Mg处理X70级抗酸性海底管线钢 (X70MOS) 成分设计及耐蚀性能研究
郎丰军 1 , 2 , 3 , 黄峰 , 2 , 3 , 徐进桥 3 , 李利巍 3 , 岳江波 3 , 刘静 1 , 2
1.武汉科技大学 省部共建耐火材料与冶金国家重点实验室 武汉 430081
2.武汉科技大学 湖北省海洋工程材料及服役安全工程技术研究中心 武汉 430081
3.宝钢股份中央研究院 武汉 430080
Composition Design and Corrosion Resistance of Mg Microallyed X70 Grade Acid Resistant Submarine Pipeline Steel (X70MOS)
LANG Fengjun 1 , 2 , 3 , HUANG Feng , 2 , 3 , XU Jinqiao 3 , LI Liwei 3 , YUE Jiangbo 3 , LIU Jing 1 , 2
1.The State Key Laboratory of Refractories and Metallurgy, Wuhan University of Science and Technology, Wuhan 430081, China
2.Hubei Engineering Technology Research Center of Marine Materials and Service Safety, Wuhan University of Science and Technology, Wuhan 430081, China
3.Baosteel Central Research Institute, Wuhan 430080, China
通讯作者: 黄峰,E-mail:huangfeng@wust.edu.cn ,研究方向为高性能钢铁材料及服役安全
收稿日期: 2020-10-27
修回日期: 2020-11-11
网络出版日期: 2021-07-14
基金资助:
国家自然科学基金 . 51871172 中央引导地方科技发展专项 . 2018ZYYD026
Corresponding authors: HUANG Feng, E-mail:huangfeng@wust.edu.cn
Received: 2020-10-27
Revised: 2020-11-11
Online: 2021-07-14
摘要
利用OLI Analyzer Studio软件,模拟海底管线管内NACE A和管外3.5%NaCl腐蚀环境,计算合金元素添加量对X70海底管线钢腐蚀速率的影响规律。在保证X70海底管线钢力学性能前提下,设计成分并轧制含0.003%Mg和无Mg的X70MOS实验钢。运用电化学测试技术和NACE TM 0284-2016标准,研究和评估X70MOS实验钢和常规X70海底管线钢的耐蚀性能和抗HIC性能。结果表明,Mg处理钢在NACE A溶液中较无Mg处理钢、X70海底管线钢腐蚀速率分别降低14.3%和73.3%,在3.5%NaCl溶液中分别降低52.8%和80.4%。Mg处理钢HIC敏感性较无Mg处理钢、X70海底管线钢大大降低,满足NACE标准规定值。X70MOS钢研制中使用0.003% Mg处理不仅可以降低合金成本,而且具有提高耐蚀性和抗HIC性能作用。
关键词:
X70MOS钢
;
Mg处理
;
成分设计
;
耐蚀性能
Abstract
The corrosion rate of X70 submarine pipeline steel with alloying element addition in the so called NACE A medium and 3.5%NaCl solution was calculated by means of OLI analyzer studio software in order to simulate the corrosion situation of inner side and outer side of the real pipeline in service. Under the premise of ensuring the mechanical properties of X70 submarine pipeline steel, experimental X70MOS steels without and with 0.003% Mg-addition were designed and rolled. Then their corrosion resistance and hydrogen induced cracking (HIC) susceptibility were studied via electrochemical techniques in accord with NACE TM 0284-2016 standard. The results showed that corrosion rate of X70MOS steel with Mg-addition was lower than both that without Mg-addition and X70 submarine pipeline steel by 14.3% and 73.3% respectively in NACE A solution, and decreased by 52.8% and 80.4% respectively in 3.5% NaCl solution. The HIC susceptibility of the Mg-alloyed experimental steel with finely dispersed inclusions was lower than that of X70MOS steel without Mg-addition and X70 submarine pipeline steel. The development of X70MOS steel with 0.003% Mg-addition can enhance the corrosion resistance of the designed steel.
Keywords:
X70MOS steel
;
Mg-treatment
;
composition design
;
corrosion resistance
本文引用格式
郎丰军, 黄峰, 徐进桥, 李利巍, 岳江波, 刘静. Mg处理X70级抗酸性海底管线钢 (X70MOS) 成分设计及耐蚀性能研究 . 中国腐蚀与防护学报 [J], 2021, 41(5): 617-624 DOI:10.11902/1005.4537.2020.213
LANG Fengjun, HUANG Feng, XU Jinqiao, LI Liwei, YUE Jiangbo, LIU Jing. Composition Design and Corrosion Resistance of Mg Microallyed X70 Grade Acid Resistant Submarine Pipeline Steel (X70MOS) . Journal of Chinese Society for Corrosion and Protection [J], 2021, 41(5): 617-624 DOI:10.11902/1005.4537.2020.213
随着海洋油气田不断深入开发,输送的石油和天然气中多含有H2 S等酸性气体,这种湿H2 S环境会导致海底管线钢发生氢致开裂 (HIC) 和硫化物应力开裂 (SSCC) 破坏[1 -3 ] 。为此,人们开发了抗酸管线钢用于含有H2 S等酸性气体的油气输送。现今,抗酸性海底管线钢大规模应用的最高强度级别为X65钢级,为满足我国海洋油气田的深海、长距离、高压、大流量、抗酸性油气输送要求,开发X70级抗酸性海底管线钢 (X70MOS) 具有重要意义。
海底管线钢在管内湿H2 S环境中和管外海洋环境中均遭受着化学和电化学腐蚀导致的管壁减薄,另外在管内湿H2 S环境中还遭受严重的H2 S腐蚀[4 ,5 ] 。研究表明[6 ,7 ] ,海底管线钢的耐蚀性与合金元素及夹杂物密切相关,在规定含量范围内提高Cu、Cr、Ni、Mo等合金元素含量均有助于提高钢的耐蚀性。由于耐蚀合金的价格普遍较高,特别是Ni、Mo等贵金属的加入,使海底管线钢生产成本大幅增加。钢中夹杂物一方面是均匀腐蚀的起点,其尺寸、数量、分布均与海底管线钢耐均匀腐蚀性能相关[8 ] ;另一方面是强的氢陷阱,夹杂物尺寸越大、数量越多,对氢的捕获效率越高,HIC敏感性越高[9 ,10 ] 。研究表明[11 -13 ] ,Mg处理能够迅速生成氧化镁而降低钢中氧含量,钢液中大量细小的氧化镁颗粒将成为后续析出的其它夹杂物的形核质点,相应地在钢中获得更多更细小的夹杂物。我们课题组前期研究[14 ] 也表明,Mg处理可以通过细化夹杂物而大大改善钢的抗HIC性能。然而,目前大量研究主要关注Mg处理对管线钢夹杂物的变质效果,而在Mg处理对海底管线钢管内、管外耐蚀性能及抗HIC性能影响方面的研究较少见到相关报道。
本文利用OLI Analyzer Studio软件模拟管线钢管内NACE A和管外3.5%NaCl服役环境,计算合金元素添加量对X70海底管线钢均匀腐蚀速率的影响规律。在保证X70海底管线钢力学性能前提下,考虑成本因素设计及轧制Mg处理的低合金含量实验钢以及无Mg处理的高合金含量实验钢。运用电化学测试技术和NACE TM 0284-2016标准实验,研究其耐蚀性能和抗HIC性能,并与常规X70海底管线钢进行对比分析,以期为X70MOS钢开发提供理论依据和数据支持。
1 实验方法
采用OLI Analyzer Studio软件开展管线钢管内和管外腐蚀速率模拟计算,以X70海底管线钢为研究对象,腐蚀介质为NACE A (5%NaCl+0.5% CH3 COOH) 和3.5% (质量分数) NaCl,温度为25 ℃。将模拟计算条件输入模拟计算软件,即可建管内、管外腐蚀体系模型。令腐蚀体系模型的其它因素不变,只改变单一合金元素含量,计算Cu、Cr、Ni、Mo等合金元素添加量对X70海底管线钢腐蚀速率影响规律。
按设计成分冶炼实验钢,经中频真空感应炉冶炼后铸锭。将铸锭加热至1150 ℃,采用相同的热机械控制轧制工艺 (TMCP) 和快速冷却工艺,经过7道次轧制成12 mm厚钢板,获得X70MOS钢。
电化学测试分别在NACE A和3.5%NaCl溶液中进行,试样表面用1000#砂纸打磨。无水乙醇清洗脱脂,测试面积为1 cm2 。三电极体系,饱和甘汞为参比电极 (SCE)、铂电极为辅助电极。电化学测试系统由Solartron 1280Z电化学工作站及SAI测试软件组成,如图1 所示。
图1
图1
电化学测试系统
Fig.1
Electrochimical analysis system
实验开始后先进行30 min开路电位 (OCP) 测量,然后进行电化学阻抗谱 (EIS) 测试。电化学阻抗谱交流幅值5 mV,频率范围为1.04 ~10-1 Hz。最后进行动电位极化曲线测量,测试初始电位设为-0.2 V (vs OCP),终止电位设为0.5 V (vs OCP),扫描速率设为0.5 mV/s。电化学测试后,使用SAI软件对获得的极化曲线Tafel活性区以及EIS曲线进行拟合。
HIC敏感性测试按照NACE TM 0284-2016标准的规定进行,试样尺寸为100 mm×20 mm×12 mm,如图2 所示。试样表面用1000#砂纸打磨,无水乙醇清洗脱脂。实验溶液为NACE A溶液 (5%NaCl+0.5%CH3 COOH),溶液初始pH为2.62。恒温水槽控制溶液温度为25 ℃。实验时先通入氮气1 h除氧,通入H2 S气体达到饱和,此时pH为2.75。试验周期为96 h,周期内保持通入容器中的H2 S气体正压,实验结束后测得溶液pH为3.31。
图2
图2
试样尺寸 (mm) 及观察截面示意图
Fig.2
Samples size (mm) and the illustration of related inspecting profile
试样取出后四等份切割,观察3个截面,如图2 所示。对截面进行金相磨抛,在金相显微镜下检查截面出现的裂纹长度及宽度,在距离外表面1 mm以内的裂纹不做统计,然后按下式计算裂纹长度率 (CLR)、裂纹宽度率 (CTR) 和裂纹敏感率 (CSR):
C L R = ∑ a W × 100 % (1)
C T R = ∑ b T × 100 % (2)
C S R = ∑ ( a × b ) ( W × T ) × 100 % (3)
式中,a 为裂纹长度,mm;b 为裂纹厚度,mm;W 为试样宽度,mm;T 为试样厚度,mm。
用Olympus-GX71光学显微镜观察金相组织和夹杂物,金相组织观察前使用5% (体积分数) 硝酸酒精腐蚀磨抛好的样品。用Quanta 400扫描电子显微镜 (SEM) 观察磨抛好的样品夹杂物,并统计60个2000倍视场下夹杂物的尺寸和数量。HIC试验后使用SEM观察HIC裂纹扩展情况,使用Oxford能谱仪 (EDS) 分析夹杂物成分。
2 实验结果
2.1 腐蚀模拟计算结果
合金元素添加量与X70海底管线钢腐蚀速率关系曲线如图3 所示。从图中可见,在NACE A溶液中,X70海底管线钢腐蚀速率随着Cr、Ni含量的增加而快速下降后趋缓,但是随着Cu、Mo含量的增加而呈缓慢下降趋势,这表明在NACE A溶液中,Cu、Mo添加量对X70海底管线钢耐蚀性影响较小。在3.5%NaCl溶液中,X70海底管线钢腐蚀速率随着Cu、Cr、Ni、Mo含量的增加而快速下降后趋缓。在相同的合金含量下,X70海底管线钢在NACE A溶液中的腐蚀速率远高于在3.5%NaCl溶液中的,这表明海底管线在管内的均匀腐蚀较管外的严重。
图3
图3
合金元素添加量与X70海底管线钢腐蚀速率关系曲线
Fig.3
Relation curves of Cu (a), Cr (b), Ni (c) and Mo (d) addition and X70 submarine pipeline steel corrosion rate
2.2 实验钢成分设计及制备
根据模拟计算结果可知,添加Cu、Cr、Ni、Mo等合金元素有利于提高X70海底管线钢在管内、外服役环境中的耐均匀腐蚀性能,但是Cu、Mo对管内服役环境中耐均匀腐蚀性能影响较小。由于Cu增加一方面会增加管线钢组织偏析风险,提高其管内环境HIC敏感性;另一方面Cu会引起钢的热脆。因此,考虑生产成本因素,设计无Cu,低Cr、Ni、Mo,0.003%Mg的实验钢,编号为1#试样,设计添加Cu、Cr、Ni、Mo,无Mg处理的实验钢,编号为2#试样,并采用宝武集团武钢有限公司生产的X70海底管线钢作为对比钢,编号为3#试样。3种钢的主要化学成分如表1 所示。3种钢力学性能均满足API 5L标准对X70级别海底管线钢的要求,如表2 所示。
2.3 显微组织观察与夹杂物分析
3种钢金相组织照片如图4 a~c所示。1#、2#试样组织均为贝氏体组织,晶粒度分别为12级和15级。3#试样为铁素体+珠光体组织,晶粒度11级。相比于1#试样,添加较高合金元素的2#试样晶粒更加细小。而对比钢3#试样Mn含量较高且合金含量较低,晶粒较粗大。
图4
图4
3种钢金相组织及钢夹杂照片
Fig.4
Microstructures (a~c) and inclusions images (d~f) of 1# sample (a, d) , 2# sample (b, e) and 3# (c, f) sample steel
图4 d~f给出了3种钢非金属夹杂物宏观照片。1#试样夹杂物评级为细系D0.5,2#试样夹杂物评级为粗系D1.5和细系D1,3#试样夹杂物评级为细系D1。图5 为3种钢夹杂物类型、数量、尺寸分布统计图。从结果看出,相比无Mg处理的2#、3#试样,1#试样夹杂物细小呈弥散分布,表明Mg处理具有细化、分散夹杂物作用。
图5
图5
3种钢夹杂物类型、数量、尺寸统计
Fig.5
Statistics of type, quantity and size of inclusions in 1# sample (a), 2# sample (b), 3# (c) sample steel
2.4 3种钢均匀腐蚀速率
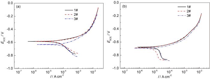
3种钢在不同腐蚀介质中动电位极化曲线如图6 所示。可以看出,在NACE A和3.5%NaCl溶液中3种钢阳极均为金属活性溶解过程,而在NACE A溶液中3种钢阴极为氢去极化过程,在3.5%NaCl溶液中阴极为氧去极化过程。对极化曲线Tafel活性区进行拟合,并利用Faraday定律将腐蚀电流密度转换为以深度指标表示的腐蚀速率,转换公式如下:
图6
图6
3种钢在不同腐蚀介质中动电位极化曲线
Fig.6
Polarization curves of three kinds of steel in NACE A solution (a) and 3.5%NaCl solution (b)
v = 3.28 × 10 - 3 × M ( n × ρ ) × I c o r r (4)
式中,v 为腐蚀速率,mm/a;M 为金属的克原子量,g;n 为金属的原子价;ρ 为金属的密度,g/cm2 ;I corr 为腐蚀电流密度,μA/cm3 。
获得极化曲线Tafel活性区拟合参数及计算得腐蚀速率如表3 所示。从表3 可知,两种溶液中3种钢的自腐蚀电位依次降低,腐蚀电流密度和腐蚀速率依次增大。在NACE A溶液中3种钢的腐蚀速率分别为0.772、0.901和2.890 mm/a,1#试样较2#、3#试样腐蚀速率分别降低14.3%、73.3%。在3.5%NaCl溶液中3种钢的腐蚀速率分别为0.094、0.199 和0.480 mm/a,1#试样较2#、3#试样腐蚀速率分别降低52.8%、80.4%。
3种钢在不同腐蚀介质中的Nyquist曲线如图7 所示。从图中可以看出,在NACE A和3.5%NaCl溶液中3种钢Nyquist曲线高频区为容抗弧,低频区为感抗弧。高频容抗弧表明电极表面存在一定覆盖度的腐蚀产物膜,低频感抗弧表明离子在电极表面的吸附及点蚀形核。1#、2#、3#试样容抗弧半径表现为依次减小,表明电极表面的腐蚀程度依次加剧,这与极化曲线的分析结果是一致的。
图7
图7
3种钢在不同腐蚀介质中的Nyquist曲线及拟合电路
Fig.7
Nyquist curves of three kinds of steel in NACE A solution (a), 3.5%NaCl solution (b) and fitting circuit diagram of Nyquist curves (c)
为了进一步探索3种钢的耐蚀性差异原因,利用等效电路R s (QR p (LR L )) 对图7 中Nyquist曲线数据进行拟合,拟合电路如图7 c所示。其R s 为溶液电阻,Q 为常相位角元件 (界面电容),R p 为电极表面极化电阻,L 为吸附产生的感抗,RL 为吸附层电阻。拟合参数如表4 所示。从结果可以看出,1#、2#、3#试样在NACE A和3.5%NaCl溶液中电极表面的极化电阻R p 依次减小,电极表面与溶液间的界面电容Q 依次增大,阻抗值依次减小。EIS测得R p 依次减小、界面电容Q 依次增大与极化曲线测得腐蚀电流密度依次增大相对应,表明1#、2#、3#试样耐蚀性依次降低。
2.5 3种钢试样HIC敏感性
HIC试样宏观表面形貌如图8 所示。虽然3种钢试样放大100倍未观察到内部裂纹,CLR、CTR和CSR均为0,但在2#、3#试样表面观察到大量氢鼓泡,表明除1#试样外,2#、3#试样HIC敏感性较高。
图8
图8
HIC试样宏观表面形貌
Fig.8
Photograph of HIC samples: (a) 1# sample, (b) 2# sample, (c) 3# sample
为进一步确认引起氢鼓泡的原因,利用SEM观察氢鼓泡截面形貌,如图9 所示。从图中可以看出,氢鼓泡下存在多条裂纹,越靠近试样表面,裂纹开裂幅度越大。EDS能谱分析结果表明裂纹内部夹杂物主要成分均为Al2 O3 。这表明氢鼓泡和裂纹的产生与Al2 O3 夹杂物密切相关,这在后面会详细讨论。
图9
图9
氢鼓泡下截面形貌图及能谱图
Fig.9
Morphology (a) and EDS pattern (b) of the cross profile under hydrogen bubbling
3 分析与讨论
Mg具有很强的脱氧能力,能够迅速形成临界形核半径较小的MgO。根据非均匀形核机理,钢液中大量细小的MgO颗粒成为夹杂物的形核质点,从而在钢中形成大量细小且弥散分布的复合夹杂物[11 -13 ] 。钢中非金属夹杂物是腐蚀的主要诱发源,非金属夹杂物与钢基体界面处铁原子的排列紊杂,处于高能状态,热力学稳定性较差,易发生溶解破坏[15 ] 。而且非金属夹杂物与钢基体电位差较大,构成腐蚀原电池,非金属夹杂物作为活性阴极,其面积越大,腐蚀越容易发生[8 ] 。细小的非金属夹杂物与钢基体的界面较小,且作为活性阴极的面积较小,有利于提高钢的耐蚀性。本研究中Mg处理1#试样中均为复合夹杂物,呈细小弥散分布,而无Mg处理的2#、3#试样中夹杂物尺寸、级别较高 (图7 )。测得其在管内和管外服役环境中极化电阻较高和界面电容较小,腐蚀速率较小。因此,0.003%Mg处理钢较无Mg处理钢和X70海底管线钢耐均匀腐蚀性能高。
另外,由氢压理论[9 ] 可知,氢在钢中的扩散过程主要受钢中氢陷阱的影响,钢中的非金属夹杂物是不可逆氢陷阱,能够吸附大量的氢原子。而夹杂物呈细小弥散分布可以分散氢压,从而改善钢的抗HIC性能[9 ,16 ] 。在本研究中,未使用Mg处理的2#、3#试样,夹杂物级别较高 (图4 d~f和5),出现了氢鼓泡 (图8 ),且氢鼓泡与钢中大颗粒Al2 O3 有关 (图9 )。而经Mg处理后的1#试样,夹杂物呈细小弥散分布,未出现氢鼓泡。这表明Mg处理是通过改善管线钢中夹杂物尺寸、分布进而减少钢中氢的聚集,降低HIC敏感性。
综上所述,Mg处理改善了钢中夹杂物尺寸、分布,在降低合金元素的添加量同时提高了钢的耐均匀腐蚀和抗HIC性能。因此,在X70MOS钢研制中使用0.03%Mg处理不仅可以降低合金成本,而且具有提高耐蚀性作用。
4 结论
(1) Mg处理钢在NACE A溶液中较无Mg处理钢、X70海底管线钢腐蚀速率分别降低14.3%、73.3%,在3.5%NaCl溶液中分别降低52.8%、80.4%。
(2) Mg处理钢CLR、CTR和CSR均为0,且无氢鼓泡,HIC敏感性较无Mg处理钢、X70海底管线钢低。
(3) Mg处理钢中夹杂物呈细小弥散分布,提高了钢在管内和管外服役环境中的极化电阻,降低了界面电容,并且减少了钢中氢的聚集,分散了氢压,使其具有较高的耐蚀性和抗HIC性能。
参考文献
View Option
[1]
Gan L J , Huang F , Zhao X Y , et al . Hydrogen trapping and hydrogen induced cracking of welded X100 pipeline steel in H2 S environments
[J]. Int. J. Hydrogen Energy, 2018 , 43 : 2293
[本文引用: 1]
[2]
Huang F , Liu J , Deng Z J , et al . Effect of microstructure and inclusions on hydrogen induced cracking susceptibility and hydrogen trapping efficiency of X120 pipeline steel
[J]. Mater. Sci. Eng. , 2010 , 527A : 6997
[3]
Peng Z X , Liu J , Huang F , et al . Effect of submicron-scale MnS inclusions on hydrogen trapping and HIC susceptibility of X70 pipeline steels
[J]. Steel Res. Int. , 2018 , 89 : 1700566
[本文引用: 1]
[4]
Wei W R , Liang Y , Hou J , et al . Localization of steel pipe used for natural gas transportation in south china sea
[J]. Welded Pipe Tube , 2015 , 38 (3 ): 24
[本文引用: 1]
魏伟荣 , 梁羽 , 侯静 等 . 南海深水天然气输送海底管线钢管的国产化
[J]. 焊管 , 2015 , 38 (3 ): 24
[本文引用: 1]
[5]
Wu W , Liu Z Y , Li X G , et al . Electrochemical characteristic and stress corrosion behavior of API X70 high-strength pipeline steel under a simulated disbonded coating in an artificial seawater environment
[J]. J. Electroanal. Chem. , 2019 , 845 : 92
[本文引用: 1]
[6]
Zafar M N , Rihan R , Al-Hadhrami L . Evaluation of the corrosion resistance of SA-543 and X65 steels in emulsions containing H2 S and CO2 using a novel emulsion flow loop
[J]. Corros. Sci. , 2015 , 94 : 275
[本文引用: 1]
[7]
Wu H B , Liu Y T , Wang L D , et al . Influence of Cr Content on microstructures and acid corrosion properties of X120 grade pipeline steel
[J]. J. Mater. Eng. , 2013 , (9 ): 32
[本文引用: 1]
武会宾 , 刘跃庭 , 王立东 等 . Cr含量对X120级管线钢组织及耐酸性腐蚀性能的影响
[J]. 材料工程 , 2013 , (9 ): 32
[本文引用: 1]
[8]
Zhang C Y , Chen X Q , Chen D B , et al . Research of pitting susceptibility in low carbon steels and mechanism of pitting initiation
[J]. J. Chin. Soc. Corros. Prot ., 2001 , 21 : 265
[本文引用: 2]
张春亚 , 陈学群 , 陈德斌 等 . 不同低碳钢的点蚀诱发敏感性及诱发机理研究
[J]. 中国腐蚀与防护学报 , 2001 , 21 : 265
[本文引用: 2]
[9]
Qu Y M , Huang F , Liu J , et al . Influence of microstructure on hydrogen induced cracks susceptibility and hydrogen trapping efficiency for X80 pipeline steel
[J]. Chin. J. Mater. Res. , 2010 , 24 : 508
[本文引用: 3]
曲炎淼 , 黄峰 , 刘静 等 . 显微组织对X80钢氢致裂纹敏感性和氢捕获效率的影响
[J]. 材料研究学报 , 2010 , 24 : 508
[本文引用: 3]
[10]
Findley K O , O’Brien M K , Nako H . Critical assessment 17: mechanisms of hydrogen induced cracking in pipeline steels
[J]. Mater. Sci. Technol , 2015 , 31 : 1673
[本文引用: 1]
[11]
Wang R Z , Yang J , Zhu K , et al . Comparison between the results of oxide metallurgy with Ca deoxidation and Mg deoxidation
[J]. Steelmaking , 2016 , 32 (3 ): 50
[本文引用: 2]
王睿之 , 杨健 , 祝凯 等 . 钙脱氧和镁脱氧的氧化物冶金工艺效果对比
[J]. 炼钢 , 2016 , 32 (3 ): 50
[本文引用: 2]
[12]
Kimura S , Nakajima K , Mizoguchi S . Behavior of alumina-magnesia complex inclusions and magnesia inclusions on the surface of molten low-carbon steels
[J]. Metall. Mater. Trans. , 2001 , 32B : 79
[13]
Yang J , Yamasaki T , Kuwabara M . Behavior of inclusions in deoxidation process of molten steel with in situ produced Mg vapor
[J]. ISIJ Int. , 2007 , 47 : 699
[本文引用: 2]
[14]
Peng Z X , Liu J , Huang F , et al . Comparative study of non-metallic inclusions on the critical size for HIC initiation and its influence on hydrogen trapping
[J]. Int. J. Hydrogen Energy, 2020 , 45 : 12616
[本文引用: 1]
[15]
Wang L W , Xin J C , Chen L J , et al . Influence of inclusions on initiation of pitting corrosion and stress corrosion cracking of X70 steel in near-neutral pH environment
[J]. Corros. Sci. , 2019 , 147 : 108
[本文引用: 1]
[16]
Huang F , Li X G , Liu J , et al . Hydrogen-induced cracking susceptibility and hydrogen trapping efficiency of different microstructure X80 pipeline steel
[J]. J. Mater. Sci. , 2011 , 46 : 715
[本文引用: 1]
Hydrogen trapping and hydrogen induced cracking of welded X100 pipeline steel in H2 S environments
1
2018
... 随着海洋油气田不断深入开发,输送的石油和天然气中多含有H2 S等酸性气体,这种湿H2 S环境会导致海底管线钢发生氢致开裂 (HIC) 和硫化物应力开裂 (SSCC) 破坏[1 -3 ] .为此,人们开发了抗酸管线钢用于含有H2 S等酸性气体的油气输送.现今,抗酸性海底管线钢大规模应用的最高强度级别为X65钢级,为满足我国海洋油气田的深海、长距离、高压、大流量、抗酸性油气输送要求,开发X70级抗酸性海底管线钢 (X70MOS) 具有重要意义. ...
Effect of microstructure and inclusions on hydrogen induced cracking susceptibility and hydrogen trapping efficiency of X120 pipeline steel
0
2010
Effect of submicron-scale MnS inclusions on hydrogen trapping and HIC susceptibility of X70 pipeline steels
1
2018
... 随着海洋油气田不断深入开发,输送的石油和天然气中多含有H2 S等酸性气体,这种湿H2 S环境会导致海底管线钢发生氢致开裂 (HIC) 和硫化物应力开裂 (SSCC) 破坏[1 -3 ] .为此,人们开发了抗酸管线钢用于含有H2 S等酸性气体的油气输送.现今,抗酸性海底管线钢大规模应用的最高强度级别为X65钢级,为满足我国海洋油气田的深海、长距离、高压、大流量、抗酸性油气输送要求,开发X70级抗酸性海底管线钢 (X70MOS) 具有重要意义. ...
南海深水天然气输送海底管线钢管的国产化
1
2015
... 海底管线钢在管内湿H2 S环境中和管外海洋环境中均遭受着化学和电化学腐蚀导致的管壁减薄,另外在管内湿H2 S环境中还遭受严重的H2 S腐蚀[4 ,5 ] .研究表明[6 ,7 ] ,海底管线钢的耐蚀性与合金元素及夹杂物密切相关,在规定含量范围内提高Cu、Cr、Ni、Mo等合金元素含量均有助于提高钢的耐蚀性.由于耐蚀合金的价格普遍较高,特别是Ni、Mo等贵金属的加入,使海底管线钢生产成本大幅增加.钢中夹杂物一方面是均匀腐蚀的起点,其尺寸、数量、分布均与海底管线钢耐均匀腐蚀性能相关[8 ] ;另一方面是强的氢陷阱,夹杂物尺寸越大、数量越多,对氢的捕获效率越高,HIC敏感性越高[9 ,10 ] .研究表明[11 -13 ] ,Mg处理能够迅速生成氧化镁而降低钢中氧含量,钢液中大量细小的氧化镁颗粒将成为后续析出的其它夹杂物的形核质点,相应地在钢中获得更多更细小的夹杂物.我们课题组前期研究[14 ] 也表明,Mg处理可以通过细化夹杂物而大大改善钢的抗HIC性能.然而,目前大量研究主要关注Mg处理对管线钢夹杂物的变质效果,而在Mg处理对海底管线钢管内、管外耐蚀性能及抗HIC性能影响方面的研究较少见到相关报道. ...
南海深水天然气输送海底管线钢管的国产化
1
2015
... 海底管线钢在管内湿H2 S环境中和管外海洋环境中均遭受着化学和电化学腐蚀导致的管壁减薄,另外在管内湿H2 S环境中还遭受严重的H2 S腐蚀[4 ,5 ] .研究表明[6 ,7 ] ,海底管线钢的耐蚀性与合金元素及夹杂物密切相关,在规定含量范围内提高Cu、Cr、Ni、Mo等合金元素含量均有助于提高钢的耐蚀性.由于耐蚀合金的价格普遍较高,特别是Ni、Mo等贵金属的加入,使海底管线钢生产成本大幅增加.钢中夹杂物一方面是均匀腐蚀的起点,其尺寸、数量、分布均与海底管线钢耐均匀腐蚀性能相关[8 ] ;另一方面是强的氢陷阱,夹杂物尺寸越大、数量越多,对氢的捕获效率越高,HIC敏感性越高[9 ,10 ] .研究表明[11 -13 ] ,Mg处理能够迅速生成氧化镁而降低钢中氧含量,钢液中大量细小的氧化镁颗粒将成为后续析出的其它夹杂物的形核质点,相应地在钢中获得更多更细小的夹杂物.我们课题组前期研究[14 ] 也表明,Mg处理可以通过细化夹杂物而大大改善钢的抗HIC性能.然而,目前大量研究主要关注Mg处理对管线钢夹杂物的变质效果,而在Mg处理对海底管线钢管内、管外耐蚀性能及抗HIC性能影响方面的研究较少见到相关报道. ...
Electrochemical characteristic and stress corrosion behavior of API X70 high-strength pipeline steel under a simulated disbonded coating in an artificial seawater environment
1
2019
... 海底管线钢在管内湿H2 S环境中和管外海洋环境中均遭受着化学和电化学腐蚀导致的管壁减薄,另外在管内湿H2 S环境中还遭受严重的H2 S腐蚀[4 ,5 ] .研究表明[6 ,7 ] ,海底管线钢的耐蚀性与合金元素及夹杂物密切相关,在规定含量范围内提高Cu、Cr、Ni、Mo等合金元素含量均有助于提高钢的耐蚀性.由于耐蚀合金的价格普遍较高,特别是Ni、Mo等贵金属的加入,使海底管线钢生产成本大幅增加.钢中夹杂物一方面是均匀腐蚀的起点,其尺寸、数量、分布均与海底管线钢耐均匀腐蚀性能相关[8 ] ;另一方面是强的氢陷阱,夹杂物尺寸越大、数量越多,对氢的捕获效率越高,HIC敏感性越高[9 ,10 ] .研究表明[11 -13 ] ,Mg处理能够迅速生成氧化镁而降低钢中氧含量,钢液中大量细小的氧化镁颗粒将成为后续析出的其它夹杂物的形核质点,相应地在钢中获得更多更细小的夹杂物.我们课题组前期研究[14 ] 也表明,Mg处理可以通过细化夹杂物而大大改善钢的抗HIC性能.然而,目前大量研究主要关注Mg处理对管线钢夹杂物的变质效果,而在Mg处理对海底管线钢管内、管外耐蚀性能及抗HIC性能影响方面的研究较少见到相关报道. ...
Evaluation of the corrosion resistance of SA-543 and X65 steels in emulsions containing H2 S and CO2 using a novel emulsion flow loop
1
2015
... 海底管线钢在管内湿H2 S环境中和管外海洋环境中均遭受着化学和电化学腐蚀导致的管壁减薄,另外在管内湿H2 S环境中还遭受严重的H2 S腐蚀[4 ,5 ] .研究表明[6 ,7 ] ,海底管线钢的耐蚀性与合金元素及夹杂物密切相关,在规定含量范围内提高Cu、Cr、Ni、Mo等合金元素含量均有助于提高钢的耐蚀性.由于耐蚀合金的价格普遍较高,特别是Ni、Mo等贵金属的加入,使海底管线钢生产成本大幅增加.钢中夹杂物一方面是均匀腐蚀的起点,其尺寸、数量、分布均与海底管线钢耐均匀腐蚀性能相关[8 ] ;另一方面是强的氢陷阱,夹杂物尺寸越大、数量越多,对氢的捕获效率越高,HIC敏感性越高[9 ,10 ] .研究表明[11 -13 ] ,Mg处理能够迅速生成氧化镁而降低钢中氧含量,钢液中大量细小的氧化镁颗粒将成为后续析出的其它夹杂物的形核质点,相应地在钢中获得更多更细小的夹杂物.我们课题组前期研究[14 ] 也表明,Mg处理可以通过细化夹杂物而大大改善钢的抗HIC性能.然而,目前大量研究主要关注Mg处理对管线钢夹杂物的变质效果,而在Mg处理对海底管线钢管内、管外耐蚀性能及抗HIC性能影响方面的研究较少见到相关报道. ...
Cr含量对X120级管线钢组织及耐酸性腐蚀性能的影响
1
2013
... 海底管线钢在管内湿H2 S环境中和管外海洋环境中均遭受着化学和电化学腐蚀导致的管壁减薄,另外在管内湿H2 S环境中还遭受严重的H2 S腐蚀[4 ,5 ] .研究表明[6 ,7 ] ,海底管线钢的耐蚀性与合金元素及夹杂物密切相关,在规定含量范围内提高Cu、Cr、Ni、Mo等合金元素含量均有助于提高钢的耐蚀性.由于耐蚀合金的价格普遍较高,特别是Ni、Mo等贵金属的加入,使海底管线钢生产成本大幅增加.钢中夹杂物一方面是均匀腐蚀的起点,其尺寸、数量、分布均与海底管线钢耐均匀腐蚀性能相关[8 ] ;另一方面是强的氢陷阱,夹杂物尺寸越大、数量越多,对氢的捕获效率越高,HIC敏感性越高[9 ,10 ] .研究表明[11 -13 ] ,Mg处理能够迅速生成氧化镁而降低钢中氧含量,钢液中大量细小的氧化镁颗粒将成为后续析出的其它夹杂物的形核质点,相应地在钢中获得更多更细小的夹杂物.我们课题组前期研究[14 ] 也表明,Mg处理可以通过细化夹杂物而大大改善钢的抗HIC性能.然而,目前大量研究主要关注Mg处理对管线钢夹杂物的变质效果,而在Mg处理对海底管线钢管内、管外耐蚀性能及抗HIC性能影响方面的研究较少见到相关报道. ...
Cr含量对X120级管线钢组织及耐酸性腐蚀性能的影响
1
2013
... 海底管线钢在管内湿H2 S环境中和管外海洋环境中均遭受着化学和电化学腐蚀导致的管壁减薄,另外在管内湿H2 S环境中还遭受严重的H2 S腐蚀[4 ,5 ] .研究表明[6 ,7 ] ,海底管线钢的耐蚀性与合金元素及夹杂物密切相关,在规定含量范围内提高Cu、Cr、Ni、Mo等合金元素含量均有助于提高钢的耐蚀性.由于耐蚀合金的价格普遍较高,特别是Ni、Mo等贵金属的加入,使海底管线钢生产成本大幅增加.钢中夹杂物一方面是均匀腐蚀的起点,其尺寸、数量、分布均与海底管线钢耐均匀腐蚀性能相关[8 ] ;另一方面是强的氢陷阱,夹杂物尺寸越大、数量越多,对氢的捕获效率越高,HIC敏感性越高[9 ,10 ] .研究表明[11 -13 ] ,Mg处理能够迅速生成氧化镁而降低钢中氧含量,钢液中大量细小的氧化镁颗粒将成为后续析出的其它夹杂物的形核质点,相应地在钢中获得更多更细小的夹杂物.我们课题组前期研究[14 ] 也表明,Mg处理可以通过细化夹杂物而大大改善钢的抗HIC性能.然而,目前大量研究主要关注Mg处理对管线钢夹杂物的变质效果,而在Mg处理对海底管线钢管内、管外耐蚀性能及抗HIC性能影响方面的研究较少见到相关报道. ...
不同低碳钢的点蚀诱发敏感性及诱发机理研究
2
2001
... 海底管线钢在管内湿H2 S环境中和管外海洋环境中均遭受着化学和电化学腐蚀导致的管壁减薄,另外在管内湿H2 S环境中还遭受严重的H2 S腐蚀[4 ,5 ] .研究表明[6 ,7 ] ,海底管线钢的耐蚀性与合金元素及夹杂物密切相关,在规定含量范围内提高Cu、Cr、Ni、Mo等合金元素含量均有助于提高钢的耐蚀性.由于耐蚀合金的价格普遍较高,特别是Ni、Mo等贵金属的加入,使海底管线钢生产成本大幅增加.钢中夹杂物一方面是均匀腐蚀的起点,其尺寸、数量、分布均与海底管线钢耐均匀腐蚀性能相关[8 ] ;另一方面是强的氢陷阱,夹杂物尺寸越大、数量越多,对氢的捕获效率越高,HIC敏感性越高[9 ,10 ] .研究表明[11 -13 ] ,Mg处理能够迅速生成氧化镁而降低钢中氧含量,钢液中大量细小的氧化镁颗粒将成为后续析出的其它夹杂物的形核质点,相应地在钢中获得更多更细小的夹杂物.我们课题组前期研究[14 ] 也表明,Mg处理可以通过细化夹杂物而大大改善钢的抗HIC性能.然而,目前大量研究主要关注Mg处理对管线钢夹杂物的变质效果,而在Mg处理对海底管线钢管内、管外耐蚀性能及抗HIC性能影响方面的研究较少见到相关报道. ...
... Mg具有很强的脱氧能力,能够迅速形成临界形核半径较小的MgO.根据非均匀形核机理,钢液中大量细小的MgO颗粒成为夹杂物的形核质点,从而在钢中形成大量细小且弥散分布的复合夹杂物[11 -13 ] .钢中非金属夹杂物是腐蚀的主要诱发源,非金属夹杂物与钢基体界面处铁原子的排列紊杂,处于高能状态,热力学稳定性较差,易发生溶解破坏[15 ] .而且非金属夹杂物与钢基体电位差较大,构成腐蚀原电池,非金属夹杂物作为活性阴极,其面积越大,腐蚀越容易发生[8 ] .细小的非金属夹杂物与钢基体的界面较小,且作为活性阴极的面积较小,有利于提高钢的耐蚀性.本研究中Mg处理1#试样中均为复合夹杂物,呈细小弥散分布,而无Mg处理的2#、3#试样中夹杂物尺寸、级别较高 (图7 ).测得其在管内和管外服役环境中极化电阻较高和界面电容较小,腐蚀速率较小.因此,0.003%Mg处理钢较无Mg处理钢和X70海底管线钢耐均匀腐蚀性能高. ...
不同低碳钢的点蚀诱发敏感性及诱发机理研究
2
2001
... 海底管线钢在管内湿H2 S环境中和管外海洋环境中均遭受着化学和电化学腐蚀导致的管壁减薄,另外在管内湿H2 S环境中还遭受严重的H2 S腐蚀[4 ,5 ] .研究表明[6 ,7 ] ,海底管线钢的耐蚀性与合金元素及夹杂物密切相关,在规定含量范围内提高Cu、Cr、Ni、Mo等合金元素含量均有助于提高钢的耐蚀性.由于耐蚀合金的价格普遍较高,特别是Ni、Mo等贵金属的加入,使海底管线钢生产成本大幅增加.钢中夹杂物一方面是均匀腐蚀的起点,其尺寸、数量、分布均与海底管线钢耐均匀腐蚀性能相关[8 ] ;另一方面是强的氢陷阱,夹杂物尺寸越大、数量越多,对氢的捕获效率越高,HIC敏感性越高[9 ,10 ] .研究表明[11 -13 ] ,Mg处理能够迅速生成氧化镁而降低钢中氧含量,钢液中大量细小的氧化镁颗粒将成为后续析出的其它夹杂物的形核质点,相应地在钢中获得更多更细小的夹杂物.我们课题组前期研究[14 ] 也表明,Mg处理可以通过细化夹杂物而大大改善钢的抗HIC性能.然而,目前大量研究主要关注Mg处理对管线钢夹杂物的变质效果,而在Mg处理对海底管线钢管内、管外耐蚀性能及抗HIC性能影响方面的研究较少见到相关报道. ...
... Mg具有很强的脱氧能力,能够迅速形成临界形核半径较小的MgO.根据非均匀形核机理,钢液中大量细小的MgO颗粒成为夹杂物的形核质点,从而在钢中形成大量细小且弥散分布的复合夹杂物[11 -13 ] .钢中非金属夹杂物是腐蚀的主要诱发源,非金属夹杂物与钢基体界面处铁原子的排列紊杂,处于高能状态,热力学稳定性较差,易发生溶解破坏[15 ] .而且非金属夹杂物与钢基体电位差较大,构成腐蚀原电池,非金属夹杂物作为活性阴极,其面积越大,腐蚀越容易发生[8 ] .细小的非金属夹杂物与钢基体的界面较小,且作为活性阴极的面积较小,有利于提高钢的耐蚀性.本研究中Mg处理1#试样中均为复合夹杂物,呈细小弥散分布,而无Mg处理的2#、3#试样中夹杂物尺寸、级别较高 (图7 ).测得其在管内和管外服役环境中极化电阻较高和界面电容较小,腐蚀速率较小.因此,0.003%Mg处理钢较无Mg处理钢和X70海底管线钢耐均匀腐蚀性能高. ...
显微组织对X80钢氢致裂纹敏感性和氢捕获效率的影响
3
2010
... 海底管线钢在管内湿H2 S环境中和管外海洋环境中均遭受着化学和电化学腐蚀导致的管壁减薄,另外在管内湿H2 S环境中还遭受严重的H2 S腐蚀[4 ,5 ] .研究表明[6 ,7 ] ,海底管线钢的耐蚀性与合金元素及夹杂物密切相关,在规定含量范围内提高Cu、Cr、Ni、Mo等合金元素含量均有助于提高钢的耐蚀性.由于耐蚀合金的价格普遍较高,特别是Ni、Mo等贵金属的加入,使海底管线钢生产成本大幅增加.钢中夹杂物一方面是均匀腐蚀的起点,其尺寸、数量、分布均与海底管线钢耐均匀腐蚀性能相关[8 ] ;另一方面是强的氢陷阱,夹杂物尺寸越大、数量越多,对氢的捕获效率越高,HIC敏感性越高[9 ,10 ] .研究表明[11 -13 ] ,Mg处理能够迅速生成氧化镁而降低钢中氧含量,钢液中大量细小的氧化镁颗粒将成为后续析出的其它夹杂物的形核质点,相应地在钢中获得更多更细小的夹杂物.我们课题组前期研究[14 ] 也表明,Mg处理可以通过细化夹杂物而大大改善钢的抗HIC性能.然而,目前大量研究主要关注Mg处理对管线钢夹杂物的变质效果,而在Mg处理对海底管线钢管内、管外耐蚀性能及抗HIC性能影响方面的研究较少见到相关报道. ...
... 另外,由氢压理论[9 ] 可知,氢在钢中的扩散过程主要受钢中氢陷阱的影响,钢中的非金属夹杂物是不可逆氢陷阱,能够吸附大量的氢原子.而夹杂物呈细小弥散分布可以分散氢压,从而改善钢的抗HIC性能[9 ,16 ] .在本研究中,未使用Mg处理的2#、3#试样,夹杂物级别较高 (图4 d~f和5),出现了氢鼓泡 (图8 ),且氢鼓泡与钢中大颗粒Al2 O3 有关 (图9 ).而经Mg处理后的1#试样,夹杂物呈细小弥散分布,未出现氢鼓泡.这表明Mg处理是通过改善管线钢中夹杂物尺寸、分布进而减少钢中氢的聚集,降低HIC敏感性. ...
... [9 ,16 ].在本研究中,未使用Mg处理的2#、3#试样,夹杂物级别较高 (图4 d~f和5),出现了氢鼓泡 (图8 ),且氢鼓泡与钢中大颗粒Al2 O3 有关 (图9 ).而经Mg处理后的1#试样,夹杂物呈细小弥散分布,未出现氢鼓泡.这表明Mg处理是通过改善管线钢中夹杂物尺寸、分布进而减少钢中氢的聚集,降低HIC敏感性. ...
显微组织对X80钢氢致裂纹敏感性和氢捕获效率的影响
3
2010
... 海底管线钢在管内湿H2 S环境中和管外海洋环境中均遭受着化学和电化学腐蚀导致的管壁减薄,另外在管内湿H2 S环境中还遭受严重的H2 S腐蚀[4 ,5 ] .研究表明[6 ,7 ] ,海底管线钢的耐蚀性与合金元素及夹杂物密切相关,在规定含量范围内提高Cu、Cr、Ni、Mo等合金元素含量均有助于提高钢的耐蚀性.由于耐蚀合金的价格普遍较高,特别是Ni、Mo等贵金属的加入,使海底管线钢生产成本大幅增加.钢中夹杂物一方面是均匀腐蚀的起点,其尺寸、数量、分布均与海底管线钢耐均匀腐蚀性能相关[8 ] ;另一方面是强的氢陷阱,夹杂物尺寸越大、数量越多,对氢的捕获效率越高,HIC敏感性越高[9 ,10 ] .研究表明[11 -13 ] ,Mg处理能够迅速生成氧化镁而降低钢中氧含量,钢液中大量细小的氧化镁颗粒将成为后续析出的其它夹杂物的形核质点,相应地在钢中获得更多更细小的夹杂物.我们课题组前期研究[14 ] 也表明,Mg处理可以通过细化夹杂物而大大改善钢的抗HIC性能.然而,目前大量研究主要关注Mg处理对管线钢夹杂物的变质效果,而在Mg处理对海底管线钢管内、管外耐蚀性能及抗HIC性能影响方面的研究较少见到相关报道. ...
... 另外,由氢压理论[9 ] 可知,氢在钢中的扩散过程主要受钢中氢陷阱的影响,钢中的非金属夹杂物是不可逆氢陷阱,能够吸附大量的氢原子.而夹杂物呈细小弥散分布可以分散氢压,从而改善钢的抗HIC性能[9 ,16 ] .在本研究中,未使用Mg处理的2#、3#试样,夹杂物级别较高 (图4 d~f和5),出现了氢鼓泡 (图8 ),且氢鼓泡与钢中大颗粒Al2 O3 有关 (图9 ).而经Mg处理后的1#试样,夹杂物呈细小弥散分布,未出现氢鼓泡.这表明Mg处理是通过改善管线钢中夹杂物尺寸、分布进而减少钢中氢的聚集,降低HIC敏感性. ...
... [9 ,16 ].在本研究中,未使用Mg处理的2#、3#试样,夹杂物级别较高 (图4 d~f和5),出现了氢鼓泡 (图8 ),且氢鼓泡与钢中大颗粒Al2 O3 有关 (图9 ).而经Mg处理后的1#试样,夹杂物呈细小弥散分布,未出现氢鼓泡.这表明Mg处理是通过改善管线钢中夹杂物尺寸、分布进而减少钢中氢的聚集,降低HIC敏感性. ...
Critical assessment 17: mechanisms of hydrogen induced cracking in pipeline steels
1
2015
... 海底管线钢在管内湿H2 S环境中和管外海洋环境中均遭受着化学和电化学腐蚀导致的管壁减薄,另外在管内湿H2 S环境中还遭受严重的H2 S腐蚀[4 ,5 ] .研究表明[6 ,7 ] ,海底管线钢的耐蚀性与合金元素及夹杂物密切相关,在规定含量范围内提高Cu、Cr、Ni、Mo等合金元素含量均有助于提高钢的耐蚀性.由于耐蚀合金的价格普遍较高,特别是Ni、Mo等贵金属的加入,使海底管线钢生产成本大幅增加.钢中夹杂物一方面是均匀腐蚀的起点,其尺寸、数量、分布均与海底管线钢耐均匀腐蚀性能相关[8 ] ;另一方面是强的氢陷阱,夹杂物尺寸越大、数量越多,对氢的捕获效率越高,HIC敏感性越高[9 ,10 ] .研究表明[11 -13 ] ,Mg处理能够迅速生成氧化镁而降低钢中氧含量,钢液中大量细小的氧化镁颗粒将成为后续析出的其它夹杂物的形核质点,相应地在钢中获得更多更细小的夹杂物.我们课题组前期研究[14 ] 也表明,Mg处理可以通过细化夹杂物而大大改善钢的抗HIC性能.然而,目前大量研究主要关注Mg处理对管线钢夹杂物的变质效果,而在Mg处理对海底管线钢管内、管外耐蚀性能及抗HIC性能影响方面的研究较少见到相关报道. ...
钙脱氧和镁脱氧的氧化物冶金工艺效果对比
2
2016
... 海底管线钢在管内湿H2 S环境中和管外海洋环境中均遭受着化学和电化学腐蚀导致的管壁减薄,另外在管内湿H2 S环境中还遭受严重的H2 S腐蚀[4 ,5 ] .研究表明[6 ,7 ] ,海底管线钢的耐蚀性与合金元素及夹杂物密切相关,在规定含量范围内提高Cu、Cr、Ni、Mo等合金元素含量均有助于提高钢的耐蚀性.由于耐蚀合金的价格普遍较高,特别是Ni、Mo等贵金属的加入,使海底管线钢生产成本大幅增加.钢中夹杂物一方面是均匀腐蚀的起点,其尺寸、数量、分布均与海底管线钢耐均匀腐蚀性能相关[8 ] ;另一方面是强的氢陷阱,夹杂物尺寸越大、数量越多,对氢的捕获效率越高,HIC敏感性越高[9 ,10 ] .研究表明[11 -13 ] ,Mg处理能够迅速生成氧化镁而降低钢中氧含量,钢液中大量细小的氧化镁颗粒将成为后续析出的其它夹杂物的形核质点,相应地在钢中获得更多更细小的夹杂物.我们课题组前期研究[14 ] 也表明,Mg处理可以通过细化夹杂物而大大改善钢的抗HIC性能.然而,目前大量研究主要关注Mg处理对管线钢夹杂物的变质效果,而在Mg处理对海底管线钢管内、管外耐蚀性能及抗HIC性能影响方面的研究较少见到相关报道. ...
... Mg具有很强的脱氧能力,能够迅速形成临界形核半径较小的MgO.根据非均匀形核机理,钢液中大量细小的MgO颗粒成为夹杂物的形核质点,从而在钢中形成大量细小且弥散分布的复合夹杂物[11 -13 ] .钢中非金属夹杂物是腐蚀的主要诱发源,非金属夹杂物与钢基体界面处铁原子的排列紊杂,处于高能状态,热力学稳定性较差,易发生溶解破坏[15 ] .而且非金属夹杂物与钢基体电位差较大,构成腐蚀原电池,非金属夹杂物作为活性阴极,其面积越大,腐蚀越容易发生[8 ] .细小的非金属夹杂物与钢基体的界面较小,且作为活性阴极的面积较小,有利于提高钢的耐蚀性.本研究中Mg处理1#试样中均为复合夹杂物,呈细小弥散分布,而无Mg处理的2#、3#试样中夹杂物尺寸、级别较高 (图7 ).测得其在管内和管外服役环境中极化电阻较高和界面电容较小,腐蚀速率较小.因此,0.003%Mg处理钢较无Mg处理钢和X70海底管线钢耐均匀腐蚀性能高. ...
钙脱氧和镁脱氧的氧化物冶金工艺效果对比
2
2016
... 海底管线钢在管内湿H2 S环境中和管外海洋环境中均遭受着化学和电化学腐蚀导致的管壁减薄,另外在管内湿H2 S环境中还遭受严重的H2 S腐蚀[4 ,5 ] .研究表明[6 ,7 ] ,海底管线钢的耐蚀性与合金元素及夹杂物密切相关,在规定含量范围内提高Cu、Cr、Ni、Mo等合金元素含量均有助于提高钢的耐蚀性.由于耐蚀合金的价格普遍较高,特别是Ni、Mo等贵金属的加入,使海底管线钢生产成本大幅增加.钢中夹杂物一方面是均匀腐蚀的起点,其尺寸、数量、分布均与海底管线钢耐均匀腐蚀性能相关[8 ] ;另一方面是强的氢陷阱,夹杂物尺寸越大、数量越多,对氢的捕获效率越高,HIC敏感性越高[9 ,10 ] .研究表明[11 -13 ] ,Mg处理能够迅速生成氧化镁而降低钢中氧含量,钢液中大量细小的氧化镁颗粒将成为后续析出的其它夹杂物的形核质点,相应地在钢中获得更多更细小的夹杂物.我们课题组前期研究[14 ] 也表明,Mg处理可以通过细化夹杂物而大大改善钢的抗HIC性能.然而,目前大量研究主要关注Mg处理对管线钢夹杂物的变质效果,而在Mg处理对海底管线钢管内、管外耐蚀性能及抗HIC性能影响方面的研究较少见到相关报道. ...
... Mg具有很强的脱氧能力,能够迅速形成临界形核半径较小的MgO.根据非均匀形核机理,钢液中大量细小的MgO颗粒成为夹杂物的形核质点,从而在钢中形成大量细小且弥散分布的复合夹杂物[11 -13 ] .钢中非金属夹杂物是腐蚀的主要诱发源,非金属夹杂物与钢基体界面处铁原子的排列紊杂,处于高能状态,热力学稳定性较差,易发生溶解破坏[15 ] .而且非金属夹杂物与钢基体电位差较大,构成腐蚀原电池,非金属夹杂物作为活性阴极,其面积越大,腐蚀越容易发生[8 ] .细小的非金属夹杂物与钢基体的界面较小,且作为活性阴极的面积较小,有利于提高钢的耐蚀性.本研究中Mg处理1#试样中均为复合夹杂物,呈细小弥散分布,而无Mg处理的2#、3#试样中夹杂物尺寸、级别较高 (图7 ).测得其在管内和管外服役环境中极化电阻较高和界面电容较小,腐蚀速率较小.因此,0.003%Mg处理钢较无Mg处理钢和X70海底管线钢耐均匀腐蚀性能高. ...
Behavior of alumina-magnesia complex inclusions and magnesia inclusions on the surface of molten low-carbon steels
0
2001
Behavior of inclusions in deoxidation process of molten steel with in situ produced Mg vapor
2
2007
... 海底管线钢在管内湿H2 S环境中和管外海洋环境中均遭受着化学和电化学腐蚀导致的管壁减薄,另外在管内湿H2 S环境中还遭受严重的H2 S腐蚀[4 ,5 ] .研究表明[6 ,7 ] ,海底管线钢的耐蚀性与合金元素及夹杂物密切相关,在规定含量范围内提高Cu、Cr、Ni、Mo等合金元素含量均有助于提高钢的耐蚀性.由于耐蚀合金的价格普遍较高,特别是Ni、Mo等贵金属的加入,使海底管线钢生产成本大幅增加.钢中夹杂物一方面是均匀腐蚀的起点,其尺寸、数量、分布均与海底管线钢耐均匀腐蚀性能相关[8 ] ;另一方面是强的氢陷阱,夹杂物尺寸越大、数量越多,对氢的捕获效率越高,HIC敏感性越高[9 ,10 ] .研究表明[11 -13 ] ,Mg处理能够迅速生成氧化镁而降低钢中氧含量,钢液中大量细小的氧化镁颗粒将成为后续析出的其它夹杂物的形核质点,相应地在钢中获得更多更细小的夹杂物.我们课题组前期研究[14 ] 也表明,Mg处理可以通过细化夹杂物而大大改善钢的抗HIC性能.然而,目前大量研究主要关注Mg处理对管线钢夹杂物的变质效果,而在Mg处理对海底管线钢管内、管外耐蚀性能及抗HIC性能影响方面的研究较少见到相关报道. ...
... Mg具有很强的脱氧能力,能够迅速形成临界形核半径较小的MgO.根据非均匀形核机理,钢液中大量细小的MgO颗粒成为夹杂物的形核质点,从而在钢中形成大量细小且弥散分布的复合夹杂物[11 -13 ] .钢中非金属夹杂物是腐蚀的主要诱发源,非金属夹杂物与钢基体界面处铁原子的排列紊杂,处于高能状态,热力学稳定性较差,易发生溶解破坏[15 ] .而且非金属夹杂物与钢基体电位差较大,构成腐蚀原电池,非金属夹杂物作为活性阴极,其面积越大,腐蚀越容易发生[8 ] .细小的非金属夹杂物与钢基体的界面较小,且作为活性阴极的面积较小,有利于提高钢的耐蚀性.本研究中Mg处理1#试样中均为复合夹杂物,呈细小弥散分布,而无Mg处理的2#、3#试样中夹杂物尺寸、级别较高 (图7 ).测得其在管内和管外服役环境中极化电阻较高和界面电容较小,腐蚀速率较小.因此,0.003%Mg处理钢较无Mg处理钢和X70海底管线钢耐均匀腐蚀性能高. ...
Comparative study of non-metallic inclusions on the critical size for HIC initiation and its influence on hydrogen trapping
1
2020
... 海底管线钢在管内湿H2 S环境中和管外海洋环境中均遭受着化学和电化学腐蚀导致的管壁减薄,另外在管内湿H2 S环境中还遭受严重的H2 S腐蚀[4 ,5 ] .研究表明[6 ,7 ] ,海底管线钢的耐蚀性与合金元素及夹杂物密切相关,在规定含量范围内提高Cu、Cr、Ni、Mo等合金元素含量均有助于提高钢的耐蚀性.由于耐蚀合金的价格普遍较高,特别是Ni、Mo等贵金属的加入,使海底管线钢生产成本大幅增加.钢中夹杂物一方面是均匀腐蚀的起点,其尺寸、数量、分布均与海底管线钢耐均匀腐蚀性能相关[8 ] ;另一方面是强的氢陷阱,夹杂物尺寸越大、数量越多,对氢的捕获效率越高,HIC敏感性越高[9 ,10 ] .研究表明[11 -13 ] ,Mg处理能够迅速生成氧化镁而降低钢中氧含量,钢液中大量细小的氧化镁颗粒将成为后续析出的其它夹杂物的形核质点,相应地在钢中获得更多更细小的夹杂物.我们课题组前期研究[14 ] 也表明,Mg处理可以通过细化夹杂物而大大改善钢的抗HIC性能.然而,目前大量研究主要关注Mg处理对管线钢夹杂物的变质效果,而在Mg处理对海底管线钢管内、管外耐蚀性能及抗HIC性能影响方面的研究较少见到相关报道. ...
Influence of inclusions on initiation of pitting corrosion and stress corrosion cracking of X70 steel in near-neutral pH environment
1
2019
... Mg具有很强的脱氧能力,能够迅速形成临界形核半径较小的MgO.根据非均匀形核机理,钢液中大量细小的MgO颗粒成为夹杂物的形核质点,从而在钢中形成大量细小且弥散分布的复合夹杂物[11 -13 ] .钢中非金属夹杂物是腐蚀的主要诱发源,非金属夹杂物与钢基体界面处铁原子的排列紊杂,处于高能状态,热力学稳定性较差,易发生溶解破坏[15 ] .而且非金属夹杂物与钢基体电位差较大,构成腐蚀原电池,非金属夹杂物作为活性阴极,其面积越大,腐蚀越容易发生[8 ] .细小的非金属夹杂物与钢基体的界面较小,且作为活性阴极的面积较小,有利于提高钢的耐蚀性.本研究中Mg处理1#试样中均为复合夹杂物,呈细小弥散分布,而无Mg处理的2#、3#试样中夹杂物尺寸、级别较高 (图7 ).测得其在管内和管外服役环境中极化电阻较高和界面电容较小,腐蚀速率较小.因此,0.003%Mg处理钢较无Mg处理钢和X70海底管线钢耐均匀腐蚀性能高. ...
Hydrogen-induced cracking susceptibility and hydrogen trapping efficiency of different microstructure X80 pipeline steel
1
2011
... 另外,由氢压理论[9 ] 可知,氢在钢中的扩散过程主要受钢中氢陷阱的影响,钢中的非金属夹杂物是不可逆氢陷阱,能够吸附大量的氢原子.而夹杂物呈细小弥散分布可以分散氢压,从而改善钢的抗HIC性能[9 ,16 ] .在本研究中,未使用Mg处理的2#、3#试样,夹杂物级别较高 (图4 d~f和5),出现了氢鼓泡 (图8 ),且氢鼓泡与钢中大颗粒Al2 O3 有关 (图9 ).而经Mg处理后的1#试样,夹杂物呈细小弥散分布,未出现氢鼓泡.这表明Mg处理是通过改善管线钢中夹杂物尺寸、分布进而减少钢中氢的聚集,降低HIC敏感性. ...