al-3.0%Mg合金分别在未磁化处理以及磁化处理后的NaCl溶液中测得的动电位极化曲线和Nyquist图,表2为由极化曲线和等效电路得到的Ecorr,Icorr以及等效电路参数。从中可以看出,在经过磁化处理后的溶液进行电化学测试时,合金的腐蚀电位相比在未处理溶液中的有所下降,腐蚀电流密度显著增大,说明溶液性质的变化增大了合金的腐蚀倾向,同时使得合金腐蚀速率增加,加快了合金的腐蚀。磁化处理后的溶液中电荷转移阻力 (Rt) 和电容元件 (C) 较未处理溶液中均减小,在pH较高的溶液中,合金具有较低的耐蚀性,同时溶液的电导率增大,促进了铝阳极的活化和溶解过程,促进传质过程。综上说明,磁场在一定程度上可以改变溶液的性质,进而影响合金的腐蚀行为。
图6
图6
Al-3.0%Mg合金非磁场和0.4 T磁场环境下在不同溶液中的动电位极化曲线,阻抗谱及等效电路
Fig.6
Potentiodynamic polarization curves (a, c), Nyquist diagrams (b, d) and impedance module of Al-3.0%Mg alloy in untreated and treated solutions at the magnetic field intensity of 0 T (a, b) and 0.4 T (c, d)
表2 Al-3.0%Mg合金在无外加磁场条件下不同溶液中的Ecorr,Icorr值和阻抗参数
Table 2
| Solution | Ecorr / V | Icorr / μA·cm-2 | Rs / Ω·cm2 | C / F·cm2 | Rt / Ω·cm2 |
|---|---|---|---|---|---|
| Untreated | -1.214 | 12.05 | 7.593 | 1.087×10-5 | 3.444×104 |
| Treated | -1.226 | 12.61 | 7.231 | 1.307×10-5 | 2.798×104 |
图6c,d为0.4 T磁场环境下Al-3.0%Mg合金分别在NaCl溶液和磁化处理后的NaCl溶液中测得的动电位极化曲线和Nyquist图,表3为由极化曲线和等效电路得到的Ecorr,Icorr以及等效电路参数。在施加磁场环境下,合金在未处理的NaCl溶液中腐蚀电位为-1.164 V,高于磁化后的NaCl溶液中测得的-1.203 V,腐蚀电流密度也有显著下降。磁场的加入使合金的溶液电阻 (Rs) 增大,降低了溶液的传质能力。Rt表示合金的电荷转移阻力,反应了合金的活性,Rt值越低,合金活性越高[15]。磁场能使合金的Rt提高,从而降低合金的活性,增加合金的耐蚀性。综上说明,磁场引起的附加力对于合金耐蚀性的影响大于溶液性质对于合金耐蚀性的影响。
表3 Al-3.0%Mg合金在0.4 T磁场环境下在不同溶液中的Ecorr,Icorr值和阻抗参数
Table 3
| Solution | Ecorr / V | Icorr / μA·cm-2 | Rs / Ω·cm2 | C / F·cm2 | Rt / Ω·cm2 |
|---|---|---|---|---|---|
| Untreated | -1.164 | 8.51 | 8.745 | 4.665×10-6 | 3.234×104 |
| Treated | -1.203 | 12.79 | 5.841 | 1.251×10-5 | 2.041×104 |
3 结论
(1) 磁场的加入能够增加铝镁合金在3.5%NaCl溶液中的腐蚀电位,抑制合金的腐蚀倾向,显著降低铝镁合金腐蚀电流密度,减缓铝镁合金的腐蚀速率。
(2) 磁化处理能够使3.5%NaCl溶液的pH值和电导率有明显增加,从而导致铝镁合金的腐蚀加速。
(3) 磁场对于铝镁合金腐蚀的抑制作用主要体现在顺磁梯度力和对溶液性质改变两方面,且顺磁梯度力的作用大于溶液性质本身的作用,因此磁场的加入导致了合金的腐蚀速率降低。
参考文献
Research progress in electromagnetic shielding materials
[J].
电磁屏蔽材料的研究进展
[J].
Research on shielding effectiveness calculation method of electromagnetic shielding materials
[J].
Effects of Er on the microstructure and mechanical properties of an as-extruded Al-Mg alloy
[J].
Radiated electromagnetic interference of electronic equipment
[J].
Correlation analysis of magnetic field and conductivity, pH value in electromagnetic restraint of scale formation
[J].
电磁抑垢实验中磁场作用与电导率及pH值的关联分析
[J].
Influence of magnetic water treatment on the calcium carbonate phase formation and the electrochemical corrosion behavior of carbon steel
[J].
Research on magnesium alloy for ships in simulated seawater by magnetic field
[J].
磁场对船用镁合金在模拟海水中的研究
[J].
Effects of an applied magnetic field on the anodic dissolution of nickel in HNO3+Cl- solution
[J].
Influence of magnetic forces on electrochemical mass transport
[J].
Activation behavior of aluminum sacrificial anodes in sea water
[J]. J.
铝基牺牲阳极在海水中的活化行为
[J].
Effect of magnetized water on corrosion resistance of metals
[J].
磁化水对金属耐蚀性能的影响
[J].
The properties of magnetic conditioned water
[J]. J.
磁调控对水的性能影响
[J].
Investigation of changes in properties of water under the action of a magnetic field
[J].
Application of magnetized water treatment in anti-scaling and membrane separation
[J].
磁化水处理在防垢和膜分离中的应用
[J].
Effect of Sc and Zr additions on corrosion behaviour of Al-Zn-Mg-Cu alloys
[J].
/
| 〈 |
|
〉 |
