阴极面积对3.5%NaCl溶液中304不锈钢稳态点蚀生长速率的影响
Effect of Cathode Area on Stable Pitting Growth Rate of 304 Stainless Steel in 3.5%NaCl Solution
通讯作者: 杜楠,E-mail:d_nan@sina.com,研究方向为材料的腐蚀与防护
收稿日期: 2017-11-13 修回日期: 2017-12-19 网络出版日期: 2019-01-03
| 基金资助: |
|
Corresponding authors: DU Nan, E-mail:d_unan@sina.com
Received: 2017-11-13 Revised: 2017-12-19 Online: 2019-01-03
| Fund supported: |
|
作者简介 About authors
张思齐,男,1992年生,硕士生
采用浸泡实验、动电位极化、电化学阻抗谱和三维视频显微技术研究了阴极面积对3.5% (质量分数) NaCl溶液中304不锈钢稳态点蚀生长速率的影响,模拟了稳态点蚀的生长方式。结果表明,当NaCl溶液中的外加阴极存在时,由于外加阴极的耗氧反应,阳极电位升高,导致金属溶解速率加快。在阴阳极面积比小于64时,阳极溶解速率随着外加阴极面积的增加而增加;在阴阳极面积比达到并超过64时,阳极腐蚀速率增量趋于平缓,约为无外加阴极时的2.2倍。外加阴极存在时,FeCl3溶液中的析氢反应速率也得到提升。当304不锈钢在3.5%NaCl溶液中自然产生点蚀时,蚀孔外阴极可提高蚀孔底部金属的溶解速率。
关键词:
The effect of cathode area on stable pitting grows of 304 stainless steel in 3.5% (mass fraction) NaCl solution was investigated by means of immersion test, electrochemical impendence spectroscope (EIS), potentiodynamic polarization and three-dimensional video microscope. The growth of stable pitting was then simulated. The results showed that when an impressed cathode was present in the solution, the dissolution rate of anode was dramatically enhanced: as the area radio of cathode to anode enlarged from 1 to 64, the corrosion increased, however, when the radio reached 64 and above, the corrosion rate tended to be stable. At this time the current density is 2.2 times of that without additional cathode. With the presence of an impressed cathode,the rate of hydrogen evolution reaction could increase in FeCl3solution. The presence of an impressed cathode could also increase the anodic dissolution rate of the bottom of a naturally grown pit on 304 stainless in 3.5%NaCl solution according to the results of simulated experiment.
Keywords:
本文引用格式
张思齐, 杜楠, 王梅丰, 王帅星, 赵晴.
ZHANG Siqi, DU Nan, WANG Meifeng, WANG Shuaixing, ZHAO Qing.
1 实验方法
1.1 实验材料
实验材料为304奥氏体不锈钢,其主要化学成分 (质量分数,%) 为:C 0.035,Si 0.52,Mn 1.18,P 0.036,S 0.026,Cr 17.59,Ni 8.03,Fe余量。热处理工艺为:1060 ℃保温0.5 h,水冷;650 ℃保温2 h,空冷,以提高试样的点蚀敏感性[14]。阳极电极为直径10 mm的圆片,阴极电极为工作面积为阳极电极工作面积1,2,4,8,16,32,64,128和256倍的方片。阴极和阳极面积比表示为Sc∶Sa。电极焊接导线后用环氧树脂镶嵌,非工作面采用环氧树脂封装。试样工作面经400~2000号的Al2O3水砂纸打磨后,依次用酒精、丙酮超声清洗,然后经去离子水清洗、吹干。
1.2 实验装置
蚀孔外部环境模拟溶液为3.5%NaCl (C电解池) 溶液。溶液采用蒸馏水与分析纯NaCl配制而成,未经除氧处理。当304不锈钢在NaCl溶液中产生稳态点蚀时,蚀孔底部金属离子不断溶解,为了维持蚀孔底部溶液的电中性,Cl-不断迁入蚀孔内,进而提高了H+的活性,使得H+消耗电子速率增加,进一步使得蚀孔底部金属溶解速率增加。Ryan等[15]认为封闭的蚀孔内pH值小于0,大量H+和Cl-的存在降低了金属离子由晶格进入溶液的能垒,加速了溶解,孔内溶液富含Cl-使得蚀孔内部无法钝化,大量Cl-和金属离子使孔内溶液黏度增大,阻碍了离子从孔底向孔口的扩散,因此蚀孔底部为高浓度的金属氯化物。
为了便于研究不锈钢点蚀机理,减少其他因素影响,选用FeCl3溶液作为蚀孔模拟液,当FeCl3浓度超过3 mol/L后,304不锈钢在FeCl3中的腐蚀类型为均匀腐蚀,且腐蚀速率基本不变[11],可视为单一阳极,因此选用3 mol/L的FeCl3溶液作为稳态蚀孔的模拟液 (B电解池)。
图1为模拟稳态蚀孔生长实验装置示意图,将两个电极通过导线连接,使阳极与外加阴极处于相同电势,阳极会在FeCl3溶液 (B电解池) 中发生溶解产生大量电子,由于金属的等电势,电子可以通过导线到达位于NaCl溶液 (C电解池) 中的304不锈钢表面。位于3.0 mol/L FeCl3溶液中的不锈钢模拟不断发生溶解的蚀孔孔底,外加的阴极用以模拟处于NaCl溶液中的试样表面,通过此装置可以研究当发生稳态点蚀时,处在NaCl溶液中的阴极对于稳态蚀孔生长速度的影响。
图1
浸泡实验试样由导线焊接在一起的两个直径为10 mm的304不锈钢圆片电极组成。实验时,将两个电极分别浸入FeCl3溶液和NaCl溶液,用盐桥将FeCl3溶液与NaCl溶液相连接。对比组为浸泡在FeCl3溶液中的10 mm 304不锈钢圆片电极。间隔等长时间后,对两组试样进行称重。浸泡实验均在25 ℃恒温下进行。
1.3 测试方法
利用Autolab PGSTAT 302N电化学工作站进行动电位极化曲线和电化学阻抗谱 (EIS) 测试。为屏蔽外界信号干扰,实验均在屏蔽箱中进行。进行电化学测试前,试样先在-1.3 V下进行阴极极化5 min,以去除电极表面钝化膜,再在3.5%NaCl溶液中浸泡3 h,以使电极表面生成稳定的钝化膜。电化学测试在FeCl3溶液中 (B电解池) 中进行,待试样的开路电位稳定后测量动电位极化曲线,扫描区间为-0.5~0.1 V,扫描速率为5 mV/s,结果取5次测量的平均值。测量结束后,电极在酒精中超声波清洗。用 KH-7700型三维视频显微镜观察腐蚀形貌。EIS在开路电位下测量,扫描频率为105~10-2Hz,交流激励信号幅值为10 mV,测量结果用ZSimpWin软件进行分析。
辅助电极 (CE) 为Pt电极,参比电极 (RE) 为饱和甘汞电极。实验时用盐桥分别将A电解池和B电解池、B电解池和C电解池相连接,EIS和动电位极化测试温度均为25 ℃。
2 结果与讨论
2.1 浸泡实验
图2为试样在3.0 mol/L FeCl3溶液中,浸泡1,2,3和4 d时外加和没有外加等面积阴极时的失重数据。可见,存在外加阴极时,试样失重量增加,说明在添加了与阳极面积相同的阴极后,阳极溶解速率增加。当浸泡时间为1~4 d时,阳极溶解速率的增幅约为未添加阴极时的1.07~1.15倍。
图2
图2
304不锈钢试样浸泡在3.0 mol/L FeCl3溶液中不同时间的失重曲线
Fig.2
Mass loss curves of 304 stainless steel in 3.0 mol/L FeCl3solution under the conditions with and with-out additional cathode possessing the same area as the anode
2.2 极化曲线
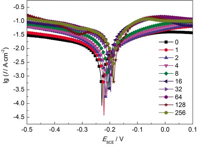
图3
图3
不同阴阳极面积比的304不锈钢电极在FeCl3溶液中的极化曲线
Fig.3
Potentiodynamic polarization curves of 304 stain-less steel in FeCl3solution under the conditions of differentSc:Savalues
表1 不同阴阳极面积比条件下极化曲线拟合参数值
Table 1
| Sc:Sa | Ecorr/ mV | Icorr/ mA∙cm-2 |
|---|---|---|
| 0 | -230 | 15.06 |
| 1 | -220 | 18.63 |
| 2 | -217 | 19.34 |
| 4 | -213 | 23.63 |
| 8 | -208 | 23.68 |
| 16 | -202 | 25.31 |
| 32 | -195 | 19.35 |
| 64 | -190 | 33.63 |
| 128 | -189 | 33.00 |
| 256 | -190 | 34.98 |
在FeCl3溶液中,阳极发生金属的溶解,反应为
在同样的外部条件下,氧在FeCl3溶液中的扩散速率要小于氧在水中的扩散速率。由式 (4) 可得3 mol/L的FeCl3溶液中氧的极限扩散电流密度应低于0.023 mA/cm2,远小于此时的自腐蚀电流密度。因此,判断304不锈钢单独处于3 mol/L FeCl3溶液中的阴极反应主要为氢还原反应,氧还原反应所占比例远小于氢还原占比。
阴极主要为析氢反应,如下式所示:
而随着反应的进行,阳极继续发生溶解,反应造成的负电荷积累,此时反应的控制步骤为FeCl3溶液中氢的去极化反应。由于阴极反应消耗负电荷的能力有限,使得阳极溶解速率无法继续增加。因此,当外加阴极存在时,该侧电极为耗氧反应提供了发生场所,如下式所示:
图4为不同阴阳极面积比下,FeCl3溶液中304不锈钢的开路电位变化曲线。可知,发生在NaCl溶液一侧的耗氧反应消耗了部分由于金属溶解产生的电子,使阴极反应总量增大,导致FeCl3溶液一侧的腐蚀电位正移。同样,当阴极面积为阳极面积的1~64倍时,随着阴极面积的增大,耗氧反应发生的面积增大,耗氧反应消耗的电子增多,阴极反应总量继续加大,因此使得FeCl3一侧的腐蚀电位继续向正向移动。当阴阳极面积比为64~256时,NaCl溶液一侧的耗氧反应达到最大值,即使持续增大阴极面积,NaCl溶液一侧耗氧反应的总量也不再继续增加,因此腐蚀电位保持稳定。
图4
图4
阴阳极面积比对FeCl3溶液中304不锈钢开路电位的影响
Fig.4
Effect ofSc:Savalue on OCP of 304 stainless steel in FeCl3solution
图5为自腐蚀电流密度随阴阳极面积比的变化曲线。可知,304不锈钢同时处于3.0 mol/L FeCl3溶液和3.5%NaCl溶液中,随着阴阳极面积比的增大,自腐蚀电流密度先增大再保持平稳。当阴阳极面积比为0~64时,自腐蚀电流密度与阴阳极面积比之间呈正相关,此时NaCl溶液一侧阴极发生吸氧反应,随着NaCl溶液一侧电极面积的增大,吸氧反应的总量增加,使得阴极去极化的总量提升,导致电子的迁移速率也增加,因此金属溶解的速度加快,自腐蚀电流密度增大。当阴阳极面积比为64~256时,随着NaCl溶液一侧电极面积的增大,FeCl3溶液一侧和NaCl溶液一侧的反应达到动态平衡,电子的迁移速率保持不变,因此FeCl3溶液一侧金属的腐蚀速率保持不变,自腐蚀电流密度保持平稳,此时自腐蚀电流密度约为未外加阴极时的2.2倍。在真实的蚀孔生长过程中,由于蚀孔的几何尺寸较小,外部阴极面积与蚀孔内的阳极溶解面积的比值要远大于64倍[17]。304不锈钢在3.5%NaCl溶液中发生自然点蚀时,外加阴极可以对阳极的溶解速率提供加速作用。根据本模拟实验结果所得,该加速作用约为2.2倍。
图5
图5
阴阳极面积比对FeCl3溶液中304不锈钢自腐蚀电流密度的影响
Fig.5
Effect ofSc:Savalue on corrosion current density of 304 stainless steel in FeCl3solution
NaCl溶液中(C电解池)氧浓度为3 mg/L。由于NaCl浓度较低,因此NaCl溶液中氧的扩散系数采用水溶液中氧的扩散系数,根据下式对NaCl溶液中氧的极限扩散电流密度进行近似计算,结果见表2。
可见,当阴阳极面积比小于64倍时,单纯由吸氧腐蚀消耗电子提供的电流增量较小。对比表1电流密度的实际增量可以得出,当阴阳极面积比在64倍以内时,由外加阴极的吸氧反应造成的电流增量远小于实际电流增量,且当阴极面积为阳极面积的64倍时,阳极实际溶解速率不再继续增加。可以得出,当外加阴极后,FeCl3一侧的析氢反应的总量也随着阴阳极面积比的增加而增加,且金属溶解产生的电子主要由FeCl3一侧的析氢反应消耗。原因是,当外加阴极后,由于外加阴极上耗氧反应消耗电子,导致FeCl3中阳极电极电位升高,使得如式 (1)~(3) 所示的金属溶解反应速率加快,而溶解产生的金属离子又发生了如式 (8)~(10) 所示的水解反应,金属离子的浓度增加,水解产生的H+就越多,产生自催化反应,加速了FeCl3溶液中的析氢反应速率,使得阴极反应总量增大,从而导致金属溶解速率大大增加。
图6为-0.5~0.1 V动电位极化后304不锈钢电极的宏观与微观腐蚀形貌照片。可知,动电位极化后,电极表面平整,未观察到局部腐蚀,外加阴极前后腐蚀类型均为全面腐蚀,这与304不锈钢在3 mol/L FeCl3溶液中腐蚀状态相吻合。外加阴极加速了腐蚀的进行,但并未改变位于FeCl3溶液中阳极的腐蚀类型;随着阴极面积的增加,阳极的腐蚀类型仍未发生改变。
表2 外加不同面积阴极后理论极限电流密度增量
Table 2
| Sc:Sa | Sc/ cm2 | I/ mA∙cm-2 |
|---|---|---|
| 0 | 0.00 | 0.00 |
| 1 | 0.78 | 0.13 |
| 2 | 1.57 | 0.27 |
| 4 | 3.14 | 0.56 |
| 8 | 6.28 | 1.12 |
| 16 | 12.56 | 0.24 |
| 32 | 25.12 | 4.47 |
| 64 | 20.24 | 8.94 |
| 128 | 100.48 | 17.89 |
| 256 | 200.96 | 35.73 |
图6
图6
不同阴阳极面积比下动电位极化后阳极腐蚀形貌
Fig.6
Surface morphologies of the 304 sainless steel anode before and after potentiodynamic polarization under different conditions: (a, e) no polarization, (b, f) polarization/no additional cathode, (c, g) polarization/Sc:Sa=1, (d, h) polarization/Sc:Sa=64
2.3 电化学阻抗谱
图7
图7
不同阴阳极面积比下304不锈钢在FeCl3溶液中的电化学阻抗谱
Fig.7
Nyquist plots of 304 stainless steel in FeCl3solution under the conditions of variousSc:Savalues
当外加阴极面积超过64倍时,显示扩散特性的Warburg阻抗消失,可以认为此时外加阴极面积足够大,为耗氧反应提供足够的发生场所,因此氧的扩散不再是整体反应的控制步骤,推断此时阴阳极反应达到平衡。
图8
图8
不同阴阳极面积比的电化学阻抗谱等效电路图
Fig.8
Equivanlent circuits of EIS under the different cond-itions: (a)Sc:Sa=0, 64, 128, 256; (b)Sc:Sa=2, 4, 8, 16, 32
表3 不同阴阳极面积比下的电化学阻抗谱拟合数据
Table 3
| Sc:Sa | Rsol/ Ω | Cdl/ μF | Rct/ Ω | R1/ Ω | n | L/ H | Q/ μF |
|---|---|---|---|---|---|---|---|
| 0 | 0.3932 | 0.0005 | 4.776 | 3.186 | --- | 0.1956 | --- |
| 1 | 0.4010 | 0.0031 | 4.597 | 0.647 | 0.7729 | --- | 0.143 |
| 2 | 0.4337 | 0.0011 | 3.305 | 1.057 | 0.8859 | --- | 0.097 |
| 4 | 0.4190 | 0.0012 | 2.154 | 1.080 | 0.9852 | --- | 0.243 |
| 8 | 0.4136 | 0.0052 | 1.838 | 0.444 | 0.9087 | --- | 0.555 |
| 16 | 0.4200 | 0.0258 | 1.339 | 0.235 | 0.8229 | --- | 1.251 |
| 32 | 0.4027 | 1.0050 | 0.964 | 0.391 | 0.9896 | --- | 4.786 |
| 64 | 0.4142 | 0.0047 | 0.623 | 0.402 | --- | 0.0129 | --- |
| 128 | 0.4002 | 0.0077 | 0.608 | 0.396 | --- | 0.0228 | --- |
| 256 | 0.4215 | 0.0096 | 0.620 | 0.337 | --- | 0.0206 | --- |
3 结论
(1) 当外加阴极面积为阳极面积的1~64倍时,阳极溶解速率随着外加阴极面积的增加而增加,在外加阴极面积达到阳极面积的64倍时,阳极溶解速率达到最大,为未外加阴极时的2.2倍;当外加阴极面积超过阳极面积的64倍后,阳极溶解速率趋于平稳。304不锈钢在3.5%NaCl溶液中发生点蚀时,外加阴极对阳极的溶解速率起到加速作用。
(2) 外加阴极存在时,由于外加阴极在NaCl溶液中发生吸氧反应,消耗电子,导致电位升高,此时304不锈钢在3 mol/L FeCl3溶液中溶解速率加快,且FeCl3溶液中析氢反应消耗电子总量也大幅增加,外加阴极对稳态蚀孔生长加速作用的本质是对蚀孔内阳极的阳极极化。
