磁场作用下不同Mg含量Al-Mg合金腐蚀行为研究 |
| 杨光恒, 周泽华, 张欣, 吴林涛, 梅婉 |
|
Influence of Magnetic Field on Corrosion Behavior of Al-Mg Alloys with Different Mg Content |
| YANG Guangheng, ZHOU Zehua, ZHANG Xin, WU Lintao, MEI Wan |
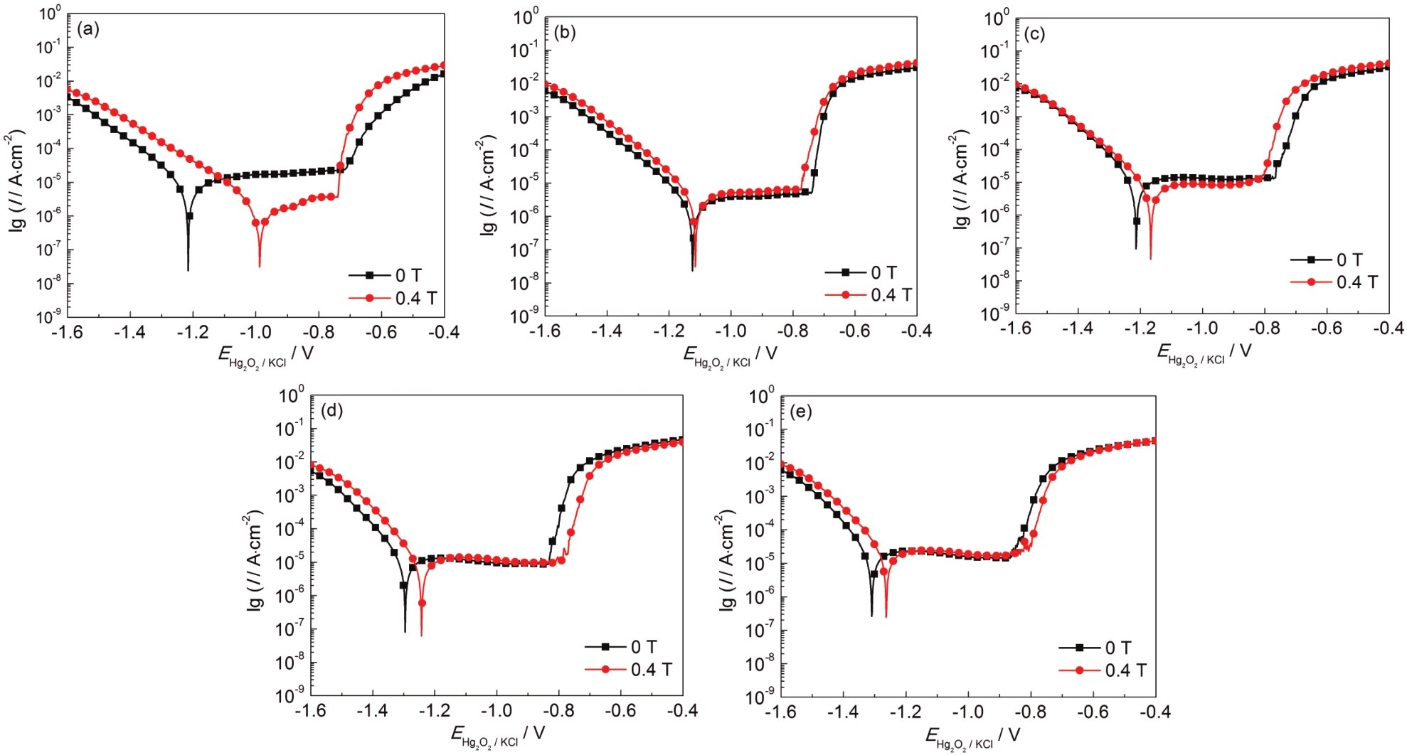
| 图4 非磁场和0.4 T磁场环境下不同Mg含量Al-Mg合金动电位极化曲线 |
| Fig.4 Potentiodynamic polarization curves of Al (a) and Al-1.5Mg (b), Al-3.0Mg (c), Al-5.0Mg (d) and Al-8.0Mg (e) alloys in 3.5%NaCl solution under the magnetic field intensities of 0 and 0.4 T |
|