十二烷基苯磺酸钠在模拟混凝土孔隙液中对Q235钢缓蚀及吸附行为研究
Inhibition and Adsorption Behavior of Sodium Dodecyl-benzene Sulfonate on Q235 Steel in Simulated Concrete Pore Fluid
通讯作者: 刘光明,E-mail:gemliu@126.com,研究方向为材料腐蚀与防护
收稿日期: 2020-09-24 修回日期: 2020-09-28 网络出版日期: 2021-09-24
| 基金资助: |
|
Corresponding authors: LIU Guangming, E-mail:gemliu@126.com
Received: 2020-09-24 Revised: 2020-09-28 Online: 2021-09-24
作者简介 About authors
唐荣茂,男,1995年生,硕士生
采用动电位极化曲线、Mott-Schottky曲线与表面形貌分析等方法研究了十二烷基苯磺酸钠 (SDBS) 在0.5 mol/L NaCl和饱和Ca(OH)2溶液 (SCP) 中对Q235钢的缓蚀作用及吸附行为。结果表明,SDBS浓度在0~8.315×10-4 mol/L区间,SDBS在模拟混凝土孔隙液中对Q235钢具有较好的缓蚀效果,其缓蚀率随SDBS浓度的增加而增大。室温下添加8.315×10-4 mol/L的SDBS其缓蚀率可达85.72%,且温度从298 K升至328 K过程中,缓蚀率逐渐降低。SDBS在Q235钢表面的吸附符合Langmuir型吸附等温式,吸附过程为放热、熵增的自发过程。SDBS在Q235钢表面的吸附是以化学吸附为主的混合吸附。SDBS在Q235钢表面形成的吸附膜将Cl-等侵蚀性离子隔离,抑制了Q235钢腐蚀。
关键词:
The corrosion inhibition and adsorption behavior of sodium dodecyl benzene sulfonate (SDBS) in the range of 0~8.315×10-4 mol/L on Q235 steel in a simulated concrete pore fluid of 0.5 mol/L NaCl saturated Ca(OH)2 solution were studied by means of potential polarization curve measurement, Mott-Schottky curve measurement and surface morphology analysis. SDBS has a good corrosion inhibition effect on Q235 steel in the simulated concrete pore fluid, and its corrosion inhibition rate increases with the increase of SDBS concentration. The addition of 8.315×10-4 mol/L SDBS has a corrosion inhibition rate of 85.72% at room temperature, and the corrosion inhibition rate gradually decreases when the temperature rises from 298 K to 328 K.The adsorption of SDBS on the surface of Q235 steel conforms to the Langmuir adsorption isotherm. The adsorption process is a spontaneous process of exothermic and entropy increase. The adsorption of SDBS on the surface of Q235 steel is a mixed adsorption based on chemical adsorption. The adsorption film of SDBS formed on the surface of Q235 steel isolates the aggressive ions such as Cl- and inhibits the corrosion of Q235 steel.
Keywords:
本文引用格式
唐荣茂, 刘光明, 师超, 张帮彦, 田继红, 甘鸿禹, 刘永强.
TANG Rongmao, LIU Guangming, SHI Chao, ZHANG Bangyan, TIAN Jihong, GAN Hongyu, LIU Yongqiang.
一些无机缓蚀剂如亚硝酸盐可有效抑制混凝土环境中的钢筋腐蚀,但由于其毒性大、污染环境等因素影响,其应用受到限制[4]。因此,绿色有机缓蚀剂的研究受到人们广泛关注。十二烷基苯磺酸钠作为一种有机缓蚀剂,具有价格低廉、无毒、环保等优点[5],研究其缓蚀性能具有重要意义。冯丽娟等[6]研究了含氧有机物与十二烷基苯磺酸钠 (SDBS) 复配在3.5% (质量分数) NaCl的饱和Ca(OH)2溶液中对钢筋缓蚀的协同效应,结果表明山梨醇与SDBS复配具有良好的协同缓蚀效果;王丽等[7]研究了SDBS对AZ31B镁合金的缓蚀效果,结果表明添加SDBS可提高镁合金的耐蚀性能;孟新静等[8]研究了SDBS对碳钢/3.5%NaCl-钼酸盐体系表面张力及缓蚀性能的影响,结果表明,SDBS与钼酸钠复配可降低溶液表面张力,增强缓蚀效果。目前关于SDBS的缓蚀报道主要集中在酸性或中性溶液体系,而在碱性条件下对Q235钢缓蚀的报道较少,且对缓蚀效率具有重要影响的吸附行为尚未见报道。本文采用动电位扫描、Mott-Schottky曲线等电化学测试研究了SDBS在模拟混凝土孔隙液中对Q235钢的缓蚀效果与吸附行为,探讨了浓度、温度的改变对SDBS缓蚀效果的影响。
1 实验方法
实验采用尺寸为
取pH12.5的饱和Ca(OH)2上层清液作为模拟混凝土孔隙液,并添加NaCl至溶液浓度为0.5 mol/L,得到含氯盐模拟混凝土孔隙液。本实验将浓度为0.5 mol/L NaCl的饱和Ca(OH)2溶液 (简称SCP溶液) 作为基础溶液体系。
电化学测试由CHI660电化学工作站完成,采用三电极体系,其测试装置如图1所示,Q235钢作为工作电极,饱和甘汞电极 (SCE) 作为参比电极,铂电极作为辅助电极,电解质溶液为含氯盐的饱和Ca(OH)2溶液,电化学测试均在室温 (22±2 ℃) 下进行。动电位极化测试时,先将Q235钢在含氯盐混凝土孔隙液中浸泡30 min,再进行动电位扫描。扫描速率为1 mV/S,扫描范围为相对于自腐蚀电位-250~+1000 mV。Mott-Schottky曲线测试的电位为-1~0.6 V,频率为1 kHz,振幅为0.005 V。将Q235钢分别在浓度为2.364×10-4、4.382×10-4、6.296×10-4和8.315×10-4 mol/L SDBS的SCP溶液中浸泡24 h后进行测试。用扫描电镜 (SEM,FEI Nova Nano SEM 450) 观察样品的表面形貌。
图1
2 结果与分析
2.1 动电位扫描极化曲线分析
图2为Q235钢在含不同浓度SDBS的SCP溶液中的极化曲线。由图可见,添加SDBS的极化曲线均向低电流密度方向移动。Q235钢在添加SDBS的SCP溶液中可见钝化区间,表现出钝化行为。在未添加SDBS的SCP溶液中Q235钢主要表现为活性溶解。表1为Q235钢在含不同浓度SDBS的SCP溶液中的极化曲线拟合参数,表中Icorr表示自腐蚀电流密度,Ecorr为自腐蚀电位,Eb为点蚀电位,η为缓蚀率。其中η=[Icorr(blank)-Icorr(添加SDBS)]/Icorr(blank)。从表可见,添加SDBS后,Ecorr均有所上升,表明SDBS对金属在阳极的反应有所抑制。随着SDBS浓度升高,Icorr逐渐降低,Eb显著提高,Q235钢的钝化区间增大,推测原因为SDBS吸附于Q235钢表面,形成的吸附膜隔离SCP溶液中Cl-对Q235钢表面的侵蚀,其缓蚀性能随着SDBS浓度的增大而提高。
图2
图2
Q235钢在含不同浓度SDBS的SCP溶液中的极化曲线
Fig.2
Polarization curves of Q235 steel in SCP solution containing different concentrations of SDBS
表1 Q235钢在含不同浓度SDBS的SCP溶液中的极化曲线拟合参数
Table 1
| Concentration / mol·L-1 | Icorr / A·cm-2 | Ecorr / V | Eb | η / % |
|---|---|---|---|---|
| 0 | 1.638×10-5 | -0.693 | -0.116 | --- |
| 2.364×10-4 | 5.317×10-6 | -0.670 | -0.005 | 67.54 |
| 4.382×10-4 | 4.418×10-6 | -0.680 | 0.113 | 73.03 |
| 6.296×10-4 | 3.473×10-6 | -0.667 | 0.413 | 78.80 |
| 8.315×10-4 | 2.339×10-6 | -0.592 | 0.568 | 85.72 |
2.2 Mott-Schottky分析
图3为Q235钢在含不同浓度SDBS的SCP溶液中的Mott-Schottky曲线。从图可见,在自腐蚀电位-0.59~-0.69 V范围内,Mott-Schottky曲线对应的斜率为正,表明在含不同浓度SDBS的SCP溶液中Q235钢表面生成的膜层均属于n型半导体。表2为Q235钢在含不同浓度SDBS的SCP溶液中的Mott-Schottky曲线拟合参数。其中Nd为施主载流子浓度,Efb为平带电位。从表可见,随着SDBS浓度升高,Nd逐渐降低,Efb逐渐增大,表明Q235钢表面形成更为致密的钝化膜。根据点缺陷模型 (PDM)[9,10],推测其原因为SDBS在Q235钢表面优先吸附,导致Mott-Schottky对反应被阻隔,Nd降低。
图3
图3
Q235钢在含不同浓度SDBS的SCP溶液中的Mott-Schottky曲线
Fig.3
Mott-Schottky curves of Q235 steel in SCP solution containing different concentrations of SDBS
表2 Q235钢在不同浓度SDBS的SCP溶液中的Mott-Schottky曲线拟合参数
Table 2
| Concentration / mol·L-1 | Nd / 1021 cm-3 | Efb / V |
|---|---|---|
| 0 | 2.36 | -1.03 |
| 2.364×10-4 | 1.95 | -0.86 |
| 4.382×10-4 | 1.72 | -0.83 |
| 6.296×10-4 | 1.65 | -0.80 |
| 8.315×10-4 | 1.37 | -0.75 |
2.3 表面形貌分析
图4
图4
Q235钢在SCP溶液中腐蚀24 h的SEM形貌
Fig.4
SEM morphologies of Q235 steel corroded in SCP solution for 24 h without SDBS (a) and with SDBS (b)
2.4 十二烷基苯磺酸钠常温下吸附行为
其中,K为平衡吸附常数,n为经验常数,c为SDBS浓度,θ为SDBS在Q235钢表面的覆盖率,
图5
图5
SDBS在Q235钢表面吸附的等温吸附模型拟合
Fig.5
Fitting of freundlich (a), langmuir (b), temkin (c) adsorption isotherm model of SDBS on the surface of Q235 steel
表3 SDBS在Q235钢表面的等温吸附模型拟合参数
Table 3
| Adsorption isotherm model | Fitting equation | Correlation coefficient R2 |
|---|---|---|
| Freundlich | lgθ=0.18383lgc+0.49064 | 0.94258 |
| Langmuir | c/θ=1.04163c+1.23597×10-4 | 0.98901 |
| Temkin | θ=0.32158lgc+1.82918 | 0.91834 |
2.5 温度对十二烷基苯磺酸钠吸附行为影响
图6为SDBS浓度与温度对腐蚀电流密度和缓蚀效率的影响。从图6a可见,在添加SDBS的SCP溶液中,Icorr随温度升高而升高;未添加SDBS的SCP溶液中在328 K时Icorr出现下降,可能是由于温度过高导致SCP溶液中的溶解氧含量降低,阴极的耗氧腐蚀为腐蚀过程的控制步骤。从图6b可见,随着温度的升高,缓蚀率呈下降趋势,其原因可能为SDBS分子的吸附能力减小,导致Q235钢表面附着SDBS分子减少;同一温度下,SDBS浓度在0~8.315×10-4 mol/L区间,缓蚀率随着SDBS浓度增大而增大,表明增大SDBS浓度能提高SDBS在Q235钢表面的覆盖度,在318 K温度下,在含8.315×10-4 mol/L SDBS的SCP溶液中缓蚀率出现轻微下降,可能是由于SDBS浓度过高在Q235钢表面发生脱附现象。
图6
图6
SDBS浓度与温度对腐蚀电流密度和缓蚀率的影响
Fig.6
Influence of SDBS concentration and temperature on corrosion current density (a) and corrosion inhibition efficiency (b)
图7
图7
SDBS在不同温度下的Langmuir型拟合曲线
Fig.7
Langmuir-type fitting curves of SDBS at different temperatures
表4 SDBS在不同温度下的Langmuir型拟合参数
Table 4
| Temperature K | Fitting equation | Correlation coefficient R2 |
|---|---|---|
| 298 | c/θ=1.04163c+1.23597×10-4 | 0.98901 |
| 308 | c/θ=1.03617c+1.69264×10-4 | 0.98796 |
| 318 | c/θ=1.03723c+2.28696×10-4 | 0.99953 |
| 328 | c/θ=1.05663c+3.04946×10-4 | 0.99975 |
有研究[16]表明,通过Arrhenius经验公式可计算出Q235钢在未添加与添加SDBS的SCP溶液中发生腐蚀反应的表面活化能Ea,见
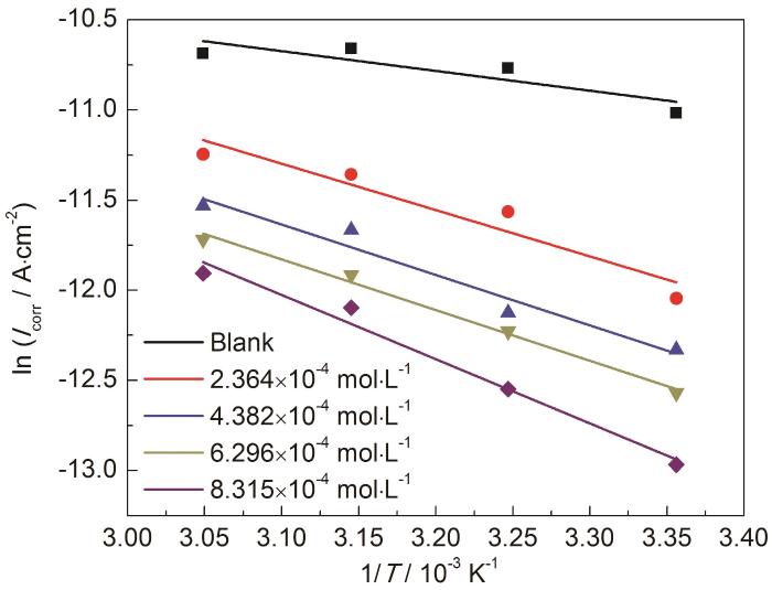
式中,Ea为反应活化能,T为反应绝对温度,对确定的腐蚀体系,B为常数。以lnIcorr为纵坐标,1/T为横坐标作图,进行直线拟合得到图8,通过直线斜率计算Q235钢发生腐蚀反应的表面活化能。Q235钢在含0,2.364×10-4,4.382×10-4,6.296×10-4和8.315×10-4 SDBS的SPC溶液中的表面活化能分别为:9.118,21.370,23.248,23.364和29.600 kJ/mol。
图8
图8
Q235钢在含不同浓度SDBS的SPC溶液中的Arrhen-ius拟合曲线
Fig.8
Arrhenius fitting curves of Q235 steel in SPC solution with different concentrations of SDBS
吸附焓ΔHm可通过Vant Hoff方程式[17] (7) 计算:
以lnKL为纵坐标,1/T为横坐标作图,进行直线拟合得到图9。拟合直线为lnKL=2904.3337/T-0.70839,相关系数为0.99985。根据拟合直线的斜率可求得SDBS在298~328 K时的吸附焓ΔHm为-24.147 kJ/mol。
图9
标准吸附熵可由
3 讨论
SCP溶液中添加SDBS后,Ea明显增加,Ea随SDBS浓度增大而增大,表明未添加SDBS时,Q235钢在SCP溶液中腐蚀反应更容易发生,在添加SDBS时,SDBS在Q235钢表面吸附,提高了腐蚀反应活化能垒,抑制SCP溶液中Cl-对Q235钢表面的侵蚀,降低了腐蚀速率。SDBS在298~328 K间的ΔGm均小于0,表明SDBS在Q235钢表面的吸附行为是自发进行的,ΔGm略大于-40 kJ/mol,表明SDBS在Q235钢表面的吸附均属于以化学吸附为主的混合吸附。吸附焓ΔHm为-24.147 kJ/mol,反应为放热反应,当温度升高时,SDBS在Q235钢表面的吸附能力下降,缓蚀率降低。KL值的大小反映SDBS在Q235钢表面吸附能力的强弱,从表5可知,随着温度的上升,KL值不断减小,表明SDBS的吸附能力逐渐减弱。SDBS在Q235钢表面的吸附熵ΔSm均大于0,说明SDBS在Q235钢表面很可能存在交叉吸附,一个SDBS分子取代多个Cl-或排挤多个水分子使体系熵增加,吸附熵ΔSm大于0是SDBS在Q235钢表面发生吸附的驱动力。
表5 SDBS在Q235钢表面吸附的热力学参数
Table 5
| T / K | ΔHm / kJ·mol-1 | ΔGm / kJ·mol-1 | ΔSm / J·mol-1·K-1 | KL |
|---|---|---|---|---|
| 298 | -24.147 | -32.346 | 27.513 | 8427.6 |
| 308 | -24.147 | -32.613 | 27.487 | 6121.6 |
| 318 | -24.147 | -32.879 | 27.459 | 4535.4 |
| 328 | -24.147 | -33.179 | 27.537 | 3465.0 |
阴离子型表面活性剂SDBS在Q235钢表面具有良好的吸附特性[18]。当SDBS在SCP溶液中解离后,带负电荷的苯磺酸根能自发的吸附于Q235钢表面,其中磺酸基与Ca2+形成Ca-O-S共吸附体系,此时SDBS在Q235钢表面发生物理吸附,同时磺酸根离子中含有孤对电子的O、S等原子与Fe的3d空轨道形成配位键[19],此时SDBS在Q235钢表面发生化学吸附。SDBS中含有磺酸根极性基团,其中的S吸附在Q235钢表面的活性点处,SDBS中同时含有疏水性的苯烷基非极性基团,在高浓度条件下聚集成胶团,从而在Q235钢表面形成疏水层,将金属表面与Cl-等侵蚀性离子隔离[20],从而减缓Q235钢腐蚀。随着SDBS浓度增大,磺酸根活性基团增多,在Q235钢表面吸附的活性基团增多[21],因此随着SDBS浓度的增加Q235钢的腐蚀电流密度减小。
4 结论
(1) SDBS在模拟混凝土孔隙液中对Q235钢具有缓蚀作用,缓蚀率随SDBS浓度的增加而增大。室温下添加8.315×10-4 mol/L的SDBS其缓蚀率可达85.72%。
(2) SDBS在Q235钢表面的吸附符合Langmuir型吸附等温式,缓蚀行为表现为随温度的升高其缓蚀率逐渐降低。吸附过程为放热、熵增的自发过程。
(3) SDBS在Q235钢表面的吸附是以化学吸附为主的混合吸附。SDBS中含有O、S等原子的活性基团提供孤对电子,Fe提供3d空轨道,形成化学吸附,磺酸基与Ca2+之间的共吸附为物理吸附。
参考文献
The adsorption and inhibition behavior of two organic inhibitors for carbon steel in simulated concrete pore solution
[J].
Synergistic effect of inhibitors of an imidazoline derivative and tetraethylenepentamine on corrosion inhibition of steel rebar in an artifial concrete pore solution
[J]. J.
混凝土模拟液中咪唑啉衍生物与四乙烯五胺间缓蚀协同效应
[J].
Investigation on interrelation of field corrosion test and accelerated corrosion test of grounding materials in red soil environment
[J]. J.
红壤地区接地材料现场埋样与加速腐蚀实验的相关性研究
[J].
Study on inhibition effect of some organic inhibitors on carbon steel in carbonated simulatied concrete pore solutions
[D].
模拟碳化混凝土孔隙液中几种有机缓蚀剂对碳钢的缓蚀作用
[D].
Study on adsorption thermodynamics and corrosion inhibition of sodium dodecylbenzene sulfonate on zinc in nitric acid
[J].
硝酸溶液中十二烷基苯磺酸钠对锌的缓蚀作用及吸附热力学研究
[J].
Inhibition and synergistic effect of Mixtures of oxygen-containing organic compounds with sodium dodecyl benzene sulfate on steel rebar corrosion in 3.5%NaCl saturated Ca(OH)2 solution
[J]. J.
含氧有机物与十二烷基苯磺酸钠复配物在3.5%NaCl饱和Ca(OH)2溶液中对钢筋的缓蚀与协同效应
[J].
The corrosion inhibition effect of sodium dodecylbenzene sulfonate on AZ31B magnesium alloy
[J].
十二烷基苯磺酸钠对AZ31B镁合金的缓释效果研究
[J].
Effect of sodium dodecylbeuzene sulfate on corrosion inhibition and surface tension of carbon steel in 3.5% NaCl-sodium molybdate solution
[J].
十二烷基苯磺酸钠对碳钢/
Flat band potential of semiconductor electrodes
[J].
半导体电极的平带电位
[J].
Corrosion inhibition behavior of 1-hydroxyethylidene-1,1-diphosphonic acid on 20SiMn steel in simulated concrete pore solution containing Cl-
[J].
羟基亚乙基二膦酸对20SiMn钢在含Cl-混凝土模拟孔隙液中的缓蚀行为
[J].
The adsorption and inhibition effect of calcium lignosulfonate on Q235 carbon steel in simulated concrete pore solution
[J].
Inhibition action and adsorption behavior of sodium lignosulphonate on Q235 steel in simulated concrete solution
[J].
木质素磺酸钠在混凝土模拟孔隙液中对碳钢的缓蚀与吸附作用
[J].
Studies on adsorption thermodynamics of sodium dodecyl benzene sulfonate on brass in mud acid
[J].
土酸中十二烷基苯磺酸钠对黄铜吸附热力学研究
[J].
The synergistic inhibition effect of oleic-based imidazoline and sodium benzoate on mild steel corrosion in a CO2-saturated brine solution
[J].
Corrosion inhibition performance of lignin extract of sun flower (Tithonia Diversifolia) on medium carbon low alloy steel immersed in H2SO4 solution
[J].
Study on inhibition mechanism of environmental-friendly inhibitors for magnesium alloys
[D].
镁合金绿色缓蚀剂及其缓蚀机理研究
[D].
Corrosion inhibition efficiency of triethanolammonium dodecylbenzene sulfonate on Q235 carbon steel in simulated concrete pore solution
[J].
Adsorption and corrosion inhibition of several organic inhibitors on carbon steel in simulated concrete pore solution
[D].
模拟混凝土孔隙液中几种有机缓蚀剂在碳钢表面吸附及缓蚀行为研究
[D].
Adsorption and corrosion inhibition behavior of sodium dodecyl benzene sulfonate on AZ31 magnesium alloy
[J].
十二烷基苯磺酸钠在AZ31镁合金表面的吸附及其缓蚀作用
[J].
/
| 〈 |
|
〉 |
