中国腐蚀与防护学报(中文版)  2018 , 38 (4): 381-390 https://doi.org/10.11902/1005.4537.2017.053

研究报告

分子动力学模拟水溶液中席夫碱基表面活性剂在Zn表面的吸附行为

刘峥, 李海莹, 王浩, 赵永, 谢思维, 张淑芬

桂林理工大学化学与生物工程学院 广西电磁化学功能物质重点实验室 桂林 541004

Molecular Dynamics Simulation of Adsorption Behavior of Schiff Base Surfactants on Zn Surface in Aqueous Solution

LIU Zheng, LI Haiying, WANG Hao, ZHAO Yong, XIE Siwei, ZHANG Shufen

Guangxi Key Laboratory of Electrochemical and Magneto-chemical Functional Materials, College of Chemical and Biological Engineering, Guilin University of Technology, Guilin 541004, China

中图分类号:  O643.12

文章编号:  1005-4537(2018)04-0381-10

通讯作者:  通讯作者 刘峥,E-mail:Lisa4.6@163.com,研究方向为应用有机合成

收稿日期: 2017-04-13

网络出版日期:  2018-08-20

版权声明:  2018 《中国腐蚀与防护学报》编辑部 《中国腐蚀与防护学报》编辑部

基金资助:  国家自然科学基金 (21266006),广西省自然科学基金 (2016GXNSFAA380109) 和广西特聘专家专项经费(NO2401007012)

作者简介:

作者简介 刘峥,女,1962年生,教授

展开

摘要

合成了3种聚乙二醇 (400) 月桂酸单酯席夫碱基表面活性剂 (M1,M2和M3),并进行了结构表征。采用分子动力学模拟研究了M1,M2和M3在Zn表面的吸附行为和席夫碱基表面活性剂分子中基团对吸附性能的影响,探讨了其吸附机理。利用失重法、电化学阻抗谱和SEM研究了3种表面活性剂对碱性Zn电极的缓蚀性能。结果表明,M3的缓蚀性能最好,当其浓度达到1.0 mmol/L时,缓蚀率达92%。席夫碱基表面活性剂分子基本平行吸附在Zn表面,形成致密吸附分子膜。3种表面活性剂分子吸附能大小依次为:M3>M2>M1,吸附速率顺序为:M3>M2>M1;相比于M2和M1,M3对碱性Zn电极具有更好的缓蚀性能。

关键词: 表面活性剂 ; 吸附行为 ; 分子动力学模拟 ; Zn表面 ; 缓蚀性能

Abstract

Three polyethylene glycol (400) lauric acid monoester Schiff base surfactants (M1, M2 and M3) were synthesized and characterized. The adsorption behavior and the effect of the group of surfactant molecules on the adsorption properties about M1, M2, M3 on the metal Zn surface were investigated by means of molecular dynamics simulation method. While the corrosion inhibition performance of the three surfactants on alkaline Zn-electrode was assessed by means of mass loss method, electrochemical impedance spectroscopy and scanning electron microscopy. It showed that M3 exhibited the best corrosion inhibition, and the corrosion inhibition efficiency was 92% when the concentration reached 1.0 mmol/L. The Schiff base surfactant molecules adsorbed on Zn surface parallelly to form a dense molecular adsorption film. What's more, the ranking of the adsorption energy of the three surfactants was M3>M2>M1, and that of the adsorption rate was M3>M2>M1. M3 had better corrosion inhibition performance for alkaline zinc electrode, and had better inhibition effect on zinc dendrite.

Keywords: surfactant ; adsorption behavior ; molecular dynamics simulation ; zinc surface ; corrosion inhibition performance

0

PDF (5322KB) 元数据 多维度评价 相关文章 收藏文章

本文引用格式 导出 EndNote Ris Bibtex

刘峥, 李海莹, 王浩, 赵永, 谢思维, 张淑芬. 分子动力学模拟水溶液中席夫碱基表面活性剂在Zn表面的吸附行为[J]. 中国腐蚀与防护学报(中文版), 2018, 38(4): 381-390 https://doi.org/10.11902/1005.4537.2017.053

LIU Zheng, LI Haiying, WANG Hao, ZHAO Yong, XIE Siwei, ZHANG Shufen. Molecular Dynamics Simulation of Adsorption Behavior of Schiff Base Surfactants on Zn Surface in Aqueous Solution[J]. Journal of Chinese Society for Corrosion and Protection, 2018, 38(4): 381-390 https://doi.org/10.11902/1005.4537.2017.053

缓蚀剂作为一种经济、高效、便捷的防腐蚀方法,在金属保护工程中已成为研究的热点。随着计算机技术的飞速发展,通过量子化学方法,科研人员能更好地处理当今化学、材料工业中的许多重要问题[1,2,3,4]。对于不同类型的缓蚀剂,其缓蚀机理千差万别。目前,Material Studio软件成为了研究缓蚀机理的重要手段[5,6,7,8,9]。通过分子动力学模拟的计算结果,可揭示缓蚀添加剂分子在金属表面上的物理和化学吸附行为,解释缓蚀剂分子在金属表面上的吸附、成键和形成膜的微观过程[10,11],探讨缓蚀剂的结构和功效之间的关系,可为缓蚀机理奠定良好的理论基础[12,13],这对设计开发性能更优异的缓蚀剂具有重要意义。Obot等[14]利用分子动力学模拟方法,研究了2-巯基苯并咪唑对Fe,Cu和Al的缓蚀作用,结果表明2-巯基苯并咪唑 (2-巯基苯并咪唑硫酮) 在金属表面的结合能大小排序为:Fe(110)>Cu(111)>Al(111),对碳钢的缓蚀性能要比对Al和Cu的好。Wang等[15]利用分子动力学模拟方法深入研究了尿嘧啶及其衍生物作为缓蚀剂对Cu的腐蚀抑制作用,结果表明所研究的缓蚀剂吸附强度和抑制效率之间没有直接的关系。刘洁等[16]利用分子动力学模拟方法研究了3,5-二溴水杨醛-2-噻吩甲酰肼对碳钢的缓蚀效果,表明3,5-二溴水杨醛-2-噻吩甲酰肼分子平行吸附在碳钢表面,且在碳钢表面形成的分子吸附膜可以有效抑制Cl-、H3O+等离子的扩散,防止腐蚀介质接触到金属表面。曾建平[17]利用分子动力学模拟方法研究了无磷缓蚀剂在碳钢和Cu表面的缓蚀作用,指出聚合物缓蚀剂分子与Fe晶面优先结合,抑制了腐蚀介质与碳钢的接触,从而起到缓蚀作用;而苯并三氮唑及其衍生物型无磷缓蚀剂在Cu表面的缓蚀机理是带负电的功能团与带正电的Cu2+之间具有较强的Coulomb力,产生的吸附行为阻止了腐蚀介质与Cu的相互作用。

Zn电极具有比能量高、来源广、成本低及无污染等优点,但碱性Zn电极在充放电过程中会出现自腐蚀、枝晶、形变和钝化等问题[18,19]。自腐蚀是Zn电极在碱性溶液中腐蚀微电池作用的结果;Zn电极在充放电过程中,产生锌酸盐不在Zn电极上沉积,而是在隔膜上进行沉积,形成枝晶;电池充放电过程中,活性物质在电极表面的重新分布,造成Zn电极形变;在高阳极极化作用下,Zn电极的表面形成了致密的ZnO层,使Zn电极钝化。自腐蚀、枝晶、形变和钝化现象极大的影响了碱性Zn电极的电化学性能。碱性Zn电极传统的缓蚀添加剂为金属Hg,由于Hg的剧毒,促使人们不断开发新的缓蚀添加剂。表面活性剂作为缓蚀剂应用于碱性Zn电池中已经有文献报道,国内科研人员在合成用于碱性锌电极缓蚀的双子表面活性剂方面,取得了令人注目的成果[20,21]

席夫碱类化合物容易与金属表面原子形成很强的配位键,易在金属表面吸附。表面活性剂具有低临界胶束浓度、高表面活性、强增粘性、生物安全性等特点,无论在水溶液体系还是在有机溶液体系中均具有良好的溶解性,长碳链的结构具有优良的疏水性,特别是对于双子表面活性剂是利用联接基团将两个亲水基和疏水基连接,这样会降低两极性间的静电相互排斥力和水化层间的相互作用力,导致具有低临界胶束浓度 (CMC) 特性、易在界面吸附、具有优良的润湿性,提高了表面活性剂在Zn电极表面的吸附性能。本文将席夫碱功能团引入表面活性剂中,合成了3种聚乙二醇月桂酸单酯席夫碱基表面活性剂 (M1,M2和M3)。3种表面活性剂分子中都含有N和O等杂原子,其孤对电子可以与金属的空轨道形成配位键,从而更好地吸附在Zn的表面,形成一层保护膜。利用电化学阻抗谱 (EIS) 和扫描电子显微镜 (SEM) 研究其对碱性Zn电极电化学性能的影响,分析M1,M2和M3抑制Zn电极腐蚀的能力[12]。利用Material Studio 5.5软件重点研究其在水溶液中Zn表面的吸附行为,以及吸附机理[13]。同时,通过分子结构变化和特征基团与Zn表面距离变化,探讨表面活性剂在Zn表面的吸附行为,并将理论分析结果与实验结果对比,从而为该类席夫碱基表面活性剂的结构设计提供参考。

1 实验与理论计算

1.1 席夫碱基表面活性剂的合成及表征

以对甲酰基苯甲酸、聚乙二醇 (400) 月桂酸单酯为原料,4-二甲氨基吡啶 (DMAP)、二环己基碳二亚胺为 (DCC) 催化剂,合成对羧基苯甲醛聚乙二醇 (400) 月桂酸单酯,然后分别与苯肼、4-硝基苯肼和2,4-二硝基苯肼反应,合成3种聚乙二醇 (400) 月桂酸单酯席夫碱基表面活性剂 (分别记为M1,M2和M3)。M1 1H NMR(500 MHz,CDCl3,δ):0.76(—CH3),1.24(—(CH2)10—),2.25(—CH2—CH2COO—),3.60(—(CH2—CH2—O)n—),4.20(—OOC—CH2—),4.43(—COO—CH2—),7.20(Ar),8.10(Ar),7.72~7.62 (Ar),8.00(Ar),7.83~7.78(—CH=N—),9.00(—N-H);IR(KBr,ν):1733.13 cm-1 (C=O),1111.67 cm-1 (C—O),1602.75 cm-1 (C=N),3475.28 cm-1 (N—H)。

M2 1H NMR(500 MHz,CDCl3,δ):0.86(—CH3),1.23(—(CH2)10—),2.3(—CH2—CH2COO—),3.62(—(CH2—CH2—O)n—),4.19(—OOC—CH2—),4.45(—COO—CH2—),7.17(Ar),8.15(Ar),7.71~7.65(Ar),8.03(Ar),7.85~7.71(—CH=N—),9.60(—N—H),IR(KBr,ν):1735.31 cm-1 (C=O),1110.57 cm-1 (C—O),1608.61 cm-1 (C=N),3465.27 cm-1 (N—H)。

M3 1H NMR (500 MHz,CDCl3,δ):0.81(—CH3),1.25(—(CH2)10—),2.27(—CH2—CH2COO—),3.61 (—(CH2—CH2—O)n—),4.21(—OOC—CH2—),4.48 (—COO—CH2—),7.27(Ar),8.4~8.3(Ar),7.76(Ar),8.17(Ar),7.9(—CH=N—),9.20(—N—H);IR (KBr,ν)1734.56 cm-1 (C=O),1111.10 cm-1 (C—O),1605.90 cm-1(C=N),3458.23 cm-1 (N—H)。

3种席夫碱基表面活性剂合成路线如图1所示。

图1   3种席夫碱基表面活性剂的合成路线图

Fig.1   Synthesis route of three Schiff base surfactants

1.2 电解液与电极

1.2.1 电解液的制备 称取336.66 g KOH置于烧杯中,加入少量蒸馏水溶解,再转移到1 L容量瓶中定容,配制成6 mol/L KOH溶液。然后,将KOH溶液倒入大烧杯中,再加入25 g ZnO,不断搅拌,使其溶解,过滤出未溶的ZnO,即可得到ZnO饱和的6 mol/L KOH电解液。

1.2.2 Zn片前处理 取一大块高纯Zn片先后用400,1000,1200和2000 CW水磨砂纸打磨,至Zn表面光滑平整,再用1200 CW金相砂纸进行打磨,最后用剪刀剪成1.0 cm×4.0 cm的Zn片。Zn片用丙酮冲洗2次,以除去表面油污,再用蒸馏水洗涤3次,置于50 ℃的烘箱中烘干。用聚四氟乙烯封带包覆Zn片的非工作面,露出1.0 cm×1.0 cm的工作面[22]

1.3 失重实验

失重实验参照国家标准GB10124-88[23]。Zn片的平均失重量,缓蚀速率 (k) 和缓蚀效率 (ηw%) 由下式计算获得:

k=(W/St)(1)

ηw=((Dwo-Dw)/Dwo)×100%(2)

式 (1) 中,W为3个相同Zn片的平均重量损失,S为试样的表面积,t为浸泡时间;式 (2) 中,Dw0为空白碱性溶液中Zn片失重量 (g);Dw为加入不同浓度席夫碱基聚乙二醇 (400) 月桂酸酯表面活性剂的饱和ZnO的6 mol/L KOH溶液中Zn片的重量损失 (g)。

1.4 EIS测试

EIS的测定采用CHI860D电化学工作站,使用三电极体系,以Zn片为工作电极,Ni片为辅助电极,Hg/HgO电极为参比电极。测试电化学阻抗之前,将Zn片放置在碱性溶液中,测试面积为1.0 cm×1.0 cm。待开路电位稳定后进行测试。EIS测试采用振幅为5 mV的交变正弦波为激励信号,测试频率的范围为105~10-2 Hz。缓蚀率的计算公式如下:

η= (Rt-R0t)/Rt×100 %(3)

其中,R0tRt分别为未添加和添加席夫碱基表面活性剂的饱和ZnO碱性溶液中的极化阻抗 (Ω·cm2)。

1.5 SEM形貌观察

Zn片在碱性电解液中很容易被腐蚀,使得Zn片形貌变得不完整、不光滑。通过比较SEM像,可以清晰地观察出Zn片被腐蚀后的形貌,评估添加表面活性剂的缓蚀效果。

实验分为4组,空白组电解液为饱和ZnO的6 mol/L KOH溶液,其余3组为分别加入了3种0.7 mmol/L席夫碱基表面活性剂 (M1,M2和M3) 的饱和ZnO的6 mol/L KOH溶液。每一组的电解液均为60 mL。实验Zn片经过抛光、清洗,然后在电解液中浸泡50 h后取出,分别用乙醇、蒸馏水冲洗,经真空干燥后,利用XSAM800型SEM对Zn片的表面形貌进行观察。SEM分析时,加速电压为12 kV。

1.6 量子化学计算

1.6.1 模型构建 首先使用Materials Studio 5.5搭建出3种席夫碱基表面活性剂的分子结构模型,如图2所示。

图2   3种表面活性剂的分子结构图

Fig.2   Molecular structure models of M1 (a), M2 (b) and M3 (c)

整个体系由3层组成,Zn (1 1 0) 表面、含有席夫碱基表面活性剂分子和水分子的溶液层和只含水分子的溶液层。采用Import调用软件自带的纯金属Zn晶格,然后建立Zn (1 1 0) 面,打开Build模块中的Surface-Cleave Surface选项,将Cleave plane (h k l ) 设置为 (1 1 0),将Zn (1 1 0) 面切为8层,再利用Build-Symmetry-Supercell选项建立包含2304个Zn原子的超晶胞[24]。采用同样的方法对Zn超晶胞进行优化,优化完成后勾选Modify-Constraints-Fix Cartesian position选项,将Zn (1 1 0) 面所有原子坐标固定。然后利用Amorphous Cell菜单中的Construction分别建立两个H2O的溶液层,一个为2000个H2O的溶液层,体系大小为5.6 nm×5.6 nm×1.966 nm;另一个含有1000个H2O的溶液层,体系大小为5.6 nm×5.6 nm×0.983 nm。选中该层的水分子,勾选Modify-Constraints-Fix Cartesian position选项,使该层所有原子的坐标固定,以削弱锌晶格周期性的影响。当3个层都建立完毕后,再选择Build模块里的Build Layers,以金属Zn超晶胞为第一层,2000个水分子的体系为第二层,1000个水分子的体系为第三层,将3个层构建成一个整体,把表面活性剂分子平放于第二层中,建立得到计算模型[25,26,27,28]。模型大小为5.6 nm×5.6 nm×4.871 nm。

1.6.2 模拟方法 动力学模拟使用Focrite菜单中的Minimizer和Dynamics选项。首先使用Focrite菜单中的Minimizer按钮,利用Compass力场[4]对体系进行5000步的能量最小化,然后运行动力学模拟[2]。动力学模拟利用Focrite菜单的Dynamics选项[29],使用Compass力场,在Focrite Setup菜单中,Apply settings to使用vdW & Coulomb,Summation method使用Atom Based。在Focrite Dynamics菜单中使用NVT正则系综[30]。Trajectory Save选择Full,这样能够得到全面的轨迹文件,包括温度、步数和能量等,以作后续分析,比如均方位移、吸附速率、结构分析等。温度设定25 ℃ (298 K),截断半径设为0.95 nm,以保证一定的精度,时间步长1 fs,每1000步输出一帧,总的动力学模拟时间为1000 ps,共1.0×107步。

2 结果与讨论

2.1 失重实验结果分析

按照式 (1) 和 (2) 计算得到ηwDw的结果,见表1。从表1可以看出,加入席夫碱基聚乙二醇 (400) 月桂酸酯表面活性剂后Zn片的失重明显减少,均表现出良好的缓蚀效果。随着碱溶液中表面活性剂浓度的增大,缓蚀作用明显增强。当缓蚀添加剂浓度达到0.7 mmol/L时,缓蚀率已上升至约80%。当浓度继续增加至1 mmol/L时,缓蚀率变化不大。说明席夫碱基聚乙二醇 (400) 月桂酸酯表面活性剂的浓度在0.7 mmol/L时,在Zn电极表面生成了致密的缓蚀膜,将腐蚀粒子与Zn表面分开,减缓了金属Zn的腐蚀。3种席夫碱基聚乙二醇 (400) 月桂酸酯表面活性剂的缓蚀性能都很优异,M3具有最大的缓蚀性能,M2次之,M1最小。

表1   Zn片在添加不同浓度表面活性剂碱液中的失重实验数据

Table1   Mass loss results of Zinc after corrosion in KOH solutions without and with different concentrations of the synthesized surfactants

SurfactantConcentrationmmolL-1ΔWgηw%Dwg / m2h
Blank---3.6×10-2------
M10.41.4×10-262.01.89
0.77.7 ×10-379.01.06
1.06.3×10-382.00.87
1.36.1×10-382.80.85
1.66.0×10-383.30.82
M20.49.7×10-373.01.34
0.76.0×10-383.00.83
1.04.0×10-388.80.55
1.33.9×10-389.10.54
1.63.7×10-389.60.51
M30.48.3×10-377.01.15
0.75.0×10-386.00.69
1.02.8×10-392.20.38
1.32.5×10-393.00.34
1.62.3×10-393.60.31

新窗口打开

2.2 EIS结果分析

图3为Zn电极在饱和ZnO的6 mol/L KOH溶液中添加与不添加席夫碱基聚乙二醇 (400) 月桂酸酯表面活性剂条件下的EIS谱和等效电路图。通过ZSimpWin软件,依据等效电路图 (见图3d,其中R1为溶液电阻,R2为电化学反应电阻,CPE1为双电层电容),拟合EIS谱实验数据,得出相关电化学参数和计算缓蚀效率,列入表2,其中,Cd为双电层电容。

图3   Zn在含不同表面活性剂的溶液中的Nyquist曲线图及其等效电路图

Fig.3   Nyquist curves of Zn during corrosion in KOH solutions without and with different concentrations of M1 (a), M2 (b) and M3 (c), and corresponding equivalent circuit (d)

表2   Zn电极在添加不同浓度表面活性剂饱和ZnO的6 mol/L KOH溶液中的电化学参数以及缓蚀率

Table 2   Fitting electrochemical parameters of EIS and corrosion inhibition of zinc electrode in ZnO saturated KOH solutions with different concentrations of surfactants

SurfactantConcentration / mmolL-1R1 / Ωcm2R2 / Ωcm2Cd / Fcm-2η / %
Blank---0.3152.821.2×10-2---
M10.40.57108.714.1×10-451.41
0.70.58147.441.1×10-364.18
1.00.62224.601.0×10-276.47
M20.40.51271.488.4×10-380.54
0.70.53316.927.8×10-383.33
1.00.59412.026.6×10-387.18
M30.40.62480.305.9×10-389.00
0.70.65519.537.7×10-389.83
1.00.64672.024.686×10-392.14

新窗口打开

图3表2可知,随着席夫碱基聚乙二醇 (400) 月桂酸酯表面活性剂浓度不断增大,Zn电极的阻抗值不断增大。与未添加表面活性剂的空白溶液相比,可以看出加入席夫碱基聚乙二醇 (400) 月桂酸酯表面活性剂后,试样的阻抗值有较大幅度的增长,说明表面活性剂对Zn电极腐蚀有了显著的抑制作用,缓蚀效率排序为:M3>M2>M1>空白,即M3的缓蚀效果最好;当M3的添加浓度达到1.0 mmol/L时,缓蚀率高达92.14%。

2.3 SEM形貌分析

图4为Zn电极在未加入和加入3种0.7 mmol/L表面活性剂的饱和ZnO的6 mol/L KOH溶液中浸泡50 h后表面形貌的SEM像。可以看出,在空白溶液中,Zn试片腐蚀比较严重;而在加入表面活性剂的碱性溶液中则腐蚀明显减弱,这说明3种合成的席夫碱基表面活性剂的缓蚀性能较强。由图片的腐蚀程度可以得知,按缓蚀能力大小排序:M3>M2>M1,这与电化学方法测试的结果一致。

图4   Zn电极在未加入与加入3种表面活性剂的饱和ZnO的 6 mol/L KOH溶液中浸泡50 h后的SEM像

Fig.4   SEM images of Zn electrode immersed for 50 h in 6 mol/L KOH solutions with saturated ZnO (a) as well as three kinds of 0.7 mmol/L surfactants of M1 (b), M2 (c) and M3 (d)

2.4 体系的平衡

在分子动力学模拟过程中,可得到体系温度和能量与时间的变化情况。当体系温度和能量随计算时间保持稳定时,体系可视为已经达到平衡。溶液中3种席夫碱基表面活性剂分子在Zn (1 1 0) 面上的MD模拟,经100万步均已达到平衡 (如图5),从温度 (图5a~c) 和能量 (图5d~f) 变化来看,温度、势能、非键作用能、动能及总能量均已趋于稳定。由此判断,体系已达平衡。

图5   3种表面活性剂吸附在Zn表面的温度和能量平衡曲线图

Fig.5   Temperature (a~c) and energy (d~f) equilibrium curves of M1 (a, d), M2 (b, e) and M3 (c, f) surfactants adsorbed on Zn (1 1 0) surface in aqueous solution

2.5 平衡吸附构型及吸附能

2.5.1 平衡吸附构型 按1.6节所描述的步骤,得到在水溶液中3种表面活性剂分子在Zn (1 1 0) 面吸附平衡构型图见图6。可知,在最初的构型 (图6a~c) 中,席夫碱基表面活性剂分子均平行于金属表面,模拟开始后能够观察到水分子的存在对席夫碱基表面活性剂分子有很大的影响,表面活性剂分子随着周围水分子的运动而产生微小的振动。这表明水分子与席夫碱基表面活性剂分子之间有强的相互作用,从而抑制了表面活性剂分子在Zn表面吸附的速率。通过一段时间的来回原位振动后,席夫碱基表面活性剂分子才开始向Zn表面移动,整个过程比较缓慢,该过程由于受到周围水分子的影响,席夫碱基表面活性剂分子始终在做微小的振动。由于水溶液中水分子具有的阻碍作用,降低了席夫碱基表面活性剂分子与Zn (1 1 0) 表面的吸附能力,席夫碱基表面活性剂分子在周围水分子的相互作用下运动较稳定。由最终的平衡吸附构型 (图6d~f) 可以看出,3种表面活性剂分子在Zn表面的最终吸附构型与吸附之前并没有太大的变化。

2.5.2 吸附能 吸附能的计算公式[24,31]如下:

Eadsorption=Emolecule+surface-(Emolecule+Esurface)(4)

图6   表面活性剂在Zn (1 1 0)表面吸附前后的构型图

Fig.6   Configuration diagrams of three surfactants M1 (a, d), M2 (b, e), M3 (c, f) before (a~c) and after (d~f) adsorption on Zn (1 1 0) surface

其中,Emolecule是席夫碱基表面活性剂分子的能量;Esurface是没有吸附分子时金属表面的能量;Emolecule+surface是吸附了席夫碱基表面活性剂分子的金属表面体系能量。表3给出了3种席夫碱基表面活性剂分子在水溶液环境下Zn (1 1 0) 表面的吸附能数据。水分子在Zn (1 1 0) 表面的吸附能为-44.0 kcal·mol-1。由表3中数据可知,3种席夫碱基表面活性剂分子的吸附能绝对值明显大于水分子吸附能绝对值,说明3种席夫碱基表面活性剂分子均可驱赶、替换水分子而吸附在Zn表面;同时水分子的存在一定程度上减弱了席夫碱基表面活性剂分子在Zn表面的吸附作用。3种席夫碱基表面活性剂分子在水环境中吸附能大小排序相同,均为M3>M2>M1,吸附能越大,分子具有的缓蚀效果就会越强。这与失重、EIS和SEM测试结果相吻合。

表3   3种表面活性剂分子在Zn (1 1 0)表面的吸附能

Table 3   Adsorption energies of three surfactants on Zn (1 1 0 ) surface

MolecularEmolecule+surface / (kcalmol-1)Emolecule / (kcalmol-1)Esurface / (kcalmol-1)Eadsorption / (kcalmol-1)
M1-34470-38.19-34023-408.81
M2-34484-16.48-34023-444.52
M3-34496-16.93-34023-456.07

新窗口打开

2.6 动力学性质研究

2.6.1 吸附速率 通过计算分子的扩散系数来研究3种席夫碱基表面活性剂在水溶液中金属Zn (1 1 0) 表面的吸附速率。3种席夫碱基表面活性剂分子的均方位移 (MSD) 图见图7

图7   3种表面活性剂分子吸附到Zn (1 1 0)表面的均方位移图

Fig.7   MSD of three surfactants adsorbed on Zn (1 1 0)

图7中均方位移曲线进行线性拟合,可得到斜率。由均方位移计算公式 (式 (5)) 和扩散系数 (D) 计算公式 (式 (6)) 可知[32],图7中均方位移曲线拟合的线性方程的斜率除6,即为D

MSDt=1N1Nrit-ri02(5)

其中,N是目标分子的数量,ri (t ) 是t时刻分子的位置。

Dα=16Nαlimtddti=1Nαrit-ri02(6)

其中,d是该系统的维数,ri (t ) 和ri (0) 分别是t时刻和t=0时刻表面活性剂分子的重心坐标。

图7可以明显看出,3种表面活性剂分子都趋于由正方向向界面方向移动。通过计算可知,M1,M2和M3的扩散系数分别为3.3×10-8,5.3×10-8和7.8×10-8 cm2·s-1,3种表面活性剂分子的扩散系数均较小。这是因为溶液中存在大量的水分子,从而阻碍了双子表面活性剂分子在Zn (1 1 0) 表面的吸附。双子表面活性剂分子在Zn (1 1 0) 表面吸附过程中,扩散系数相差不是很大,因此应该具有相似流动性和吸附速率。实验结果同时表明,在溶液中,由于M1,M2和M3体系中各表面活性分子结构微小的差异,对其在Zn表面的吸附速率影响不大。3种表面活性剂分子的吸附速率顺序为:M3>M2>M1。这与它们在Zn表面吸附能力顺序相一致。

2.6.2 席夫碱基表面活性剂中原子基团之间的距离变化 分子动力学模拟后,通过Forcite-Analysis-Length distribution,以分子在模拟过程中与Zn表面距离 (P )[33,34]变化为纵坐标,以 (M1,M2和M3) 苯环上的特定原子和酯基特定原子之间的距离为横坐标进行分析,对3种席夫碱基表面活性剂在吸附过程中子基团之间的距离变化进行比较,如图8所示。

图8   吸附前后3种表面活性剂的两种基团之间的距离变化

Fig.8   Distance variation between two groups of three surfactants M1 (a, d), M2 (b, e), and M3 (c, f) before (a~c) and after (d~f) adsorption, respectively

图8中可以看出,3种席夫碱基表面活性剂在Zn (1 1 0) 表面吸附过程中,两种基团之间的距离都发生了很大的变化。3种席夫碱基表面活性剂在吸附后 (图8d~f),两种基团之间的距离与吸附前 (图8a~c) 相比较,增幅约为0.2 nm。这表明,3种席夫碱基表面活性剂在吸附过程中这两种基团之间的距离趋于变长,分子基本是平行的吸附在Zn的表面,从而使席夫碱基表面活性剂分子能够更好的吸附,具有更强的吸附能。吸附前后3种席夫碱基表面活性剂两种基团之间的距离变化大小的顺序为:M3>M2>M1。这与它们在Zn表面的吸附能力相同。

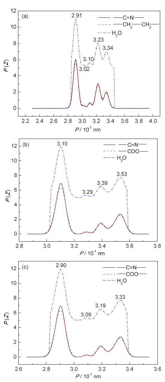
2.6.3 席夫碱基表面活性剂的特征基团在Zn表面吸附过程中距离变化 通过Forcite-Analysis-Length distribution,以分子动力学模拟后特征基团在Zn表面的数密度为纵坐标,以特征基团与Zn表面之间的距离为横坐标,计算3种席夫碱基表面活性剂分子中特征基团原子 (—C=N—,—COO—及—CH2—CH2—) 的数密度分布沿Z轴方向距离的函数P (Z ),结果见图9。可知,表面活性剂在接近Zn (1 1 0) 表面时,其数密度分布与H2O非常相似。对于各表面活性剂来说,在Zn (1 1 0) 表面附近,数密度分布曲线都出现3个峰,这与H2O的数密度分布曲线峰位置基本相似,第一个峰比后面的峰更高、更窄。图9表明,3种席夫碱基表面活性剂被吸附到Zn表面过程中,与不添加表面活性剂相比,H2O的数密度分布有变化,最终引起体系中的两层H2O运动发生改变,减弱了H2O与Zn表面的相互作用。对3种席夫碱基表面活性剂而言,两个特征基团的数密度分布曲线上的峰在Zn (1 1 0) 表面附近出现,而且和H2O的数密度分布的第一个峰在X轴位于相同位置。这表明,3种席夫碱基表面活性剂上两个特征基团在Zn (1 1 0) 表面吸附后,都渗入到了水溶液的第一层,确保了大部分分子能吸附在Zn表面形成保护膜抑制腐蚀。这进一步证明了3种席夫碱基表面活性剂分子是平行吸附在Zn的表面。

图9   3种表面活性剂的特征基团原子和H2O与Zn表面之间的距离变化

Fig.9   Variations of distance between the surface of zinc and feature groups of M1 (a), M2 (b) and M3 (c) surfactants and H2O

3 结论

(1) 3种表面活性剂的缓蚀效率按大小排序为:M3>M2>M1。由分子动力学模拟计算得到其在水环境下Zn (1 1 0) 表面的平衡吸附构型。模拟过程显示,由于水分子的阻碍作用,及水分子也同时削弱表面活性剂分子与金属Zn (1 1 0) 表面的相互作用,使得表面活性剂分子在Zn表面的吸附运动较慢。

(2) 模拟计算得出M1,M2和M3对Zn在水溶液环境下的吸附能分别为-408.81,-444.52和-456.07 kcal·mol-1。3种席夫碱基表面活性剂分子在水溶液环境中吸附能大小为:M3>M2>M1,吸附能越大,分子具有的缓蚀效果越强。3种席夫碱基表面活性剂分子都趋于由正方向向界面方向移动,吸附速率顺序为:M3>M2>M1。

(3) 3种席夫碱基表面活性剂在吸附过程中两种特定基团之间的距离趋于变长,分子基本是平行吸附在Zn表面,从而使席夫碱基表面活性剂分子能够更好的吸附,具有更强的吸附能。3种席夫碱基表面活性剂特征基团在Zn表面吸附过程中距离的变化表明,3种席夫碱基表面活性剂上的两个特征基团在Zn (1 1 0) 表面吸附后,少部分分子渗入到了第一层水溶液,大部分吸附在Zn表面形成保护膜而起到抑制腐蚀作用。

The authors have declared that no competing interests exist.


/