磁场作用下不同Mg含量Al-Mg合金腐蚀行为研究 |
| 杨光恒, 周泽华, 张欣, 吴林涛, 梅婉 |
|
Influence of Magnetic Field on Corrosion Behavior of Al-Mg Alloys with Different Mg Content |
| YANG Guangheng, ZHOU Zehua, ZHANG Xin, WU Lintao, MEI Wan |
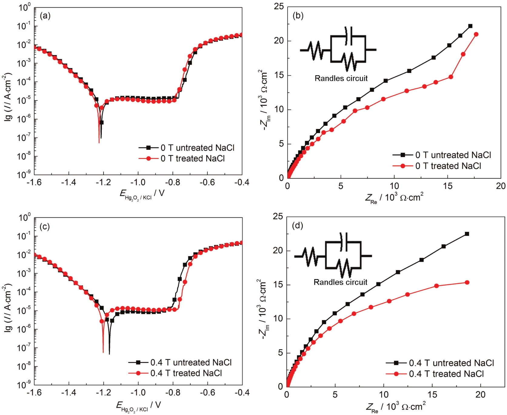
| 图6 Al-3.0%Mg合金非磁场和0.4 T磁场环境下在不同溶液中的动电位极化曲线,阻抗谱及等效电路 |
| Fig.6 Potentiodynamic polarization curves (a, c), Nyquist diagrams (b, d) and impedance module of Al-3.0%Mg alloy in untreated and treated solutions at the magnetic field intensity of 0 T (a, b) and 0.4 T (c, d) |
|