Mg处理X70级抗酸性海底管线钢 (X70MOS) 成分设计及耐蚀性能研究 |
| 郎丰军, 黄峰, 徐进桥, 李利巍, 岳江波, 刘静 |
|
Composition Design and Corrosion Resistance of Mg Microallyed X70 Grade Acid Resistant Submarine Pipeline Steel (X70MOS) |
| LANG Fengjun, HUANG Feng, XU Jinqiao, LI Liwei, YUE Jiangbo, LIU Jing |
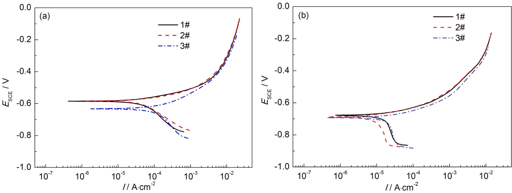
| 图6 3种钢在不同腐蚀介质中动电位极化曲线 |
| Fig.6 Polarization curves of three kinds of steel in NACE A solution (a) and 3.5%NaCl solution (b) |
|