中国腐蚀与防护学报  2016 , 36 (4): 343-348 https://doi.org/10.11902/1005.4537.2016.011

研究报告

超临界机组汽水系统腐蚀产物迁徙过程研究

蒋东方1, 白杨2, 朱忠亮1, 张乃强1, 肖卓楠1, 徐鸿1

1. 华北电力大学 电站设备状态监测与控制教育部重点实验室 北京 102206
2. 宁夏电力公司电力科学研究院 银川 750001

Moving Process of Corrosion Products in Steam-water System of Supercritical Power Units

JIANG Dongfang1, BAI Yang2, ZHU Zhongliang1, ZHANG Naiqiang1, XIAO Zhuonan1, XU Hong1

1. Key Laboratory of Condition Monitoring and Control for Power Plant Equipment, Ministry of Education, North China Electric Power University, Beijing 102206, China
2. Electric Power Research Institute of Ningxia Electric Power Corporation, Yinchuan 750001, China

中图分类号:  TK224,TM621

文献标识码:  A

文章编号:  1005-4537(2016)04-0343-06

通讯作者:  通讯作者:张乃强,E-mail:zhnq@ncepu.edu.cn,研究方向为超超临界发电技术,电站材料高温氧化和应力腐蚀

版权声明:  2016 《中国腐蚀与防护学报》编辑部 《中国腐蚀与防护学报》编辑部

基金资助:  国家自然科学基金项目 (51471069),北京市自然科学基金项目(2152029)和中央高校基本科研业务费专项资金项目(2015ZD005) 资助

作者简介:

作者简介:蒋东方,男,1986年生,博士生

展开

摘要

从汽水系统腐蚀产物迁徙过程入手,探讨了超临界机组汽水系统腐蚀产物的来源,即低压加热器和高压加热器等部件发生流动加速腐蚀产生大量腐蚀产物,进入工质随工质进行迁徙。由于工质物性参数的变化,腐蚀产物溶解度降低,大量腐蚀产物沉积在高温管道。研究发现,炉管氧化皮的生成一方面来源于自身高温氧化,另一方面来自腐蚀产物沉积。结果表明,汽水系统不同部件内腐蚀形式不同,可以通过提高给水品质来抑制腐蚀产物迁徙对机组的影响,保证机组安全稳定运行。

关键词: 超临界机组 ; 汽水系统 ; 腐蚀产物 ; 离子迁徙

Abstract

The explosion of boiler tubes induced by the oxide scale causes a great influence on the safety and economy of power plants. The source of corrosion products in supercritical power plants is analyzed based on the physical and chemical properties of supercritical water, while the moving process of corrosion products can be described as follows: the corrosion products generated in the low pressure heaters and high pressure heaters, and then they are moving with the water. As the solubility of the corrosion products in the water was changed, which depended on both the pH and temperature, therewith the corrosion products deposit on the high temperature tubes. It follows from the analysis that the oxide scales on the boiler wall seem to be from two origins: the one is the high temperature corrosion of the tube wall itself, the other one is the deposition of corrosion products from upstream. Furthermore, the effect of the moving of corrosion products on the operation of power unit may be modified by properly inducing feed water of high quality in the steam-water system, thereby to ensure the safe and stable operation of the supercritical power unit.

Keywords: supercritical unit ; steam-water system ; corrosion product ; transport process

0

PDF (1642KB) 元数据 多维度评价 相关文章 收藏文章

本文引用格式 导出 EndNote Ris Bibtex

蒋东方, 白杨, 朱忠亮, 张乃强, 肖卓楠, 徐鸿. 超临界机组汽水系统腐蚀产物迁徙过程研究[J]. , 2016, 36(4): 343-348 https://doi.org/10.11902/1005.4537.2016.011

JIANG Dongfang, BAI Yang, ZHU Zhongliang, ZHANG Naiqiang, XIAO Zhuonan, XU Hong. Moving Process of Corrosion Products in Steam-water System of Supercritical Power Units[J]. 中国腐蚀与防护学报, 2016, 36(4): 343-348 https://doi.org/10.11902/1005.4537.2016.011

1 前言

随着环境问题的日益突出,燃煤电站以高参数、大容量机组为主要发展方向,从超临界机组到超超临界机组,再到正在研发阶段的700 ℃超超临界,机组参数的不断提高给机组受热面安全稳定运行带来了新的挑战。目前,燃煤电站过热器、再热器爆管问题严重,其中重要的原因在于氧化皮快速生长造成的传热恶化和氧化皮剥落造成的管道堵塞。氧化皮的来源不只是过热器和再热器本身的氧化,很大一部分是工质携带的铁系腐蚀产物在过热器和再热器沉积形成的“垢”。其本质问题是腐蚀产物在汽水系统中的生成、迁移和沉积过程。低压加热器、高压加热器及省煤器前段易发生流动加速腐蚀 (FAC),腐蚀产物Fe2+,Fe(OH)+,Fe(OH)2,Fe(OH)3-和Fe3O4随工质流动而发生迁徙,由于工质温度、压力和pH值变化直接影响腐蚀产物的溶解度,腐蚀产物会发生溶解、沉积反应,附着在高温受热面上会造成氧化皮迅速增厚,传热恶化甚至爆管。随主蒸汽进入汽轮机的颗粒状腐蚀产物冲击主汽门和汽轮机叶片,严重影响汽轮机的稳定运行,因此研究系统腐蚀产物迁徙过程至关重要。20世纪80年代,Comley[1]针对核电压水堆二回路内腐蚀产物迁徙过程进行了分析探讨,详细介绍了腐蚀产物的来源,产生机理,并对腐蚀产物成分进行了分析。Johari[2]和Cook[3]分别对腐蚀产物在加拿大重水堆 (CANDU) 和压水堆系统内的产生、迁徙和沉积过程进行了模拟研究。Lin[4,5]对核电机组腐蚀产物Co-60的迁徙过程进行了详细分析,提出了通过改进材料成分抑制腐蚀产物迁徙的方法。火电机组汽水系统设备部件与核电二回路类似,但工质的压力和温度更高,腐蚀产物在汽水系统内迁徙过程更为重要[6,7]。而我国作为超 (超) 临界机组装机容量最大的国家,目前对于腐蚀产物在超 (超) 临界机组汽水系统内迁徙过程的研究较少。本文分析了腐蚀产物的来源,阐述了腐蚀产物在汽水系统内的迁徙过程,研究了工质物性参数变化对腐蚀产物形态的影响,探讨了汽水系统内不同的腐蚀机理。

2 腐蚀产物的迁徙过程

2.1 腐蚀产物产生

目前,燃煤机组汽水系统主要部件的材质主要由碳钢、低合金钢和奥氏体不锈钢等组成。图1给出了汽水系统的流程图、关键部件的材质和工作参数。研究[8]认为,汽水系腐蚀产物主要来源于低压加热器和高压加热器等碳钢部件,碳钢在工质冲刷的条件下易发生FAC,外层钝化膜发生溶解、剥离现象,使管壁迅速减薄,腐蚀产物进入工质内随工质流动。Solomon[9]对核电机组沸水堆常规岛腐蚀行为进行了研究,结果表明90%的腐蚀产物来源于给水系统,其中Fe占98%,Cr,Mn,Ni和Co占2%。EPRI[10]在1979年对腐蚀产物的产生、迁徙及沉积特性进行了研究,成果显示95%以上的腐蚀产物来源于给水系统,并随工质在汽水系统内循环,随着工作参数的变化产生沉积。近年来EPRI对燃煤机组水化学处理导则中也说明给水携带大量Fe系腐蚀产物进入省煤器,这些产物主要由给水系统产生并随工质迁徙[11]。碳钢表面形成的钝化膜 (主要成分Fe3O4) 在单相或双相流换热过程中发生溶解反应,其主要反应式为:

13Fe3O4+2-bH++13H2

FeOHb2-b++43-bH2O(1)

其中,b=0,1,2和3,上述反应过程主要受到温度和pH值等工质参数的影响。随着pH值的升高将依次产生Fe2+,Fe(OH)+,Fe(OH)2和Fe(OH)3-,这些可溶性腐蚀产物迅速从氧化物-工质界面扩散进入工质内,并随工质在汽水系统内迁徙。

图1   某超临界机组汽水系统流程图

Fig.1   Simplified steam-water cycle of supercritical unit (C-condenser, LPH-low pressureheaters, DE-deaerator, HPH- high pressure heaters, EC-economizer,WW-water wall,SH- superheater, RH-reheater, HPT-high pressure turbine, LPT-low pressure turbine)

2.2 腐蚀产物由基体向工质扩散

腐蚀产物由基体向工质内的扩散分为4个过程,图2为金属腐蚀产物产生机理示意图。

图2   金属腐蚀机理

Fig.2   Corrosion mechanism of metals

该过程主要包括:(1) 金属基体-氧化层界面到氧化层-溶液界面Fe2+扩散过程。扩散过程中,Fe2+从金属基体-氧化层表面通过孔洞扩散到外层,这部分Fe2+或沉积形成外层氧化膜,或进入到溶液中。扩散过程可用下式表示[2]

J=-DeffCy(2)

式中:J为通量;Deff为有效扩散速率,cm/s; Cy为浓度梯度。

(2) 氧化层-溶液界面的Fe2+沉积或溶解过程,沉积过程可用下式表示[2]

Rp=KpCeq-Csn(3)

式中:Kp为沉积速率常数,cm/s;Ceq为金属-氧化物界面Fe2+平衡浓度,g/cm3,Cs为氧化物-溶液界面Fe2+浓度,g/cm3;n为指数。由于溶解速率受到氧化物表面结构的影响,故假定氧化层为八面体结构,因此溶解过程中出现表面面积系数,整个溶解过程可由如下方程表示[3]

RD=KdF*Ceq-Cs(4)

式中:Kd为溶解速率常数,cm/s;F *为表面面积系数;Ceq为金属-氧化物界面Fe2+平衡浓度,g/cm3;Cs为氧化物-溶液界面Fe2+浓度,g/cm3

(3) Fe2+到溶液的传质过程,即由氧化层-溶液界面传质到溶液里,可由下式进行描述[3]

MT=hCs-Cb(5)

式中:h为传质系数,cm/s;Cs为氧化物-溶液界面Fe2+浓度,g/cm3;Cb为溶液中Fe2+浓度,g/cm3

(4) 剪切应力作用下氧化层剥落过程,氧化层剥落主要认为是剪切应力作用,可由下式表示[3]

τw=ζρU22(6)

式中:ζ为管壁粗糙度系数;ρ为工质密度,g/cm3;U为流速,cm/s

2.3 腐蚀产物的迁徙和沉积

腐蚀产物随工质流动进行迁徙,当工质参数变化时部分腐蚀产物发生沉积反应,沉积主要发生在锅炉管系统。锅炉管氧化皮的组成有两部分,一部分是高温高压环境金属管壁发生的直接氧化,Fe2+由基体向工质内扩散,同时O由工质向基体扩散,在马氏体钢和奥氏体钢表面生成以FeCr2O4和Fe3O4为主的双层氧化膜。目前,国际上Was等[12,13]和Allen等[14],国内Zhong等[15]和Zhang等[16]都对金属管材在高温高压环境下自身氧化做了深入研究。另一部分是来自工质内的腐蚀产物沉积,该过程可描述为:腐蚀产物产生后将会随工质流动发生迁徙,由于工质物性参数的变化,经过临界点时,工质由亚临界态过渡到超临界态,此时腐蚀产物的溶解度降低几个数量级,处于过饱和状态,将会发生沉积反应。图3给出了汽水系统给水段与锅炉段腐蚀产物的生成和沉积过程。沉积反应分为结晶化沉积及颗粒物沉积。结晶化沉积过程中,从低压加热器和高压加热器迁徙过来的Fe(OH)+,Fe(OH)2和Fe(OH)3-等产物将会附着在管壁表面,沉积形成“垢”。研究[6]表明,腐蚀产物的整个迁徙过程受到工质参数的影响,工质温度、压力和pH值的变化将直接作用于腐蚀产物的生成、溶解和沉积过程,为此本文对汽水系统内工质参数变化进行了研究。

图3   腐蚀产物迁徙过程示意图

Fig.3   Schematic of corrosion product transport in steam-water system

3 热力参数对腐蚀产物迁徙过程的影响

电站汽水系统从冷凝器开始,给水经过凝结水精处理装置,进入低压加热器进行加热,后经过除氧器和高压加热器,进入到锅炉内,工质从低温低压水逐步变为高温高压水,进而经过超临界点变为超临界水,工质相关物性参数发生极大变化。

3.1 汽水系统温度压力对工质物性参数影响

汽水系统工质密度、介电常数随温度和压力的变化如图4所示。水的密度对温度变化十分敏感,温度升高,密度降低。压力变化对其影响较小,压力升高时,密度增大,但幅度较小。水的密度在低温和高温给水段,随温度升高缓慢下降,但进入锅炉内经过临界点时,工质的密度迅速变化,在液态水密度(1 g/m3)和低压水蒸气密度(<0.0011 g/cm3)之间变化[17],超 (超) 临界机组汽水系统内工质密度约在0.1 g/cm3。介电常数是表征溶剂极性的物理量,水在25 ℃和常压101.325 kPa时,介电常数为78.5,远高于大多数普通液体和有机物等的。在低温给水段,介电常数随着温度的升高逐步降至约38.5,经过高温给水段,进一步降到约25。随着温度的进一步升高,工质在临界点附近介电常数急剧下降,在锅炉段约在1.8。

图4   水的介电常数和密度随工质温度和压力的变化

Fig.4   Density and dielectric constant of water as a function of temperature and pressure

图5   离子积随工质温度和压力的变化

Fig.5   Ion products of water as a function of temperature and pressure

水的离子积随温度和压力的变化如图5所示。离子积对密度变化更敏感,密度越大,离子积越大,在25 ℃和101.325 kPa时,水部分离解为H+和OH-,其离子积为10-14;在低压和高压加热器段,离子积缓慢上升,亚临界水的离子积大约是常温条件下的3倍[18]。此时水是极性溶剂,离子化合物具有较高的溶解度,而类似于O2和N2等非极性物质在低压加热器和高压加热器内溶解度较低。在锅炉段经过临界点时,由于水的密度迅速下降,离子积也急剧下降,如在25 MPa和400 ℃时,水的密度约为0.12 g/cm3,此时水的离子积为10-22,远小于给水段的值;当温度从400 ℃升高到600 ℃时,其变化幅度变小。此时的超临界水物性更接近于有机溶剂,可与非极性气体无限互溶,而离子化合物的溶解度降低到最小,如:Fe(OH)+,Fe(OH)2和Fe(OH)3-。此时这些腐蚀产物极易发生沉积现象。

3.2 物性参数变化对腐蚀产物迁徙过程的影响

水在超临界点物性参数发生极大变化,在超临界环境下,无机盐类的溶解度降低。由于腐蚀速率受到氧化物-工质表面Fe2+浓度的影响,因此Fe2+在超临界水环境下溶解度的变化是影响腐蚀速率的重要因素。溶解度随密度和离子积发生变化,并且呈正比关系。对于腐蚀产物在超临界水中的溶解度,由式 (1) 可以得出:

CFe=Fe2++Fe(OH)++FeOH2+Fe(OH)3-

=PH213-xK0H+2+K1H++K2+K31H+(7)

其中, PH2为氢分压,K0,K1,K2K3分别对应式 (1) 中b=0,1,2和3时的反应平衡常数。

溶解反应的平衡常数K可表示为[19]

lnKT,ρ=lnK0T0,ρ0-HT0,ρ0R1T-1T0-

ωiT1εT,ρ-1εT0,ρ0(8)

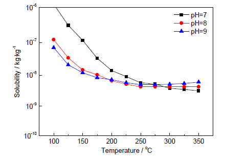
其中:△H为焓变;R为气体常数;T为热力学温度;ε为介电常数;ρ为水的密度;ωi为Born系数;K0(T0,ρ0)和ε(T0,ρ0)分别是T0=298.15 K,ρ0=0.997 g/cm3条件下的平衡常数和水的介电常数。 lnK0T0,ρ0=-GT0,ρ0RT。常温常压下的热力学参数△G(T0,ρ0)和△H(T0,ρ0)可由热力学手册及文献中查得,由于Fe(OH)b(2-b)+受温度和pH值变化的影响,分别计算了Fe2+在pH值为7,8和9时溶解度随温度的变化曲线,见图6。结果显示,随温度的增加,Fe2+溶解度呈下降趋势。温度在280 ℃以上,pH值为9时,由于Fe(OH)3-的增加,Fe2+溶解度有上升趋势。

图6   Fe溶解度随温度和pH值变化曲线

Fig.6   Changes of solubility of Fe with temperature and pH

图7   汽水系统腐蚀行为趋势图

Fig.7   Predicted corrosion behavior in different positions of the steam-water system

由上文研究可知腐蚀产物迁徙过程主要受金属腐蚀速率和腐蚀产物沉积速率影响。图7显示了超 (超) 临界机组汽水系统腐蚀速率的变化情况。在低压加热器和高压加热器段,温度在50~280 ℃区间内,腐蚀形式主要是流动加速腐蚀,腐蚀过程以电化学腐蚀为主,且腐蚀速率在约150 ℃时达到最大,该过程可由圆顶形曲线表示[20];工质从高温给水段进入锅炉段,温度继续上升,经过临界点进入超临界状态,此时金属腐蚀机理由流动加速腐蚀逐渐变为高温腐蚀,该过渡区的腐蚀机理较为复杂,属于电化学腐蚀和化学腐蚀的耦合作用,但腐蚀速率会随温度上升而上升[21,22];工质进入超临界态以后,金属在此环境下发生高温氧化,腐蚀过程以化学腐蚀为主,该环境下的腐蚀速率符合抛物线规律[23]

3.3 腐蚀产物在汽水系统内变化规律

对于采用全挥发性给水处理的机组,图8给出了汽水系统内Fe含量变化趋势。汽水系统腐蚀产物迁徙过程可描述为:工质经过一次循环后携带的离子最终聚集在凝结水处,因此主凝结水中的含铁量最高,经冷凝水精处理设备过滤后,此时的汽水系统中的Fe含量达到最低,低压加热器段温度为50~180 ℃,压力3.2~0.9 MPa,温度和压力较低,Fe3O4溶解度较小,但FAC在此段达到最大,Fe含量在此处大幅上升;高压加热器段经给水泵加压,压力升至30 MPa,Fe3O4溶解度比低压加热器段略有提高,Fe2+含量略微上升,Fe3O4溶解度随介电常数的减小而减小。超临界水的介电常数随密度和压力的升高而增大,随温度的升高而减小,在近临界点时急剧下降。因此在相对高压低温的高密度区,即给水泵出口,Fe3O4的溶解度最大,此后随汽水温度的升高和压力的降低而不断下降,因过饱和而析出的Fe3O4沿途不断沉积。在省煤器内,温度达到临界点附近,Fe3O4的溶解度急剧下降,使大部分Fe3O4析出并沉积在省煤器管壁上。在其后的汽水系统内,Fe的含量已相对较低。随后随着汽水流程的继续,Fe2+沉积基本完成,因此在过热器和再热器中Fe2+的含量较低。

图8   汽水系统Fe2+含量变化

Fig.8   Changes of iron concentration in different positions of the steam-water system

对于采用给水加氧处理的机组,由于不断向金属表面均匀地供O,金属的表面保持一层稳定、完整的Fe3O4层,而由Fe3O4微孔通道中扩散出来进入水相的Fe2+则被氧化,生成Fe2O3的水合物 (FeOOH) 或Fe2O3,它们沉积在Fe3O4外延层的微孔或颗粒的空隙中,使金属表面形成致密的“双层保护膜”。加氧处理方式可有效减缓或抑制炉前给水的FAC,从根本上降低腐蚀产物的产生,从而减少工质携带进入到锅炉管的腐蚀产物量。但过量的O进入到锅炉管内,将会加快锅炉管的高温腐蚀,同时可能会造成高温部件的应力腐蚀开裂,因此应严格控制加氧量[24]

4 结论

(1) 腐蚀产物主要是由于低压加热器和高压加热器等碳钢管道发生FAC产生的。

(2) 锅炉管氧化皮的组成有两部分,一是源于金属管壁发生高温氧化,另一部分是源于工质中腐蚀产物发生沉积。

(3) 采用全挥发性给水处理的机组易发生FAC,大量腐蚀产物进入工质,故应从优化给水品质,减少腐蚀产物生成量,同时控制负荷变化,减缓锅炉管自身高温氧化等方面来抑制氧化皮生长剥落,从而保证机组安全稳定运行。

(4) 采用加氧处理的机组,一方面可有效抑制低温部件的流动加速腐蚀,有效降低进入到工质内的腐蚀产物含量,从而减少腐蚀产物在高温受热面的沉积;另一方面,过量溶解氧随工质进入到高温受热面内会加快锅炉管的高温氧化,因此需严格控制机组的加氧量。

The authors have declared that no competing interests exist.


/