超低碳奥氏体不锈钢焊接接头耐腐蚀性及环保型化学钝化工艺研究
Corrosion Resistance and Environmentally-friendly Chemical Passivation of Welded Joints for Ultra-low Carbon Austenitic Stainless Steel
通讯作者: 孙晓光,E-mail:sunx_sf@126.com,研究方向为轨道车辆的腐蚀防护与控制技术
收稿日期: 2019-05-01 修回日期: 2019-05-20 网络出版日期: 2019-08-24
| 基金资助: |
|
Corresponding authors: SUN Xiaoguang, E-mail:sunx_sf@126.com
Received: 2019-05-01 Revised: 2019-05-20 Online: 2019-08-24
| Fund supported: |
|
作者简介 About authors
孙晓光,男,1984年生,博士,高级工程师
采用不同配比柠檬酸钝化液对焊接接头进行化学钝化,借助电子背散射衍射 (EBSD) 和X射线衍射 (XRD) 对304L不锈钢手工电弧焊和氩弧焊两种焊接接头组织结构进行表征,借助电化学测试研究了焊接接头不同区域钝化后的电化学性能,通过X射线光电子能谱 (XPS) 分析了焊接接头化学钝化后表面钝化膜的成分。结果表明,焊缝区采用316L不锈钢焊丝进行填充,点蚀电位最高,母材区晶粒组织较均匀细小,耐蚀性相对较好;热影响区由于出现晶粒长大或混晶组织,点蚀电位最低。借助柠檬酸钝化液对焊接接头进行钝化,当钝化液浓度为10%,钝化时间为15 min时,点蚀电位最高,表面钝化效果最佳。
关键词:
Plates of ultra-low carbon austenitic stainless steel 304L were welded by manual arc welding and argon arc welding respectively with 316L stainless steel as filler. The welded joints were characterized by means of electron backscatter diffraction (EBSD) and X-ray diffraction (XRD). Whilst the welded joints were chemically passivated in 10% and 20% hydrogen peroxide solutions respectively, then their corrosion behavior was examined via electrochemical means and X-ray photoelectron spectroscopy (XPS). Results showed that the pitting potential of the weld zone was the highest due to the incorporation of 316L stainless steel welding wire. The corrosion resistance of the matrix was relatively good because its inherent microstructure of relatively uniform and small grains. The heat affected zone has coarse grains and/or mixed grain structure, so that its pitting potential was the lowest, correspondingly its corrosion resistance was the worst. In a word, the welded joints of austenitic stainless steel 304L had the best corrosion resistance, when they were passivated in 10% hydrogen peroxide solution for 15 min.
Keywords:
本文引用格式
孙晓光, 韩晓辉, 张星爽, 张志毅, 李刚卿, 董超芳.
SUN Xiaoguang, HAN Xiaohui, ZHANG Xingshuang, ZHANG Zhiyi, LI Gangqing, DONG Chaofang.
奥氏体不锈钢结构件在使用过程中,常采用电弧焊接进行连接,焊接接头区域表面钝化膜发生破坏,且由于不同热输入的差异,导致组织结构发生变化,所以焊接接头极易发生表面锈蚀,从而影响结构件的美观性与安全性[8,9]。因此探究奥氏体不锈钢焊接接头在海洋大气环境下的腐蚀原因,深入研究焊接接头表面防护方法及工艺尤为重要,对不锈钢在海洋工程中的安全使用和寿命评估起着相当重要的作用。传统的铬酸盐、磷酸盐和45%~55% (体积分数) 高浓度硝酸常作为不锈钢表面钝化处理剂,能够促进奥氏体不锈钢表面快速成膜,但是铬酸盐钝化液中的Cr6+释放到环境中对人体有较强致癌性,严重危害人体健康[10,11]。磷酸盐处理后排放的废水废渣会造成水体富营养化,从而影响水环境的稳定性[12,13]。高浓度硝酸钝化液中硝酸用量较多,浪费严重。随着人们对环保意识的增强,新型绿色环境友好型表面处理技术逐渐受到研究人员的青睐[14]。所以研究新型柠檬酸钝化处理以提高奥氏体不锈钢焊接接头耐蚀性具有重要的工程价值。
本文通过电子背散射衍射 (EBSD) 和X射线衍射 (XRD) 对304L奥氏体不锈钢手工电弧焊和氩弧焊两种焊接接头组织结构进行表征,借助电化学实验和盐雾实验研究了焊接接头不同区域耐蚀性差异,采用不同配比的柠檬酸钝化液对焊接接头进行化学钝化处理,通过极化曲线表征钝化后焊接接头不同区域的耐蚀性,最后通过X射线光电子能谱 (XPS) 分析了不同配比钝化液表面处理后焊接接头表面钝化膜的成分,为奥氏体不锈钢焊接接头环保型钝化提供指导。
1 实验方法
表1 304L和316L不锈钢的化学成分
Table 1
| Steel | C | Cr | Mo | Ni | Si | Mn | P | S | Fe |
|---|---|---|---|---|---|---|---|---|---|
| 304L | 0.023 | 18.6 | --- | 8.1 | 0.58 | 1.67 | 0.026 | 0.005 | Bal. |
| 316L | 0.009 | 19.25 | 2.48 | 12.50 | 0.36 | 1.57 | 0.018 | 0.005 | Bal. |
表2 304L不锈钢的焊接参数
Table 2
| Layer No. | Weld method | Welding material | Size | Current A | Interpass temp. / ℃ |
|---|---|---|---|---|---|
| 1 | HD | E316L-16 | Φ3.2 | 72 | 17 |
| 2 | HD | E316L-16 | Φ3.2 | 103 | 67 |
| 3 | HD | E316L-16 | Φ3.2 | 103 | 65 |
| 4 | HD | E316L-16 | Φ3.2 | 100 | 80 |
图1
沿焊接接头部位取样,机械抛光后,在80% (质量分数) 高氯酸+20%酒精配置的溶液中,用20 V电压电解侵蚀16 s,最后用酒精洗净并干燥。借助EBSD (AZtecHKLH EBSD) 对焊接接头基体 (BM)、热影响区 (HAZ) 和焊缝区 (WM) 进行组织形貌观察,焊接接头相分布通过XRD (SmartLab) 进行分析。盐雾实验按照GB/T 10125-1997中性盐雾实验标准在盐雾试验箱内进行,实验溶液为5% (质量分数) NaCl,实验温度为35 ℃。
配置绿色环保型钝化液,柠檬酸为3% (质量分数),双氧水含量分别为10%和20%,无水乙醇为双氧水的2倍。将两种焊接接头在10%和20%钝化液中分别钝化不同时间 (15,30和45 min)。电化学测试使用Modulab XM电化学工作站,采用传统三电极体系,饱和甘汞电极为参比电极,Pt片为阴极,焊接接头试样为工作电极;测试溶液为3.5% (质量分数) NaCl溶液,室温;开路30 min体系稳定后,测试极化曲线,扫描速率为0.1667 mV/s。借助XPS (PHI Quantera SXM) 研究不同浓度环保型钝化液钝化后焊接接头钝化膜的组成。XPS采用单色AlKα辐射源和半球形电子分析仪,操作能量为55 eV,使用标准峰 (C1s,285.0 eV) 对所有元素峰进行校正,最后使用XPS PEAK软件对实验结果进行拟合。
2 结果与讨论
2.1 奥氏体不锈钢焊接接头组织
图2
图2
304L不锈钢手工电弧焊和氩弧焊的EBSD结果
Fig.2
EBSD images of welded joints of 304L stainless steel after welding by 304L-HD (a) and 304L-HWS (b)
图3为焊接接头的XRD谱。可知,两种焊接工艺的焊缝区均由γ-Fe相和δ-Fe相组成,未生成有害相。氩弧焊由于热输入较大,组织中δ-Fe相峰值更明显。
图3
图3
304L不锈钢手工电弧焊和氩弧焊的XRD谱
Fig.3
XRD spectra of welded joints of 304L stainless steel after two different welding processes
2.2 奥氏体不锈钢焊接接头耐蚀性能
图4
图4
304L不锈钢手工电弧焊和氩弧焊焊接接头的极化曲线
Fig.4
Potentiodynamic polarization curves of welded joints of 304L stainless steel after welding by 304L-HD (a) and 304L-HWS (b)
由图4b可以看出,304L奥氏体不锈钢采用氩弧焊后热输入较大,冷却速率较慢,所以焊缝区域相稳定性较差,焊缝区域出现混晶组织,晶粒尺寸相对不均匀,所以焊缝区域点蚀电位低于手工电弧焊的;热影响区由于出现柱状晶组织,晶粒尺寸相对较大,耐蚀性较差。
图5为手工电弧焊和氩弧焊焊接接头经钢丝刷打磨后置于盐雾箱1 d后的腐蚀形貌。可知,手工电弧焊腐蚀较为轻微,主要在划痕处出现浮锈,热影响区腐蚀较为严重;氩弧焊后腐蚀较为严重,打磨划痕处出现明显的锈蚀现象,基体与热影响区腐蚀较为严重,局部出现微弱的腐蚀坑。
图5
图5
304L不锈钢经不同焊接工艺焊接后接头盐雾实验1 d后的腐蚀形貌
Fig.5
Corrosion morphologies of welded joints of 304L stainless steel after salt spray test for 1 d: (a) BM (HD), (b) WZ (HD), (c) HAZ (HD), (d) BM (HWS), (e) WZ (HWS), (f) HAZ (HWS)
2.3 奥氏体不锈钢焊接接头化学钝化
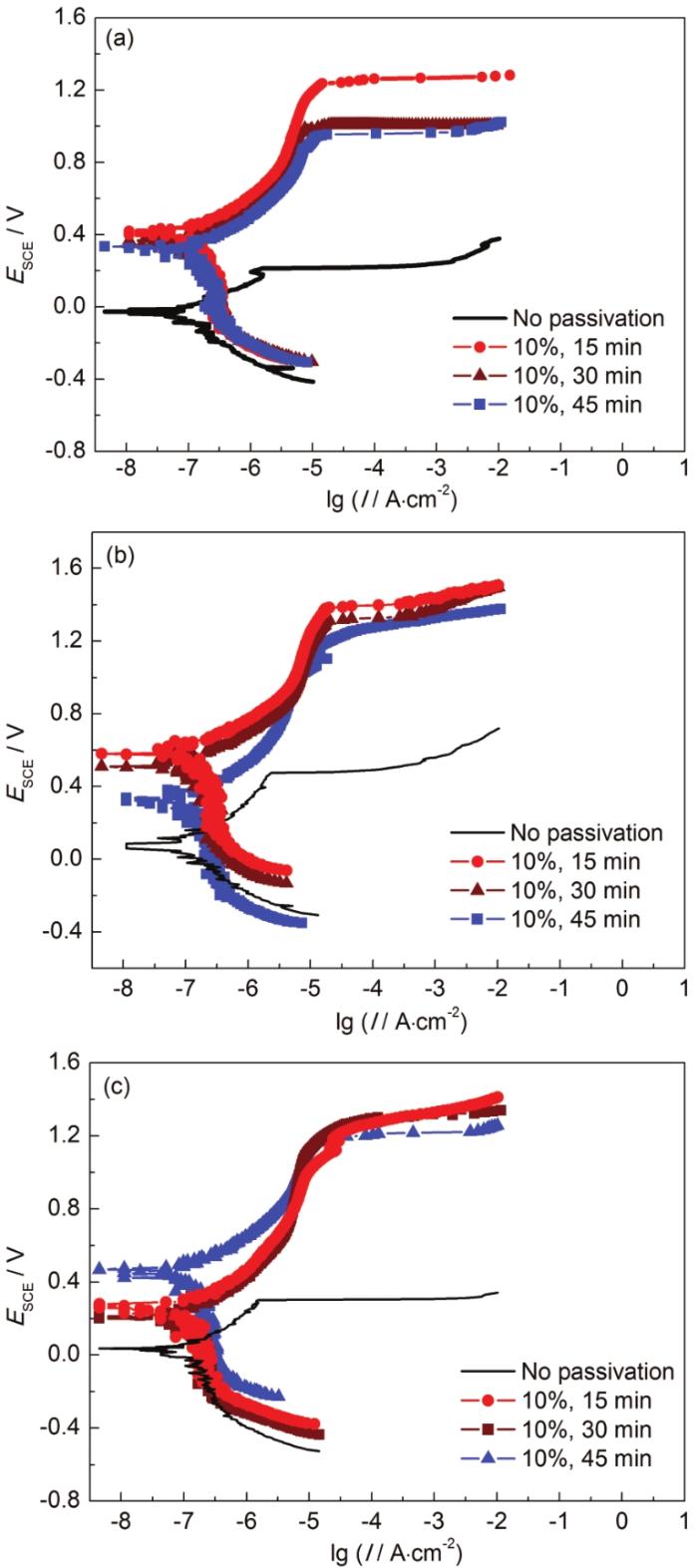
图6
图6
304L-HD不锈钢接头在柠檬酸中钝化后的动态极化曲线
Fig.6
Potentiodynamic polarization curves of the matrix (a), weld zone (b) and heat affected zone (c) of 304L stainless steel after manual arc welding and then chemical passivation
图7
图7
304L-HD不锈钢焊接接头区经柠檬酸钝化后的点蚀电位
Fig.7
Pit potentials of the matrix (BM), weld zone (WZ) and heat affected zone (HAZ) of HD welded joint of 304L stainless steel after chemical passivation
图8
图8
304L-HWS不锈钢接头在柠檬酸中钝化后的动态极化曲线
Fig.8
Potentiodynamic polarization curves of the matrix (a), weld zone (b) and heat affected zone (c) of 304L stainless steel after HWS welding and then chemical passivation
图9
图9
304L-HWS不锈钢焊接接头区经柠檬酸钝化后的点蚀电位
Fig.9
Pit potentials of the matrix, weld zone and heat affected zone of HWS welded joint 304L stainless steel after chemical passivation
根据金属钝化理论,双氧水在金属钝化过程中调节金属表面的极化电位,将金属表面的极化点位控制在稳定钝化区,从而实现金属的钝化。相反,双氧水含量过高的话,电位继续移动,金属的极化电位将越过点蚀电位,这时金属表面将越过钝化状态,进入过钝化状态,此时金属将生成高价离子,会导致金属钝化膜的破坏[22,23,24]。对于304L不锈钢焊接接头,经10%双氧水钝化后,点蚀电位最高,焊接接头表面形成一层致密的钝化膜,阻碍金属的溶解,覆盖了电极表面,溶液和金属的接触面积大为缩小,腐蚀速率大大降低。增大氧化剂的浓度,使得金属表面附近溶液中的金属离子浓度降低,在一定程度上减弱阳极电化学极化,使得钝化了的金属重新处于活化状态。因此,10%双氧水中钝化效果相对较好。
2.4 焊接接头XPS分析
为了考察钝化液中双氧水比例对焊接接头钝化膜成分的影响,采用XPS对手工电弧焊焊接接头经不同配比钝化液处理后的表面钝化膜成分进行了分析。图10和11分别为经10%和20%双氧水钝化处理后表面钝化膜中Cr,Fe和O的全、窄幅扫描谱处理结果。对应结合能576.88和579.18 eV的峰,应为Cr2O3和Cr(OH)3,Cr2O3和Cr(OH)3有利于形成稳定的氧化物钝化膜,提高不锈钢的耐蚀性。对应结合能为574.11 eV的峰,应为Cr的原子形态,说明试样表面Cr并未完全氧化成膜。针对Fe2p峰,对应结合能为716.55 eV的峰,应为FeOOH;对应结合能为 711.07 eV的峰,应为Fe2O3;对应结合能为706.98 eV的峰,应为Fe的原子形态。711.07 eV处的峰最强,可知钝化膜中Fe以Fe2O3存在形态为主。对O1s峰分析得到两个拟合峰,其中对应结合能为532.00 eV的峰应为M-OH的形态,相应的化合物有Cr(OH)3,CrOOH和FeOOH等;对应结合能为530.51 eV的峰,应为M-O的形态,相应的化合物有Cr2O3,Fe3O4和Fe2O3等。试样表面钝化膜中O以532.00 eV处的峰最强,说明钝化膜内的O以M-OH的存在形态为主[25,26]。经20%双氧水钝化后,M-OH峰值减弱,耐蚀性较差。
图10
图10
经10%双氧水钝化后的304L不锈钢的XPS结果
Fig.10
XPS full spectrum and fine spectra of Cr 2p3/2 (a), Fe 2p3/2 (b) and O 2p (c) for the surface film form-ed on 304L stainless steel after chemical passivati-on in the solution containing 10%H2O2
图11
图11
经20%双氧水钝化的304L不锈钢试样的XPS结果
Fig.11
XPS full spectrum and fine spectra of Cr 2p3/2 (a), Fe 2p3/2 (b) and O 2p (c) for the surface film formed on 304L stainless steel after chemical passivation in the solution containing 20%H2O2
由试样钝化后的XPS全谱和Cr,Fe和O的精细谱分析可知,试样表面钝化膜中主要有CrOOH,Cr(OH)3,Cr2O3,FeOOH,Fe3O4和Fe2O3形态化合物,其中Fe以Fe2O3存在形态为主。由Fe和Cr的氧化物和氢氧化物组成的钝化膜有效提高了试样表面的耐蚀性。此外,存在少量原子形态的Cr和Fe,构成了钝化膜的局部缺陷。
3 结论
(1) 手工电弧焊焊接接头晶粒尺寸相对较小,在模拟海洋大气环境下腐蚀较为轻微,耐蚀性较好;对于同一种焊接接头,焊缝材料为316L不锈钢时,合金元素含量较高,耐蚀性较好。由于热输入导致热影响区晶粒尺寸增大,所以耐蚀性强弱顺序为:焊缝>母材>热影响区。
(2) 当柠檬酸含量为3%,双氧水含量为10%,钝化时间为15 min时,焊接接头不同区域均具有更高的点蚀电位,钝化膜耐蚀性较好,钝化效果较为明显。
