中国腐蚀与防护学报  2015 , 35 (6): 510-518 https://doi.org/10.11902/1005.4537.2014.273

研究报告

接地网用导电防腐蚀涂层研究

刘世念1, 王成2, 邓纪伦3, 李锡3, 朱圣龙2, 王福会2

1. 广东电网有限责任公司电力科学研究院 广州 510080
2. 中国科学院金属研究所 沈阳 110016
3. 广东电网有限责任公司东莞供电局 东莞 523008

Epoxy Based Conductive Anti-corrosion Coatings for Grounding Grid

LIU Shinian1, WANG Cheng2, DENG Jilun3, LI Xi3, ZHU Shenglong2, WANG Fuhui2

1. Electric Power Research Institute of Guangdong Power Grid Co. Ltd., Guangzhou 510080, China
2. Institute of Metal Research, Chinese Academy of Sciences, Shenyang 110016, China
3. Dongguan Power Supply Bureau of Guangdong Power Grid Co. Ltd., Dongguan 523008, China

中图分类号:  TG172.3

文献标识码:  A

文章编号:  1005-4537(2015)06-0510-09

通讯作者:  通讯作者:王成,E-mail:wangcheng@imr.ac.cn,研究方向为金属腐蚀与防护

版权声明:  2016 《中国腐蚀与防护学报》编辑部 《中国腐蚀与防护学报》编辑部

作者简介:

作者简介:刘世念,男,1972年生,高级工程师

展开

摘要

采用物理混合的方法在接地网用Q235碳钢表面制备环氧树脂基导电防腐蚀涂层,研究了颜基比 (PBR) 对涂层性能的影响,确定了最佳颜基比。通过电化学阻抗技术测试了以最佳PBR制备的导电防腐蚀涂层对Q235碳钢在土壤中的防护行为,采用SEM技术分析了涂层的微观结构,并测试了涂层的电气性能。结果表明,Q235碳钢在土壤中发生严重腐蚀,E44环氧树脂清漆涂层防护作用有限,而导电防腐蚀涂层对Q235碳钢在土壤中具有优异的防护性能。涂层的体积电阻率和表面接触电阻分别为0.65 Ω·cm和8.72 Ω/cm2。涂层经1 kA大电流冲击20次后,电阻率变化为5.95%,在10 A工频电流作用5次后涂层电阻率变化为11.09%,经冲击电流和工频电流作用后涂层完好,未发现剥落、烧蚀和裂纹等破坏。

关键词: 接地网 ; 碳钢 ; 导电涂层 ; 大电流冲击 ; 电化学

Abstract

Epoxy based conductive anti-corrosion coatings were prepared on the surface of grounding grid Q235 carbon steel with graphite, carbon fiber andaluminum tripolyphosphateas pigments. The influence of the pigment/binder ratio (PBR) on the properties of the coatings was investigated such as the morphology and the electric conductivity of the coatings as well the corrosion behavior of Q235 carbon steel coated by coatings with an optimal PBR by immersion in salt solutions and burying in a selected soil from Shenyang test site. The results indicated that after buried in the soil, the bare Q235 steel suffered from serious corrosion and bubbles occurred on the E44 lacquer coating on the steel, in the contrast, the coatings with the optimal PBR showed excellent protectiveness for the steel even after buried for up to 1000 h in the soil. The volume resistivity and surface contact resistivity of the coatings are 0.65 Ω·cm and 8.72 Ω/cm2 respectively. The coatings exhibited excellent with standing capacity to high current impulse, such as their electrical resistance decreased by 5.95% and 11.09% for the ones suffered from a high current impulse of 1 kA for 20 times and a power frequency current of 10 A for 5 times respectively, while the surface of the coatings maintained unchanged without any destruction.

Keywords: grounding grid ; carbon steel ; conductive coating ; large scale current impulsion ; electrochemistry

0

PDF (1352KB) 元数据 多维度评价 相关文章 收藏文章

本文引用格式 导出 EndNote Ris Bibtex

刘世念, 王成, 邓纪伦, 李锡, 朱圣龙, 王福会. 接地网用导电防腐蚀涂层研究[J]. , 2015, 35(6): 510-518 https://doi.org/10.11902/1005.4537.2014.273

LIU Shinian, WANG Cheng, DENG Jilun, LI Xi, ZHU Shenglong, WANG Fuhui. Epoxy Based Conductive Anti-corrosion Coatings for Grounding Grid[J]. 中国腐蚀与防护学报, 2015, 35(6): 510-518 https://doi.org/10.11902/1005.4537.2014.273

1 前言

土壤腐蚀导致埋地金属构件损坏,不但造成重大经济损失,而且造成设备的运行事故。随着电力行业“特高压”工程的普及,对变电站安全可靠性的要求越来越高。变电站的整个组成大致可以分为地上部分和地下部分。地下部分主要是由碳钢和镀锌钢等构成的接地网,这部分的耐蚀性对变电站的运行稳定起到了至关重要的作用。在含侵蚀性离子较高或酸性土壤中,接地体材料腐蚀严重[1-4],造成接地电阻超标,甚至因腐蚀断裂造成一些电气设备“失地”的情况每年都有发生,直接威胁到电网的运行安全[5]

镀锌钢是目前广泛应用于接地网的材料。实践表明,镀锌钢在土壤中会发生腐蚀,防护效果不明显[6,7]。铜接地极的使用可以降低腐蚀风险,但在我国资源及经济等原因的制约下,采用铜材投资较高,并且对环境存在一定的污染风险[8]

涂料防护是一类应用较广的防腐蚀措施,导电涂料在接地系统的应用可实现导电和防腐蚀双重功能。但导电涂料往往存在导电和防腐蚀或力学性能不能兼顾的缺点[9,10],良好的导电性能要求涂料的导电填料的含量增加,而填料的增加势必造成涂层的缺陷增多,同时还严重影响涂装实用性。

本工作以添加不同颜基比 (PBR) 的E44环氧树脂涂层为研究对象,利用腐蚀实验和表面分析技术等研究填料对涂层防护性能和导电性能的影响,着重研究了在最佳PBR条件下导电防腐蚀涂层在土壤中对接地网用碳钢的防护作用和涂层的电气性能。

2 实验方法

2.1 实验材料

实验材料为厚度为2 mm的Q235碳钢板,其名义化学成分 (质量分数,%) 为:C 0.14~0.22,Mn 0.30~0.65,Si≤0.30,S≤0.050,P≤0.045,Fe余量。钢板切割成50 mm×50 mm的样品,在0.6 MPa使用以24号白刚玉砂为介质的喷砂机喷砂至表面灰白色,用丙酮超声波清洗后放入干燥器中待用。

2.2 涂层制备

2.2.1 涂料的制备 成膜树脂为E44环氧树脂和胺改性固化剂5772。按比例称取环氧树脂,放入容器中,称取一定量的二甲苯调节涂料的粘度,分别称取导电石墨、碳纤维等导电填料和聚合磷酸铝等防腐蚀填料,连同二甲苯与称量好的环氧树脂充分搅拌并润湿后,放入适量的直径为1 mm的ZrSiO4研磨珠,在多功能搅拌机中以1500 r/min的速度搅拌15 min后,用80 μm不锈钢筛网过滤后即得到涂料。

2.2.2 涂层的制备 按比例称取研磨的涂料和固化剂,混合并搅拌均匀。采用空气喷涂的方式制备涂层,空气压力为0.3 MPa。喷涂后的样品在室温下放置7 d后进行耐腐蚀性能和电性能测试。

2.2.3 水溶液腐蚀实验 腐蚀实验分别在30 ℃的3%(质量分数)NaCl,10%H2SO4和10%NaOH溶液中以全浸的方式进行,并采用中性盐雾腐蚀实验 (NSS) 考察了涂层的耐腐蚀性能。采用KDY-1型四探针电阻率测试仪定性测定涂层的表面电阻率。

2.2.4 土壤腐蚀 实验用土取自沈阳土壤腐蚀实验站地下1.5 m深处,土壤理化性能 (质量分数,%) 为:水分21.69,有机质2.16,全氮0.132,NO3-0.0028,Cl- 0.0023,HCO3- 0.0060,Ca2+ 0.0026,Mg2+0.0016,K+ 0.0006,Na+ 0.0022,计算全盐为0.0253,土壤浸出液 (1:5) 电导率为0.064 mS/cm,泥糊 (1:0.5) 电导率为0.198 mS/cm。土壤的pH值为7.02。土壤经自然干燥、粉碎后经孔径为1 mm的筛子过滤,在105 ℃烘干6 h备用。用蒸馏水配制含水量为20% (质量分数) 的土壤进行埋置腐蚀实验和电化学阻抗 (EIS) 测试。EIS测试采用三电极体系,工作电极为Q235碳钢试样,参比电极为饱和甘汞电极 (SCE),辅助电极为石墨片。测试仪器为P4000电化学工作站,测试频率范围为105~10-2 Hz,施加10 mV交流正弦波,所有测试均在开路电位下进行。埋置腐蚀实验和EIS测试温度均为30 ℃。

2.3 电气性能测试

2.3.1 体积电阻率 在内径为5.5 mm,长40 mm的玻璃管内填装导电涂料,两端联引线,固化后除掉玻璃管,用精度为0.01 Ω的数字表测出两端电阻Rv,计算体积电阻率:

ρv=RvAL(1)

式中,ρv为体积电阻率,Ωcm;Rv为体积电阻,Ω;A为截面积,0.238 cm2;L为长度,4 cm。

2.3.2 表面接触电阻 在16 mm×140 mm的薄铁皮一端焊接引线,铁片两面制备导电涂料,两薄铁片十字交叉,上下自然放置接触 (不另加压力),用精度0.01 Ω的数字表测出平均接触电阻 (双面) Rm,按下式计算单位面积接触电阻R

Rc=Rm2S(2)

式中,Rc为表面接触电阻,Ω/cm2;Rm为实测电阻,Ω;S为铁片间接触面积,2.56 cm2

2.3.3 电流冲击 样品尺寸为150 mm×25 mm×4 mm,将带涂层的Q235碳钢试样插入承装饱和NaCl溶液的金属圆筒中液面以下50 mm处,试件与金属容器内壁缝隙不小于20 mm,实验电压作用在试件与金属容器之间,电流冲击作用面积为28 cm2。采用波形为1.2/50 μs标准雷电流对3个试样施加1 kA冲击电流,20次,相邻两次间隔1 min,每5次为一组间隔5 min,实验在1 d内完成。

用60 kVA电流发生器对3个试件进行工频电流耐受实验,施加工频电流为10 A,共5次,每次持续10 s,相邻两次间隔1 min。

采用AST3AE型电阻测试仪测量样品测试前后的电阻值。

2.3.4 涂层形貌 采用Inspect F50 扫描电子显微镜 (SEM) 及其自带能谱仪 (EDS) 分析涂层的微观结构和腐蚀产物的组成。

3 结果与讨论

3.1 PBR对涂层性能的影响

研究[11-15]表明,PBR对涂层的性能影响显著。图1列出了涂层的附着力和表面电阻率与PBR的关系。当PBR为3:7和4:6时,涂层的附着力变化不大,分别为12.40和11.59 MPa;随着PBR增大到1:1,涂层的附着力急剧降低到5.75 MPa。从图1b可见,随着PBR的增大,涂层的表面电阻率逐渐降低,导电性增强。涂层附着力和电阻率测试结果表明,低PBR有利于涂层附着力,而高PBR有利于涂层导电性能。

图1   PBR对涂层性能的影响

Fig.1   Influence of PBR on the adhesion (a) and resistance (b) of the coatings

表1是不同PBR涂层的防腐蚀性能。可以看出,对于PBR为3:7和4:6的涂层,在3.0%NaCl,10%H2SO4和10%NaOH溶液中浸泡4个月后,涂层未发生破坏,基体Q235碳钢未发生腐蚀,同样经过4个月的中性盐雾腐蚀,涂层完好,未发现基体金属的腐蚀。而当PBR增大为1:1时,除了在10%NaOH溶液中涂层完好、涂层下的碳钢未发生腐蚀外,涂层在3.0%NaCl和10%H2SO4溶液及中性盐雾环境中均在短时间内发生破坏,涂层下的碳钢发生腐蚀,表明高PBR造成涂层防护性能下降。其主要原因是涂层的致密性降低,见图2。很明显,当涂层的PBR为1:1时,涂层中填料含量增加,树脂含量降低,树脂不能形成连续的互联网状结构,同时填料的分散性降低而团聚增多,填料在涂层的分布杂乱,导致涂层缺陷数量增多 (图2b中圆圈处),进而影响了涂层的致密性,腐蚀性介质容易通过这些缺陷进入涂层/金属界面,造成基体碳钢的腐蚀,腐蚀产物的形成造成涂层鼓泡。当PBR为4:6时,涂层中的纤维状填料多数以平行于基体表面的方式排列,这种排列方式有利于涂层阻挡及隔离腐蚀性粒子进入涂层内部,“迷宫效应”增强了涂层的防护性能[16],且填料在涂层中分散均匀。因此,综合考虑涂层的导电性能和耐腐蚀性能,确定PBR为4:6时涂层具有导电和防腐蚀俱佳的性能。以下重点讨论以PBR为4:6时制备的涂层在土壤中的防护性能和电气性能。

表1   PBR对涂层防腐蚀性能的影响

Table 1   Influence of PBR on the corrosion resistance of the coatings

MediumPBR
3:74:61:1
3.0%NaClNo corrosion detected after immersedfor 4 monthsNo corrosion detected after immersed for 4 monthsSerious corrosion detected after immersed for 9 h
NSSNo corrosion detected after exposed for 4 monthsNo corrosion detected after exposed for 4 monthsSerious corrosion detected after exposed for 5 h
10%H2SO4No corrosion detected after immersed for 4 monthsNo corrosion detected after immersed for 4 monthsSerious bubbling occurred after immersed for 10 h
10%NaOHNo corrosion detected after immersed for 4 monthsNo corrosion detected after immersed for 4 monthsNo corrosion detected after immersed for 4 months

新窗口打开

图2   PBR为4:6和1:1时涂层的SEM像

Fig.2   SEM images of coatings with different PBR of 4:6 (a) and 1:1 (b)

3.2 腐蚀形貌

图3是Q235碳钢在30 ℃土壤中腐蚀后的宏观形貌。可见,涂装导电防腐蚀涂层的Q235碳钢腐蚀4个月后表面涂层完好,未发生起泡、剥落等破坏,同时也未发现有Fe的腐蚀产物渗透到涂层外表面,表明涂层下的Q235碳钢未发生腐蚀,涂层具有良好的隔离、屏蔽作用,表现出良好的耐土壤腐蚀性能。相比之下,Q235碳钢在土壤中经54 d埋置后,发生了严重腐蚀,表面覆盖了黄色的腐蚀产物,腐蚀产物与土壤紧密结合在一起 (图3b)。表面锈层的形成严重影响了接地体的导电性能,接地体构件的电阻率由Fe的约9.7×10-6 Ωcm增大到Fe2O3的大于105 Ωcm[17,18],腐蚀严重时甚至造成接地体的断裂,影响接地网的运行安全。

图3   Q235碳钢在土壤中腐蚀后的宏观形貌

Fig.3   Surface images of Q235 steel coated with conductive anti-corrosion coating (a) and naked Q235 steel (b) after corrosion in soil

图4是喷涂导电防腐蚀涂层的Q235碳钢在30 ℃土壤中腐蚀4个月后的微观形貌。经土壤腐蚀后,涂层完整,结构致密,涂层未有裂纹等微观缺陷,涂层与基体金属结合良好。涂层下的Q235碳钢未发生腐蚀。对比腐蚀前后涂层的SEM像可以看出,经土壤腐蚀后涂层微观结构没有发生明显变化,表明涂层具有良好的耐土壤腐蚀性能。

图4   带涂层的Q235碳钢经土壤腐蚀后的SEM像

Fig.4   Surface and cross-sectional images of Q235 carbon steel coated with conductive anti-corrosion coating, before (a, b) and after (c, d) corrosion for 4 months in soil

图5是Q235碳钢在30 ℃土壤中腐蚀54 d后的微观形貌。可见,Q235碳钢在土壤中腐蚀后形成针状和菜花状的腐蚀产物。腐蚀产物层的厚度约为40 μm,表现出较快的腐蚀速率,并且腐蚀向基体内部深入。EDX分析表明,Q235钢在土壤中腐蚀后的腐蚀产物主要由Fe2O3构成。

图5   Q235碳钢在30 ℃土壤中腐蚀后的SEM像

Fig.5   Surface (a) and section (b) images of Q235 steel after corrosion in soil at 30 ℃

3.3 腐蚀电化学

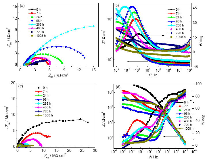
图6是带涂层的Q235碳钢在30 ℃土壤中的EIS谱。根据所测得的阻抗谱特征和相位角判断,在测试过程中涂层始终具有单容抗弧特征,具有一个时间常数[19]。埋置24 h,阻抗未出现明显升高或降低。埋置96 h后,涂层阻抗略有降低,直到1008 h涂层阻抗基本保持不变。由于涂层具有较好的导电性能 (电阻率约为35 Ω·cm) 并且与基体碳钢的结合力较高 (11.59 MPa),这样涂层与基体碳钢构成导电电极,与绝缘涂层电极完全不同,具有与金属电极相似的特征,在中低频区涂层阻抗与测试频率之间保持良好的线性关系,低频时的相位角保持在约60°~70°,涂层表现为电容特性。涂层对水分具有良好的阻挡屏蔽作用,在埋置过程中涂层下的Q235碳钢未发生腐蚀。在整个测试过程中,涂层阻抗没有出现较大的波动,表明涂层在土壤中的稳定性较好,土壤中的水分等侵蚀性成分对涂层的影响较小。

图6   涂装导电防腐蚀涂层的Q235碳钢在土壤中的EIS谱

Fig.6   Nyquist (a), phase angle and modulus vs frequency (b) plots of Q235 carbon steel coated with conductive anti-corrosion coating

相比之下,Q235碳钢在刚埋入土壤时即发生腐蚀,EIS谱具有两个时间常数,如图7a和b所示。在随后的埋置过程中,Q235碳钢的阻抗保持在103 Ω·cm2数量级,比带涂层的Q235碳钢的稍小 (图6)。E44环氧树脂清漆在土壤中具有与导电防腐蚀涂层完全不同的电化学特征 (图7c和d)。刚埋入土壤时具有单容抗特征,经过7 h后涂层具有双容抗特征,表明涂层下的金属发生腐蚀,此时土壤中的水分等已渗透到涂层/金属界面,清漆涂层对Q235碳钢的防护作用有限。

图7   Q235碳钢在土壤中的EIS谱

Fig.7   Nyquist (a, c), phase angle and modulus vs frequency (b, d) plots of Q235 steel coated with E44 lacquer coating

低频阻抗Z0.1Z0.01常用来评价涂层的防护性能[20-22],通常认为,低频阻抗大于108 Ω·cm2时具有优异的防护性能,介于106~108 Ω·cm2时具有中等防护性能,小于106 Ω·cm2时涂层失效。图6所示导电防腐蚀涂层的低频阻抗在刚埋置时即小于105 Ω·cm2,在随后的埋置过程中低频阻抗没有发生显著变化,但通过涂层形貌分析可知,涂层并没有失效,而是很好地保护了涂层下的Q235碳钢。E44清漆涂层在埋置过程中的低频阻抗始终大于106 Ω·cm2,但涂层已发生起泡并伴随基体碳钢的腐蚀。因此,与绝缘涂层不同,对于高导电性涂层,不能简单地用低频阻抗的大小来评价涂层的防护性能。

特征频率 (fb) 是另一个常用来评价涂层防护性能的重要参数[23]图8所示为E44清漆和导电防腐蚀涂层在土壤中的特征频率随埋置时间的变化。在埋置过程中,导电防腐蚀涂层的特征频率随埋置时间的延长而缓慢降低,最终保持相对稳定的特征频率,约为3.16 Hz。一般情况下,当涂层的特征频率大于1400 Hz时,表明涂层抗侵蚀性分子或离子的能力急剧下降[24]。从图中可以看出,导电防腐蚀涂层的特征频率远远小于1400 Hz,表明涂层未发生剥离等破坏。特征频率的大小反映了涂层的剥离程度,特征频率越大,剥离越严重,涂层的防护性能越差[25]。从图8可见,E44环氧树脂清漆涂层的特征频率在刚埋入土壤时较小,约为12.5 Hz,在埋置7 h后迅速升高到630 Hz,而后在500~794 Hz之间波动,表明E44环氧树脂清漆涂层在土壤中抗剥离能力和防护性能较差。

图8   带导电防腐和E44清漆涂层的Q235碳钢在土壤中的特征频率

Fig.8   Characteristic frequencies of Q235 steel coated two different coatings in soil

图9是Q235碳钢在土壤中的腐蚀电位与埋置时间的关系。在埋置过程中,Q235碳钢的腐蚀电位在-700 mV (SCE) 附近波动,涂装导电防腐蚀涂层的Q235碳钢的腐蚀电位在开始阶段表现为下降,可能是由于土壤中的H2O渗透到涂层内部造成的,大约埋置200 h后腐蚀电位增大,由于涂层中的钝化性填料在H2O的作用下对Q235碳钢表面起到钝化作用[26],促使电位升高。在随后的埋置过程中,腐蚀电位持续升高,大约600 h后保持稳定,约为200 mV (SCE)。显然,涂装导电涂层的Q235碳钢的腐蚀电位较基体碳钢的高500 mV以上,表明在埋置过程中,涂层始终很好的隔绝了腐蚀介质的渗透,涂层具有良好的抗阴极剥离能力[27]。E44清漆涂层的腐蚀电位在埋置250 h前的电位较Q235碳钢的高,而后电位维持在较负的范围内,表明涂层的隔离屏蔽作用较差,腐蚀介质到达涂层/金属界面,反映的是基体金属的腐蚀电位[28]

图9   Q235碳钢在土壤中的腐蚀电位与时间的关系

Fig.9   Corrosion potentials of Q235 steel in soil as a function of time

从以上讨论可知,涂层特征频率和腐蚀电位的监测与腐蚀形貌具有良好的对应关系,二者可用来评价高导电涂层的防护性能。

3.4 电气性能

3.4.1 体积电阻率和表面接触电阻 用精度为0.01 Ω的欧姆表测出两端电阻为10.92 Ω,按式(1) 计算导电涂料的体积电阻率为0.65 Ω·cm,而Fe的体积电阻率为0.9×10-5 Ω·cm,土壤的电阻率则为100~5000 Ω·cm。虽然相对于Fe的电阻率较大,但对于土壤的电阻率小两个数量级以上,因此对接地体的导电性能不会造成较大的影响。

测量得出两铁片间电阻为44.64 Ω,计算出导电涂料的表面接触电阻为8.72 Ω/cm2。在实际使用中,一般接地体的土壤接触面积ST达1.0×104 cm2以上,计算出的总体接触电阻RT为8.72×10-4 Ω/cm2 (按并联电阻计算: RT=RcST)。因而导电涂层对整体接地电阻的影响非常微弱,可以忽略不计。

3.4.2 涂层耐冲击电流性能 根据冲击电流1 kA和测试面积计算得出冲击电流密度为35.71 A/cm2。一般情况下,接地网的总面积超过1.0×104 cm2,因此,涂层可承受的总电流为357.1 kA。雷电流的典型峰值为20 kA,变化范围为2~200 kA[29,30],因此导电涂层可承受雷电冲击20次。

大电流冲击前3个样品的平均电阻为1.848 Ω,大电流冲击后3个样品的平均电阻为1.738 Ω。冲击后的电阻略有降低,冲击前后电阻变化率为5.95%,远小于20%,如图10所示。

图10   导电防腐蚀涂层电流冲击后电阻变化

Fig.10   Changes of resistance of the conductive anti-corrosion coating after current impulsion

工频电流冲击后3个样品的平均电阻为1.643 Ω,冲击后的电阻略有降低,冲击前后的电阻变化率为11.09%,远小于20% (图10)。

电流冲击前,涂覆耐蚀导电涂层Q235碳钢试件表面平整、无裂纹、无金属裸露现象;电流冲击后,试件表面保持平整、无裂纹、无金属裸露现象,涂层具有良好的耐冲击电流和工频电流性能。

4 结论

(1) PBR对E44环氧树脂涂层的理化和导电性能影响显著,低PBR有利于涂层的理化性能,而高PBR有利于涂层的导电性能,确定当PBR为4:6时涂层具有较佳的导电和防腐蚀性能。

(2) 在最佳PBR条件下,涂装导电防腐蚀涂层对Q235碳钢在含水量为20%的土壤中具有单容抗特征,经1000 h埋置后,涂层阻抗稳定在105 Ωcm2数量级,未发生破坏,涂层下的Q235碳钢未腐蚀,导电防腐蚀涂层具有优良的防护作用。涂层电位比E44清漆和Q235碳钢高500 mV以上,具有优异的抗阴极剥离和抗介质渗透能力。Q235碳钢在埋置初期即发生腐蚀,E44清漆涂层发生起泡破坏,对Q235碳钢的防护作用有限。

(3) 涂层经1 kA大电流冲击20次和10 A工频电流冲击5次后,电阻变化分别为5.95%和11.09%,涂层外观未发生破坏,具有良好的耐冲击电流性能。

The authors have declared that no competing interests exist.


/