304不锈钢点蚀产物对亚稳态点蚀萌生和稳态蚀孔生长的加速作用
Accelerating Effect of Pitting Corrosion Products on Metastable Pitting Initiation and the Stable Pitting Growth of 304 Stainless Steel
通讯作者: 杜楠,E-mail:d_nan@sina.com,研究方向为材料的自然环境腐蚀、金属电沉积理论及工艺
收稿日期: 2018-10-08 修回日期: 2018-11-05 网络出版日期: 2019-08-24
| 基金资助: |
|
Corresponding authors: DU Nan, E-mail:d_nan@sina.com
Received: 2018-10-08 Revised: 2018-11-05 Online: 2019-08-24
| Fund supported: |
|
作者简介 About authors
王标,男,1992年生,硕士生
用强制改变304不锈钢表面点蚀产物浓度的方法研究了点蚀产物浓度在亚稳态蚀孔的萌生过程及稳态蚀孔生长过程中的加速作用。结果表明,随着304不锈钢试样表面点蚀产物浓度的降低,点蚀孕育期增加,恒电位极化的平均峰值电流和平均峰值宽度显著减少,蚀孔数量显著减少,稳态蚀孔的体积、蚀孔横向生长速度下降。随着蚀孔宽深比的下降和蚀孔的生长,蚀孔内点蚀产物浓度再次增加,腐蚀速率增大。点蚀产物浓度是亚稳态蚀孔萌生和稳态蚀孔生长的关键因素。
关键词:
The acceleration effect of the concentration of pitting corrosion products on the metastable pitting initiation and the stable pitting growth of 304 stainless steel was studied by changing the concentration of pitting products on the surface of 304 stainless steel compulsively. There are three characteristic indexes of metastable pitting initiation process with the decreasing concentration of pitting products, namely the increase of pitting incubation period, the reduce of average peak current and average peak width, and the decrease of pits number. The volume and the transverse growth rate of pits decreases. With the decreasing ratio of pits width to depth and the growth of pits, the concentration of pitting products in pits increases again and the corrosion rate increases. The concentration of pitting products is certainly the key factor for metastable pitting initiation and steady pitting growth.
Keywords:
本文引用格式
王标, 杜楠, 张浩, 王帅星, 赵晴.
WANG Biao, DU Nan, ZHANG Hao, WANG Shuaixing, ZHAO Qing.
国内外的许多学者在研究不锈钢点蚀的过程中观察到,在点蚀孔产生和生长的过程中其周围的溶液发生改变。Vetter等 [11]研究认为,点蚀开始是在蚀坑表面电解质成分发生变化的情况下进行的。Williams等[12]提出的局部酸化模型认为,金属表面的酸度由于波动而局部升高,可能导致钝化膜在活性点被破坏而形成亚稳蚀孔,亚稳蚀孔能否转变为稳态点蚀取决于活性点周围是否保持足够的浓度梯度。Liu等[13]利用pH值荧光探测技术研究铁局部腐蚀,用荧光强度的大小表征腐蚀产物浓度的高低,结果表明腐蚀产物浓度在蚀坑附近比较高。Zuo等[14]研究认为,随着金属表面粗糙度的减小,金属表面亚稳蚀孔的形核率降低。这是因为表面粗糙度影响了蚀孔表面腐蚀产物的扩散,使腐蚀产物在蚀孔表面的浓度不同,进而影响到不锈钢的点蚀行为。Burstein等[15]提出基于稳定积的稳态点蚀判断标准,认为蚀孔内离子浓度达到饱和溶解度的75%~80%才能继续生长,否则将会钝化。黄世新等[16]认为304不锈钢在不同浓度的FeCl3模拟液中,自腐蚀电流密度随着Fe3+浓度的增加而增加;Fe3+浓度达到3 mol/L时,电流密度达到最大值。
如上所述,很多实验结果和理论都指向点蚀产物的浓度对点蚀的产生和生长有重要的作用。因此,本实验通过设置不同搅拌转速来改变蚀孔周围的点蚀产物的浓度,来研究其对点蚀产生和生长的影响。搅拌速度越高,搅拌强度越大,点蚀产物被迁移走的就越多,蚀孔周围点蚀产物的浓度就越低。
1 实验方法
1.1 实验材料
实验材料为304不锈钢,其化学成分 (质量分数,%) 为:C 0.035,Si 0.520,Mn 1.180,P 0.036,S 0.026,Cr 17.59,Ni 8.030,Fe 72.60。热处理工艺为:1060 ℃保温0.5 h,水冷;650 ℃保温2 h,空冷,以提高试样的点蚀敏感性。将304不锈钢线切割成直径为1和3 mm、高度是10 mm的圆柱体,表面清洗以去除油污,在非工作面焊接导线,用环氧树脂封装。试样工作面经400~2000# Al2O3水砂纸打磨后,依次用酒精、丙酮、超声清洗,然后经去离子水冲洗、吹干。
1.2 测试方法
利用分析纯NaCl、去离子水配置3.5% (质量分数) NaCl溶液。电化学测试在Autlab PGSTAT302N电化学工作站上完成,采用经典的三电极体系,饱和甘汞电极 (SCE) 为参比电极,辅助电极为Pt电极。因为304不锈钢在3.5%NaCl溶液中的稳定钝化区是0.03~0.5 V,所以实验1采用直径为3 mm的电极,在0.15 V (SCE) 电位下进行恒电位极化,极化时间是1000 s,时间间隔是0.1 s,统计峰值电流、峰值宽度、亚稳态点蚀个数;实验2采用直径为1 mm的电极,在0.45 V (SCE)[17]电位下进行恒电位极化,获得单个蚀孔的时间-电流曲线,实验后用显微镜观察试样表面,如果多于一个蚀孔,数据无效。利用KH-7700三维体式显微镜观察实验2恒电位极化后的蚀坑三维形貌,并且测量每个蚀孔的几何参数 (包括孔深,孔口直径,孔底直径与蚀孔体积)。为保证实验数据的可靠性,每组电化学实验重复3次。电化学测试时,设置溶液中搅拌子转速分别为0,100,300和500 r/min,实验装置如图1所示。
图1
2 结果与讨论
2.1 不同搅拌速度对不锈钢亚稳态点蚀的影响
图2
图2
304不锈钢在3.5%NaCl溶液中不同搅拌速度下亚稳蚀孔暂态电流与时间的关系
Fig.2
Curves of transient current vs time for metastable pits of 304 stainless steel in 3.5%NaCl solution at the stirring rates of 0 r/min (a), 100 r/min (b), 300 r/min (c) and 500 r/min (d)
图3
图3
亚稳态蚀孔平均峰值电流、平均峰值宽度、蚀孔数目和点蚀孕育期与转速的关系
Fig.3
Relationships between average peak current (a), average peak width (b), number of pits (c) and pitting incubationperiod (d) of metastable pits and stirring rate
图3描述的是亚稳态点蚀敏感性的3个特征,分别是点蚀孕育期、平均峰值电流与宽度、蚀孔数目。其中,点蚀孕育期是根据实验2的数据得到的。随着搅拌速度的减小,蚀坑表面点蚀产物浓度增加,点蚀孕育期缩短。点蚀形核后进入亚稳态阶段,亚稳态点蚀需要满足一定的条件才能转变为稳态点蚀。点蚀孕育期是试样积累转变条件的阶段,点蚀孕育期越短,试样越容易发生稳态点蚀。在不锈钢点蚀产生的过程中,点蚀产物在不锈钢试样表面浓度较高,试样表面的点蚀产物水解使pH值降低,金属溶解速率加快,点蚀产物浓度高的区域腐蚀速率快,点蚀产物浓度低的区域腐蚀速率慢,从而形成点蚀坑;蚀坑加剧腐蚀产物的不均匀性,使得试样表面溶解不均匀,随着时间的延长,不锈钢试样表面形成稳态点蚀坑。搅拌速度越小,试样表面点蚀产物被移走的就越少,点蚀产物及其水解产物在点蚀坑周围浓度越高,点蚀孕育期就越短。
随着搅拌速度的减小,亚稳态蚀孔在相同的时间内平均峰值电流增加,亚稳蚀孔形核数目也表现出类似的规律。肖娟[20]研究指出,亚稳态蚀孔在生长过程中峰值电流越大,其转变为稳态点蚀的概率越大。说明随着搅拌速度的减小,304不锈钢点蚀由亚稳态向稳态转变的可能性增大,这个结论和点蚀孕育期所表现的是一致的。亚稳蚀孔平均峰值宽度随转速的减小而增大,这意味着亚稳蚀孔的平均寿命增加,即从萌生到蚀孔的再钝化过程减慢。搅拌速度越小,亚稳态点蚀发生钝化的倾向性越小。这是因为在亚稳态点蚀产生的过程中,点蚀产物由于扩散作用,在蚀坑口附近的浓度比较高。田文明[19]使用激光散斑干涉法证实了这样的结论。因此,在亚稳态阶段,由于蚀坑尺寸比较小,点蚀产物及其水解产物形成的胶团附着在点蚀坑上面,且水解导致胶团内部保持着高酸度,胶团促进亚稳态蚀坑的扩展。胶团由于溶液的传质作用可能会被破坏,使得活性溶解区腐蚀速率降低或者重新钝化。搅拌速度越小,点蚀产物及其水解产物的浓度就越高,蚀坑附近溶解速率就越大,亚稳态点蚀越难发生再钝化,蚀孔的数量增加。这个结果与Burstein等[4]的研究结果一致。
2.2 不同搅拌速度对不锈钢稳态蚀孔生长的影响
图4是不同搅拌速度下单个蚀孔的时间-电流曲线 (包括点蚀萌生前的曲线)。可知,搅拌速度越小,曲线的斜率越大,点蚀电流增加的速率随着转速的减小而增大;稳态点蚀发生后,搅拌速度越小, 同一时刻的点蚀电流越大,说明此时点蚀孔具有更大的生长速率。
图4
图4
3.5%NaCl溶液中不同搅拌速度下单个蚀孔点蚀电流与时间的关系
Fig.4
Curves of dissolution current vs time for single pit in 3.5%NaCl solution at different stirring rates
图5
图5
在3.5%NaCl溶液中不同搅拌速度下单个蚀孔体积与时间的关系
Fig.5
Evolutions of the volume of a single stable pit of 304 stainless steel in 3.5%NaCl solution at different stirring rates
表1 不同搅拌速度下极化后单个蚀孔的几何参数
Table 1
| Stirring rate r / min | D / μm | d / μm | H / µm | V / µm3 | ||
|---|---|---|---|---|---|---|
| 0 | 175 | 103 | 105 | 1.61×106 | 1.67 | 0.98 |
| 100 | 133 | 85 | 90 | 8.36×105 | 1.47 | 0.94 |
| 300 | 125 | 79 | 87 | 7.45×105 | 1.43 | 0.90 |
| 500 | 89 | 62 | 75 | 3.54×105 | 1.18 | 0.82 |
图6
图6
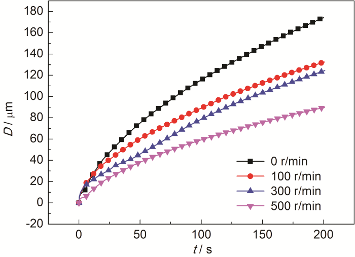
在3.5%NaCl溶液中不同搅拌速度下单个蚀孔口径随时间的变化
Fig.6
Evolutions of mouth diameter of a single stable pit of 304 stainless steel in 3.5%NaCl solution at different stirring rates
由图5可知,在点蚀开始阶段,点蚀孔的体积增加不明显,随着时间的延长,蚀孔体积的增长率缓慢增加;搅拌速度越小,蚀孔体积的增长率越大。就整体来说,各曲线的斜率随着时间延长而增加,说明蚀孔的生长是一个加速的过程。这是因为在蚀孔内部点蚀产物水解使蚀孔内部的pH值减小,蚀孔内部溶液持续酸化。研究[21,22]表明,蚀孔内pH值小于0,大量存在的Cl-和H+会降低金属离子由晶格进入溶液的能垒,加速溶解,蚀孔内溶液缺氧富氯的环境使蚀孔内部无法再钝化。搅拌速度越低,蚀孔内外的物质交换速率就越慢,蚀孔内部金属的浓度越高,蚀孔的溶解速率越快,蚀孔体积增加的速率越快。方玉荣等[23]研究超声波对304不锈钢在FeCl3溶液中的腐蚀行为时,认为超声波加快溶液中腐蚀产物的扩散,使蚀孔表面腐蚀产物浓度降低,腐蚀速率减小,和本实验的研究结果一致。
图7
图7
不同搅拌速度条件下单个稳态蚀孔表面形貌及其三维重构图
Fig.7
Images of surface topography and 3D reconstruction of a single stable pit at the stirring rates of 0 r/min (a), 100 r/min (b), 300 r/min (c) and 500 r/min (d)
3 结论
(1) 搅拌影响亚稳态蚀孔表面点蚀产物浓度。搅拌强度越小,蚀坑表面的点蚀产物浓度越高,点蚀坑附近的pH值越低,点蚀孕育期显著减少,平均峰值电流和平均峰值宽度、蚀孔数量均显著增加,亚稳态点蚀敏感性增强。点蚀产物也能加速亚稳态蚀孔的生长。
(2) 搅拌影响蚀孔内部点蚀产物的浓度,蚀孔内部低浓度的点蚀产物使蚀孔的溶解速率减小。但是,随着蚀孔的生长,蚀孔的深宽比减小,搅拌速度对蚀孔内部溶液浓度的影响减小,最终搅拌将不会影响蚀孔底部点蚀产物的浓度。
