自源性磁场对Cu大气腐蚀行为的影响
Effect of Self-generated Magnetic Field Produced by Electric Current on Atmospheric Corrosion Behavior of Copper
通讯作者: 吴伟,E-mail:wuweicorr@shiep.edu.cn,研究方向为电力材料腐蚀及环境断裂;张俊喜,E-mail:zhangjunxi@shiep.edu.cn,研究方向为输变电工况下的金属腐蚀与防护
收稿日期: 2024-07-15 修回日期: 2024-09-10
| 基金资助: |
|
Corresponding authors: WU Wei, E-mail:wuweicorr@shiep.edu.cn;ZHANG Junxi, E-mail:zhangjunxi@shiep.edu.cn
Received: 2024-07-15 Revised: 2024-09-10
| Fund supported: |
|
作者简介 About authors
李秋博,男,1995年生,硕士生
本文研究了通电工况下自源性磁场对海洋大气环境中Cu大气腐蚀行为的影响。采用薄液膜体系电化学测量技术和模拟腐蚀时效研究了自源性磁场下Cu的大气腐蚀行为特征,采用扫描电镜观察了腐蚀产物的表面形貌,采用X射线衍射和X射线光电子能谱技术对腐蚀产物的成分进行了表征。结果表明,随着自源性磁场强度的升高,Cu的阴极过程与阳极过程均加快,共同导致了其腐蚀速率的上升;在腐蚀时效中随着自源性磁场强度的升高,Cu表面腐蚀产物组成发生变化,对基体后续进一步腐蚀的抑制能力减弱,且表面出现点蚀;同时发现铜表面的腐蚀程度与电流方向相关,电流流入一端腐蚀程度高于电流流出一端。文中进一步分析了自源性磁场对Cu大气腐蚀的影响机理。
关键词:
The effect of self-generated magnetic field produced by electric current on the corrosion behavior of Cu in simulated marine atmospheric environments was studied via a novel lab-made electrochemical test set, which consists of that a current-carrying copper conductor is covered with T2 pure Cu foil, and a thin electrolyte layer (TEL) on top of the Cu foil. The surface morphology and composition of the corrosion products were characterized by using scanning electron microscopy, X-ray diffraction and X-ray photoelectron spectroscopy techniques. The results showed that with the increasing intensity of the self-generated magnetic field, both the cathodic and anodic processes of the copper were accelerated, jointly leading to an increase in the corrosion rate. During long term corrosion exposure, the composition of the corrosion products on the copper surface changes with the increasing intensity of the self-generated magnetic field, while weakening its protective ability for the subsequent corrosion of Cu substrate, thus, pitting corrosion occurs on the Cu surface. At the same time, it is found that the corrosion degree of the Cu surface is closely related to the direction of the electric current and locations of the test piece, namely where the current input the corrosion degree is higher than that the current output. Herewith, the influence mechanism of the self-generated magnetic field on the atmospheric corrosion of Cu is further discussed.
Keywords:
本文引用格式
李秋博, 苏一喆, 吴伟, 张俊喜.
LI Qiubo, SU Yizhe, WU Wei, ZHANG Junxi.
前人对磁场如何影响腐蚀方面进行了大量的研究,朱立洋等[7]对磁场如何影响金属腐蚀进行了总结,认为金属腐蚀过程中产生的离子、电子移动、腐蚀产物结构及形态可能会受到磁场的影响;吕战鹏等[8]研究表明,在平行磁场的作用下,Cu的阳极峰值电流密度随着磁场强度增加而增大,阳极峰值电位随着磁场强度的增加而正移,外加磁场与溶液pH值对高电位区铜的阳极溶解有协同加速作用。进一步地,将工作电极换为铁后,在阳极恒电位极化条件下,加入平行磁场后铁电极表面腐蚀形貌由均匀腐蚀变为不均匀腐蚀,腐蚀形态发生了改变[9];李晓徽等[10]研究了X70管线钢在Na2CO3溶液中的腐蚀过程,并发现外加磁场的存在显著加速了高电位下的析氧反应。
输电导线通过电流时产生的磁场与上述文献报道均不相同,根据Biot-Savart定律[11],这种自源性磁场与导体金属表面平行,导体表面磁感应强度随通电电流增加而增加,且越靠近导体表面,磁感应强度越大,在导体表面存在很高的磁场梯度。根据Monzon的理论[12,13],磁场可以通过Kelvin力与Lorentz力调控磁场内粒子的移动,这种作用称之为MHD效应,MHD效应在电极/溶液界面处引起对流,会显著改变电化学过程。磁场在溶液中通过对带电离子施加Lorentz力来引起对流。Lu等[9]研究表明,平行磁场可以加速铁离子从基体到溶液的传质,从而促进Fe的溶解。Kelvin力又称磁场梯度力或磁泳力,当顺磁性物质置于非均匀磁场中时,顺磁性物质会在磁场梯度作用下将其推向磁场强度最大的区域[14,15]。载流铜棒导体产生的自源性磁场可通过Kelvin力和Lorentz力影响Cu棒表面电极/溶液界面周围粒子的运动,从而改变电极的电极过程动力学过程。
文献中报道的Cu腐蚀较多的集中在某些模拟溶液中,而忽略了铜的其他服役环境,对于大气中服役的输电铜导体而言,导体表面由于载流存在着自源性磁场,长期以来由于磁场的隐蔽性,导体金属的腐蚀失效分析主要集中在大气环境与应力环境,使得对铜导体的失效原因缺乏深入准确的认识。因此深入研究自源性磁场环境下导体金属的腐蚀机理对于保障载流导体的安全运行具有重要意义。
基于此,本文自制了一个载流导体薄液膜(TEL)电化学测试装置,通过电化学测试与腐蚀时效实验,研究了自源性磁场对铜大气腐蚀行为的影响,采用扫描电子显微镜(SEM)研究了腐蚀形貌,并用X射线衍射(XRD)和X射线光电子能谱(XPS)对腐蚀产物进行了表征。为通电工况下Cu的大气腐蚀行为提供理论支持。
1 实验方法
实验材料为购买的工业电解T2紫铜箔,其化学成分(质量分数,%)分别为:Cu + Ag ≥ 99.5,Sb 0.02,As 0.02,Fe 0.005,Pb 0.005,S 0.005。将铜箔加工成100 mm × 15 mm × 0.015 mm的尺寸,酒精清洗吹干后放入干燥器待用。
图1为自源性磁场下铜金属腐蚀测试的实验装置示意图,在铜棒上通过直流电流以产生自源性磁场,同时在铜棒上喷有一层绝缘层与铜箔绝缘隔离,将制备好的铜箔平整地覆裹在铜棒的绝缘层表面,此时由于绝缘层的作用铜箔的腐蚀电化学行为只受到自源性磁场的影响。在铜箔中央部分留有1 cm²的面积做工作电极,在铜箔其他部分喷有绝缘层,避免参比电极和对电极与铜箔电接触;使用缠绕在铜箔上不同层数的擦镜纸(AL-7,奥克新概念,厚度20 μm)作为大气模拟液的载体来实现薄液膜条件;同时采用自制的AgCl/Ag丝和Pt丝作为参比电极和对电极缠绕在擦镜纸上,铜棒两端加有冷却管,通过循环冷却水消除由于铜棒通电引起的温升。对铜箔进行电化学测试时,将三电极体系搭建在有小孔的石英盒内,从而控制饱和蒸气压因素的影响,本实验均通过冷却系统保证测试环境为室温(25 ± 0.1) ℃。
图1
图1
实验所用薄液膜电化学测量装置及工作电极横截面示意图
Fig.1
Schematic diagrams of the electrochemical measurement apparatus under thin electrolyte (a) and the cross-section of work electrode (b)
铜棒的直径与直流电流大小通过有限元分析软件模拟,以得到与实际工况下相同的磁场条件。在实际工况下,高压直流输电线采用八分裂子导线运行,负载的电流约为4000 A,其中每根子导线横截面积为1000 mm2,负载电流约为500 A。经过模拟最终选用57 A直流电流通过直径为4 mm的铜棒模拟实际工况,此时模拟工况和实际工况下铜棒导体表面的磁场均为5.7 mT (图2)。在本文中,绝缘层厚度约15 μm,铜箔与铜棒表面的磁场强度近似相等,且由于自源性磁场与铜箔表面平行。因此,铜箔表面的磁场强度为5.7 mT。通过调节直流电流的大小可在铜棒表面获得不同强度的自源性磁场。
图2
图2
实际工况与模拟工况下铜表面磁场分布的对比
Fig.2
Comparison of magnetic field distributions on the surface of copper under operating condition (a) and simulated condition (b)
使用DH7006电化学工作站进行电化学测量,首先进行了弱极化曲线测量的有效性分析,在不同厚度薄液膜下,相对开路电位(OCP) + 50 mV进行了电化学阻抗谱(EIS)测量,并分析其相位角大小。随后根据EIS测量结果选取合适的薄液膜厚度,进行极化曲线测量,极化曲线的扫描范围为+50~-50 mV (vs. OCP),扫描速率为0.167 mV/s,EIS测试的频率范围为105~10-2 Hz,扰动电位为±10 mV,文中所有电极电位均相对于饱和甘汞电极(SCE)。
将图1中的参比电极与对电极拆除,缠绕与测量极化曲线时相同层数的擦镜纸进行腐蚀时效实验,得到不同自源性磁场强度与不同暴露时间下的腐蚀时效样品,且为了更好地分析不同自源性磁场强度下铜的腐蚀特性,重点关注电流输入端和电流输出端两个不同的位置点。采用扫描电子显微镜(SEM,Rigaku SmartLab se)对铜箔试样表面腐蚀产物的微观形貌进行表征。采用X射线衍射仪(XRD,Bruker D8 Advance)和X射线光电子能谱(XPS,Thermo Scientific K-Alpha)对铜箔表面腐蚀产物成分进行表征,数据使用标准的C 1s峰(284.8 eV)校准,并使用Advantage软件进行拟合分析样品的腐蚀产物。通过粉末衍射标准联合委员会(JCPDS)数据库确定晶相。
2 结果与讨论
2.1 电化学测量分析
根据Nishikata[16,17]的研究,由于大气腐蚀是在极薄的液膜层下进行的,因此电化学测量技术在大气腐蚀研究中最大的问题便是当液膜层厚度很薄时,溶液电阻会变得非常高,且电极表面的电流分布会变得不均匀。在这种情况下,工作电极上极高的欧姆降和不均匀的电流分布会在测量大气腐蚀速率时产生严重的误差。同时Nishikata也指出,当EIS测量得到的相位角峰值大于45°时可以认为在工作电极表面的电流分布是均匀的。目前有关大气腐蚀的研究主要关注阴极极化过程[2,18,19],这是由于液膜过薄会导致连续性差,且阳极区的极化会导致腐蚀产物覆盖工作电极表面使其电流不均匀。在相对开路电位+50 mV条件下进行了阻抗测量,结果如图3所示。随着薄液膜厚度增加,由图3b可见在40~100 μm薄液膜厚度范围内,相位角峰值恒大于45°。所以本文选取40 μm作为极化曲线测试时的薄液膜厚度,选择±50 mV作为弱极化测试的扫描范围。在此条件下获得的极化曲线是合理的,相应的弱极化曲线数据通过Cview软件的非线性拟合进行解析[20]。
图3
图3
铜箔在不同薄液膜厚度条件下相对开路+50 mV时的EIS曲线
Fig.3
Nyquist plots (a) and Bode plots (b) of copper under thin electrolyte layers with different thicknesses at +50 mV (vs. OCP)
图4a是在液膜厚度为40 μm时不同自源性磁场水平下Cu的弱极化曲线。施加自源性磁场对弱极化曲线的形状没有明显影响;阳极和阴极过程均由电荷转移过程控制。此外,随着自源性磁场强度的增加,极化曲线逐渐向右上方移动,阴极曲线与阳极曲线均向右偏移,表明自源性磁场同时促进了阴极的氧还原与阳极溶解过程。腐蚀电流密度(Icorr)和腐蚀电位(Ecorr)随自源性磁场强度的变化如图4b所示。当自源性磁场增加到5.7 mT时,Ecorr值正移约70 mV,Icorr值增加了约60倍。这些显著变化证实了自源性磁场对薄液膜条件下Cu电化学过程的加速作用,因此自源性磁场水平与Cu导体腐蚀加速效应之间的正相关性显而易见。
图4
图4
薄液膜厚度为40 μm时不同自源性磁场水平下铜箔的弱极化曲线和拟合的电化学参数
Fig.4
Weak polarization curves (a) and fitting parameters (b) of copper foil under 40 μm TEL at different self-generated magnetic field levels
2.2 腐蚀形貌观察
图5
图5
铜箔在TEL和不同自源性磁场水平条件下暴露3 d后的表面形貌
Fig.5
Surface morphologies of the copper foil after exposure for 3 d under TEL at different self-generated magnetic field levels: (a) input end, 0 mT, (b) output end, 0 mT, (c) input end, 3 mT, (d) output end, 3 mT, (e) input end, 5.7 mT, (f) output end, 5.7 mT
图6
图6
铜箔在 TEL 和不同自源性磁场水平条件下暴露7 d后的表面形貌
Fig.6
Surface morphologies of copper foil after 7 d exposure under TEL at different self-generated magnetic field levels: (a) input end, 0 mT, (b) output end, 0 mT, (c) input end, 3 mT, (d) output end, 3 mT, (e) input end, 5.7 mT, (f) output end, 5.7 mT
2.3 腐蚀产物成分分析
2.3.1 XRD分析
图7
图7
铜箔在不同自源性磁场强度下暴露7 d后表面的XRD谱
Fig.7
XRD patterns of copper foil exposed for 7 d under TEL condition at different self-generated magnetic field levels
2.3.2 XPS分析
由图5和6可知,自源性磁场的存在导致了铜箔表面电流输入端与输出端腐蚀程度存在较大差异。为了更好的阐明两个端点之间的腐蚀差异,利用XPS技术分析了这两处的表面膜组成,Cu 2p3/2和O 1s的XPS谱图分别如图8和9所示。其中,Cu(I)和Cu0的结合能相同,仅能通过俄歇LMM光谱分析区分[22~25]。结合XRD分析可知,Cu0峰为铜基体,Cu(I)峰对应Cu2O或CuCl,Cu(II)则对应Cu2(OH)3Cl。O 1s光谱主要由位于530.1、531.6和532.7 eV结合能处的3个峰组成,分别对应O2-、OH-和H2O,这在先前的文献中已广泛报道[25,26]。可以推测,OH-对应表面膜中的Cu2(OH)3Cl相,而O2-对应Cu2O中的晶格氧。据此,通过晶格氧峰面积的比例可以实现对Cu2O的半定量分析。
图8
图8
铜箔在不同自源性磁场强度下暴露7 d后表面腐蚀产物膜的Cu 2p3/2 XPS图谱
Fig.8
XPS fine spectra of Cu 2p3/2 of the corrosion films formed on copper foil exposed for 7 d at different self-generated magnetic field levels: (a) 0 mT input end, (b) 0 mT output end, (c) 5.7 mT input end, (d) 5.7 mT output end
图9
图9
铜箔在不同自源性磁场强度下暴露7 d后表面腐蚀产物膜的O 1s的XPS精细谱
Fig.9
XPS fine spectra of O 1s of the corrosion product films formed on copper foil exposed for 7 d at different self-generated magnetic field levels: (a) 0 mT input end, (b) 0 mT output end, (c) 5.7 mT input end, (d) 5.7 mT output end
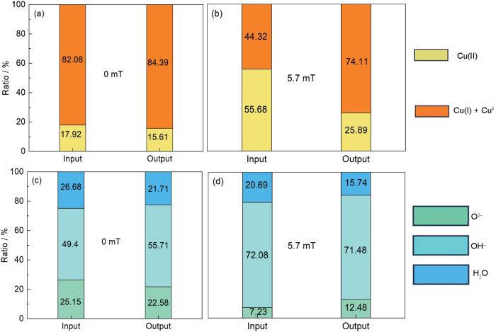
图10是通过XPS拟合得到不同价态的Cu和O的原子比。在没有自源性磁场的情况下,输入端和输出端的Cu和O的每种价态比例基本相同(图10a);然而,当施加5.7 mT的自源性磁场时,不同价态的Cu的原子比发生了显著变化,在7 d的暴露试验后,输入端的Cu(II)含量相比输出端显著增多(图10b)。此外,输入端的O2-的含量比输出端低约5%(图10d)。这说明在输入端形成的表面膜中Cu2O较少,而Cu2(OH)3Cl较多,这是由于CuCl
图10
图10
薄液膜条件下腐蚀7 d后铜表面腐蚀膜中不同价态Cu和O所占比例
Fig.10
Proportion of Cu (a, b) and O (c, d) with different valence states in the corrosion film on Cu foil after exposure under TEL for 7 d at 0 mT (a, c) and 5.7 mT (b, d)
3 Cu在自源性磁场下的腐蚀机理
图11
图11
自源性磁场作用下铜箔表面的CuCl
Fig.11
Schematic diagrams of distributions of CuCl
在磁场的作用下,CuCl
在腐蚀时效中期,Cu2O在Cl-的作用下开始溶解为CuCl
自源性磁场会将CuCl
4 结论
本研究搭建了自源性磁场下Cu的电化学测量和时效的薄液膜装置,以研究存在自源性磁场时铜导体的大气腐蚀行为。根据上述结果和相关讨论,主要结论如下:
(1) 自源性磁场的存在促进了Cu在大气腐蚀过程的阳极、阴极反应和腐蚀产物中Cu2O向Cu2(OH)3Cl的转化,加速了Cu的大气腐蚀。因此,自源性磁场的存在导致铜导体的腐蚀过程加速,且加速程度与自源性磁场强度的大小正相关。
(2) 自源性磁场导致薄液膜中铜箔的腐蚀不均匀。电流输入端的腐蚀程度比输出端严重,输入端表面膜中含有更多点蚀孔。随着自源性磁场水平的增加,腐蚀的不均匀性加剧。
参考文献
Corrosion behavior and corrosion inhibitor for copper artifacts in CO2 environment
[J].
铜质文物在CO2环境中的腐蚀行为及缓蚀剂研究
[J].
Corrosion behaviour of copper under chloride-containing thin electrolyte layer
[J].
Corrosion behavior of Cu-Al laminated board in neutral salt fog environment
[J].
铜铝层状复合板中性盐雾腐蚀行为研究
[J].采取模拟大气环境的室内中性盐雾腐蚀实验,探讨了铜铝层状复合材料的腐蚀行为。通过扫描电镜 (SEM) 观察腐蚀后铜铝界面形貌,结合X射线衍射仪 (XRD) 和能谱仪 (EDS) 分析腐蚀产物成分,并通过电化学检测分析试样经过不同时间盐雾腐蚀后的表面腐蚀状态,探讨铜铝复合板在服役环境下的腐蚀机制。结果表明:铜铝复合板在盐雾环境下铜铝构成腐蚀原电池,Al为阳极铜为阴极,阴阳极面积比越大,腐蚀速率越大。随着腐蚀的不断进行,铜铝界面的Cu一侧发生腐蚀,且靠近界面的位置腐蚀最为严重,随着腐蚀时间延长,铝基体出现严重的剥蚀现象,Cu几乎无变化。腐蚀产物成分为Al<sub>2</sub>O<sub>3</sub>,Al(OH)<sub>3</sub>和AlO(OH),电化学结果显示:铜铝复合板在腐蚀的过程中,腐蚀速率呈现先增加后减小再增加的趋势。
Influence of electric current on the corrosion behavior of Cu for the electric contact in the isolation switch
[J].
Influence of DC current on corrosion behaviour of copper-aluminium composite plates
[J].
Atmospheric corrosion acceleration effect on commercial aluminum alloys in current-carrying condition
[J].
Research progress of effect of magnetic field on metal corrosion
[J].
磁场对金属腐蚀影响的研究进展
[J].随着越来越多的电磁设备应用在腐蚀环境下,磁场对金属腐蚀的影响成为一个不可忽略的因素。已有相关研究表明,磁场对金属腐蚀的促进或者抑制作用取决于具体的工况环境。普遍认为磁场主要通过Lorentz力和磁场梯度力影响电化学过程中的粒子运动来影响金属的电化学腐蚀过程,具体表现在金属腐蚀过程中的传质、界面反应和腐蚀产物这3个方面。本文综述了磁场中Lorentz力和磁场梯度力对金属腐蚀过程的具体影响,指出了磁场对电化学腐蚀影响未来研究和应用的方向。
Effects of magnetic fields on anodic dissolution of copper in solutions of various acidities
[J].
磁场对铜在几种酸性溶液中阳极溶解的影响
[J].
Anomalous surface morphology of iron generated after anodic dissolution under magnetic fields
[J].
Effect of magnetic field on anodic process of X70 pipeline steel in sodium carbonate solution
[J].
磁场对X70管线钢在碳酸钠溶液中阳极过程的影响
[J].采用动电位扫描阳极极化曲线和恒电位极化测试方法研究了0.4 T磁场对X70管线钢在含与不含Cl<sup>-</sup>的NaCO<sub>3</sub>溶液中阳极过程的影响。外加磁场加速X70管线钢在NaCO<sub>3</sub>溶液中高电位下的析氧反应,对钝化区阳极反应无显著影响。含Cl<sup>-</sup>的NaCO<sub>3</sub>溶液中,在动电位扫描极化曲线钝化区内接近过渡区的电位下恒电位极化时出现快速活性溶解特征,外加磁场表现出抑制阳极溶解的作用;高电位下阳极溶解和析氧反应同时发生时磁场作用不明显。动电位极化和恒电位极化电流密度差异源于不同极化方式导致的电极表面状态及电极反应类型差异,导致磁场作用也发生变化。
Magnetic fields in electrochemistry: The Kelvin force. A mini-review
[J].
Magnetic fields in electrochemistry: The Lorentz force. A mini-review
[J].
Effect of magnetization state on the corrosion behaviour of NdFeB permanent magnets
[J].
Electrochemistry in magnetic fields
[J].
An application of electrochemical impedance spectroscopy to atmospheric corrosion study
[J].
AC impedance monitoring of pitting corrosion of stainless steel under a wet-dry cyclic condition in chloride-containing environment
[J].
The effects of Cl- ion concentration and relative humidity on atmospheric corrosion behaviour of PCB-Cu under adsorbed thin electrolyte layer
[J].
The effects of temperature and electric field on atmospheric corrosion behaviour of PCB-Cu under absorbed thin electrolyte layer
[J].
Estimation of electrochemical kinetic parameters of corrosion processes by weak polarization curve fitting
[J].
由弱极化曲线拟合估算腐蚀过程的电化学动力学参数
[J].在腐蚀过程的阴极反应是由电化学反应过程和传质过程混合控制的情况下,腐蚀金属电极的弱极化曲线方程式包含4个电化学动力学参数。迄今还没有一个方法可以同时测定这些动力学参数。本文证明,利用高斯—牛顿曲线拟合法直接对腐蚀金属电极的弱极化曲线拟合,可以解决这一问题。编制了一个BASIC语言的计算程序,并讨论了编制程序时应加以考虑的问题。
Corrosion behavior of copper materials in marine atmosphere under action of magnetic field
[J].
磁场作用下铜材在海洋大气中的腐蚀行为
[J].
ToF-SIMS, XPS and DFT study of the adsorption of 2-mercaptobenzothiazole on copper in neutral aqueous solution and corrosion protection in chloride solution
[J].
X-ray photoelectron studies on some oxides and hydroxides of cobalt, nickel, and copper
[J].
Decomposition of copper compounds in X-ray photoelectron spectrometers
[J].
Electrochemical properties and growth mechanism of passive films on Alloy 690 in high-temperature alkaline environments
[J].
Influence of temperature on the electrochemical and passivation behavior of 2507 super duplex stainless steel in simulated desulfurized flue gas condensates
[J].
Investigation of the first stages of the localized corrosion of pure copper combining EIS, FE-SEM and FE-AES
[J].
Copper behaviour in acid and alkaline brines—I kinetics of anodic dissolution in 0.5M NaCl and free-corrosion rates in the presence of oxygen
[J].
Effects of applied magnetic field on corrosion of beryllium copper in NaCl solution
[J].<p>The effects of an applied magnetic field on the corrosion process of beryllium copper in NaCl solution have been investigated by electrochemical measurements, scanning electron microscopy (SEM) and energy dispersive spectroscopy (EDS). The results showed that a horizontal magnetic field with 0.4 T barely shifted the open circuit potentials (<em>E</em><sub>corr</sub>) of beryllium copper in NaCl solution with different concentrations. However, the horizontal magnetic field increased the limiting current density of beryllium copper in NaCl solution with low concentration, while decreased the limiting current density of beryllium copper in NaCl solution with high concentration. It was found that magnetic field accelerated the diffusion of CuCl<sup>2-</sup> away from the electrode surface and delayed the formation of Cu<sub>2</sub>O. The results of SEM and EDS showed that the influence of magnetic<br />field over the elements distribution of the corrosion products differed from the di®erent concentration of the immersion solution.</p>
Electrochemical measurements and atomistic simulations of Cl--induced passivity breakdown on a Cu2O film
[J].
/
| 〈 |
|
〉 |
