中国腐蚀与防护学报  2015 , 35 (3): 220-226 https://doi.org/10.11902/1005.4537.2014.077

研究报告

O2浓度对钢在超临界CO2中腐蚀速率的影响

张玉成1, 鞠新华1, 庞晓露2, 高克玮2

1. 首钢技术研究院 北京 100043
2. 北京科技大学材料物理与化学系 北京 100083

Effect of O2 Concentration on Corrosion Rate of Steels in Supercritical CO2

ZHANG Yucheng1, JU Xinhua1, PANG Xiaolu2, GAO Kewei2

1. ShouGang Research Institute of Technology, Beijing 100043, China
2. Department of Materials Physics and Chemistry, University of Science and Technology Beijing, Beijing 100083, China

中图分类号:  TE988

通讯作者:  通讯作者:高克玮,E-mail:kwgao@mater.ustb.edu.cn,研究方向为金属材料的腐蚀防护及失效分析

接受日期:  2014-06-4

网络出版日期:  --

版权声明:  2015 《中国腐蚀与防护学报》编辑部 版权所有 2014, 中国腐蚀与防护学报编辑部。使用时,请务必标明出处。

基金资助:  北京市自然科学基金重点项目(2131004)资助

作者简介:

张玉成,男,1982年生,博士

展开

摘要

研究了油气输送管道中常用的两种碳钢C75和X65及3种不锈钢13Cr,2205和904 L在80 ℃,12 MPa含有不同浓度O2的超临界CO2环境中的腐蚀行为。结果表明,当超临界CO2中O2浓度较低时,即使是微量O2 (1.50×10-6),也能显著地加速碳钢和13Cr不锈钢的腐蚀;在O2浓度很高时 (5.70×10-2) 出现钝化现象,与不含O2时相比,无论碳钢还是13Cr不锈钢的腐蚀速率均降低;2205和904 L不锈钢的腐蚀均不受O2浓度的影响。

关键词: 超临界CO2 ; O2 ; 碳钢 ; 不锈钢 ; 腐蚀速率

Abstract

The carbon capture and storage (CCS) in geological reservoirs is now considered to be one of the main options for achieving deep reductions in CO2 emissions. Generally, the purity of captured CO2 is only about 95% and can contain trace gases such as O2, CO, SOx and NOx. In the presence of a water phase, these trace gases can contribute to the corrosiveness of high pressure-high temperature CO2 (supercritical CO2) systems. In this study, corrosion experiments of supercritical CO2 with various amounts of O2 were carried out to study the effect of small concentrations of O2 on the corrosion rate of two kinds of carbon steels C75 and X65 and three kinds of stainless steels 13Cr, 2205 and 904L in aqueous supercritical CO2 at 80 ℃ under 12 MPa. The decay kinetics of small starting O2 concentrations were investigated and used for the experiments with continuous replenishment of used-up O2. The results indicated that constant O2 concentrations in supercritical CO2, even trace of O2 (1.50×10-6), could enhance the corrosion rate of carbon steels tremendously (more than 100 mm/a). Under this condition, even the corrosion rate of 13Cr stainless steel obviously increased. However, surprisingly, with high O2 concentrations seemed to exhibit passivation effect and the corrosion rates for carbon steels and 13Cr stainless steel were relatively low. The 2205 and 904L stainless steels were unaffected by addition of O2 and showed high resistance (<0.01 mm/a) to the aqueous supercritical CO2 corrosion.

Keywords: supercritical CO2 ; O2 ; carbon steel ; stainless steel ; corrosion rate

0

PDF (1077KB) 元数据 多维度评价 相关文章 收藏文章

本文引用格式 导出 EndNote Ris Bibtex

张玉成, 鞠新华, 庞晓露, 高克玮. O2浓度对钢在超临界CO2中腐蚀速率的影响[J]. , 2015, 35(3): 220-226 https://doi.org/10.11902/1005.4537.2014.077

ZHANG Yucheng, JU Xinhua, PANG Xiaolu, GAO Kewei. Effect of O2 Concentration on Corrosion Rate of Steels in Supercritical CO2[J]. 中国腐蚀与防护学报, 2015, 35(3): 220-226 https://doi.org/10.11902/1005.4537.2014.077

1 前言

空气中CO2浓度的增加是全球气候变暖的最主要原因,工业生产过程中产生的CO2的分离及其捕获和储存 (CCS) 技术,是目前公认的可减少空气中CO2浓度的有效措施之一[1]。通常,分离出来的CO2的纯度只有约95%,还含有其它微量气体杂质,如O2,CO,SOx和NOx[1]。在存在H2O的情况下,这些杂质气体将会加重高温高压CO2 (超临界CO2) 对CCS运输管道及地下注入管道的腐蚀[2]-[4]。研究[5]-[8]表明,碳钢遭受CO2腐蚀后,其表面会生成一层具有一定保护性的腐蚀产物膜 (FeCO3及其它含Fe的化合物)。然而,O2的存在对CO2腐蚀过程有着明显的影响,一方面,O2存在时,它直接参与腐蚀阴极反应,抑制保护性的FeCO3膜的生成,从而使钢的腐蚀加速[9],[10];另一方面,在一些行业中却可以用O2拟制钢的腐蚀,但具体的作用机制尚不清楚。例如,澳大利亚的Millmerran发电站通过氧处理技术 (OT) 往循环水系统通入一定量的O2防止管道的腐蚀[11]。因此,可能存在决定O2起加速腐蚀或抑制腐蚀作用的O2含量临界值,但目前关于此方面的研究报道很少。

迄今为止,关于O2对钢在超临界CO2条件下腐蚀影响的实验都在是封闭的容器中 (如高温高压反应釜) 进行的,而且大多情况都是在反应开始时将O2引入到实验系统中[3,4,12]。事实上,在O2浓度很低的情况下,在实验开始后的很短时间内 (几个小时),腐蚀反应将使O2浓度降低至可以忽略的水平。因此,上述实验结果不能准确反映实际腐蚀过程。要准确地研究O2浓度对腐蚀的影响,必须确保整个腐蚀过程中始终有恒定的O2浓度。但是,还未见有这方面的研究报道。

表1   实验所用材料的化学成分

Table 1   Chemical compositions of tested steels

SteelCSiMnPSNCrMoNiCu
C750.2~0.40.1~0.31.0~3.0≤0.01≤0.01---0.02~0.040.01~0.030.05~0.07---
X65≤0.10.2~0.41.0~3.0≤0.02≤0.01≤0.01------------
13Cr0.17~0.220.3~0.50.2~0.4≤0.04≤0.04---12.5~13.5---------
2205≤0.03≤1.0≤2.0≤0.03≤0.020.08~0.2021.0~23.02.5~3.54.5~6.5---
904L≤0.02≤0.70≤2.0≤0.03≤0.0150.04~0.1519.0~21.04.0~5.024.0~26.01.0~2.0

新窗口打开

本文以油气管道中常用的两种碳钢和3种不锈钢为实验材料,研究了O2浓度对钢在80 ℃,12 MPa的超临界CO2中腐蚀速率的影响。

2 实验方法

实验用两种碳钢 (C75和X65) 及3种不锈钢 (13Cr,2205和904L) 的化学成分如表1所示。试样尺寸为50 mm×10 mm×3 mm。实验在2 L高温高压反应釜中进行,采用O2浓度在线测量传感器 (Rapidox 2100,精度为:1×10-6) 监测反应釜中的O2浓度 (本文中给出的O2浓度均为质量分数),并使用O2补给系统可动态保持反应釜中的O2浓度达到实验需要。实验之前,先用砂纸将待腐蚀的样品表面逐级打磨到800号,依次经过酒精清洗、丙酮除油及热风吹干后,用FA2104型电子天平 (精度:0.1 mg) 称量试样质量。

实验前先通N2对去离子水除O2处理2 h,然后将其倒入反应釜中。将样品固定于聚四氟乙烯夹具上,而后放入去离子水中,接着在反应釜中持续通高纯CO2 (99.99%) 2 h,然后升温升压至80 ℃和12 MPa。分别在无O2、一次性注入O2和动态注入O2条件下进行实验,所有腐蚀实验时间均为96 h。对于一次性注入O2的实验,仅仅在实验开始的时候通过高压注射器注入一定量的O2,实验运行过程中不再注入O2;而对于动态注入O2实验,首先在实验开始的时候通过高压注射器注入一定量的O2,然后在实验运行过程中通过手动或自动的方式继续注入O2,以确保系统中始终有一定浓度的O2存在。为了模拟管道中输送CO2的流动环境,选用旋转夹持试样的试样架,使试样与腐蚀介质间存在4 m/s的相对速率。

实验结束后,将样品取出,用去离子水冲洗,而后去除腐蚀产物膜。本实验中采用的去除腐蚀产物膜的溶液根据GB/T 16545-1996 C.3.5配置:500 mL HCl (ρ=1.19 g/mL)+3.5 g六次甲基四胺 (加蒸馏水配置成1000 mL溶液) 。待腐蚀产物膜去除后,用去离子水将样品冲洗干净,用丙酮除水,热空气干燥后再次称量样品重量。每种钢选取两个平行试样,用失重法计算每个试样的均匀腐蚀速率,然后计算平均值。根据ASTM Standard G31,失重法测量腐蚀速率的计算公式如下:

CR=8.76×104ΔmSρt

其中,CR为钢的均匀腐蚀速率,mm/a;Δm为失重量,g;S为暴露于腐蚀介质中的样品面积,cm2ρ为钢的密度,g/cm3t为腐蚀时间,h。

3 实验结果

3.1无O2实验

为了与随后的含不同浓度O2的腐蚀实验进行对比,在无O2条件下腐蚀96 h,测得C75和X65碳钢及13Cr,2205和904L不锈钢的腐蚀速率依次为9.8,4.7,0.02,<0.01和<0.01 mm/a。可见,X65管线钢的腐蚀速率比C75钢稍低,不锈钢的腐蚀速率远远低于碳钢,这是因为合金元素Cr的加入提高了钢的耐蚀性,与文献[13]-[16]中报道的结果相似。

3.2 一次性注入O2实验

向反应釜中通入一定量O2使其浓度分别达到1.37×10-3和2.69×10-3时开始实验,在实验过程中监测O2的变化。图1给出了反应釜中O2浓度随腐蚀时间的变化规律,表2为这两种情况下钢在超临界CO2中的腐蚀速率。可以看出,O2浓度为1.37×10-3时,碳钢及不锈钢的腐蚀速率与无氧时相比变化不大,这是由于O2参与了腐蚀反应,在实验开始后很短时间内 (6 h) 这部分O2就被消耗完 (图1a),导致在随后的腐蚀过程中,只有CO2参与反应,因此这时的腐蚀速率与无氧系统 (纯CO2) 仍旧在一个量级上。

图1   初始O2浓度分别为1.37×10-3和2.69×10-3时反应釜中O2浓度随腐蚀时间的变化曲线

Fig.1   Variations of O2 concentration with exposure time in the conditions with the initial O2 concentration of 1.37×10-3 (a) and 2.69×10-3 (b)

图2   钢在一次性注入2.69×10-3 O2的超临界CO2中腐蚀后的宏观表面形貌

Fig.2   Macro-surface morphologies of C75 (a), X65 (b), 13Cr (c), 2205 (d) and 904L (e) steels under supercritical CO2 condition with one-time injection of 2.69×10-3 O2 (real surface size: 50 mm×10 mm)

表2   一次性分别注入1.37×10-3和2.69×10-3 O2时钢在超临界CO2中的腐蚀速率

Table 2   Corrosion rates of the tested steels under supercritical CO2 conditions with one-time injection of 1.37×10-3 and 2.69×10-3 O2, respectively

O2 concentrationC75X6513Cr2205904 L
1.37×10-38.18.10.014<0.01<0.01
2.69×10-325.036.20.01<0.01<0.01

新窗口打开

相似地,O2浓度为2.69×10-3时,O2也在实验20 h后消耗完 (图1b),然而,这时碳钢的腐蚀速率比O2浓度为1.37×10-3 (见表2) 和无O2时明显增大,并且伴有严重的局部腐蚀,如图2a和b所示。这是由于O2的存在拟制了保护性的FeCO3腐蚀产物膜的形成,而促进了非保护性的铁氧化物生成[9,10]。两种情况下,不锈钢的腐蚀速率都非常低 (13Cr不锈钢:约0.01 mm/a;2205和904L不锈钢:<0.01 mm/a)。通过图2c~e所示的腐蚀后的宏观表面形貌可以看出,不锈钢样品腐蚀后表面没有发现明显的局部腐蚀。

图3   初始O2浓度为5.7×10-2时反应釜中O2浓度随腐蚀时间的变化曲线

Fig.3   Variation of O2 concentration with exposure time in the supercritical CO2 condition with the initial O2 concentration of 5.7×10-2

为了进一步研究O2含量对超临界CO2条件下钢的腐蚀速率的影响,在实验开始时一次性通入高浓度的O2(5.70×10-2),96 h的实验结束时反应釜中仍旧有约2×10-2的O2 (如图3所示),这表明整个实验过程中始终有O2存在。

图4给出了无氧及不同O2含量时钢在超临界CO2中的腐蚀速率。可明显地看到,在O2浓度很高 (5.70×10-2) 时,碳钢及不锈钢的腐蚀速率远远低于无氧以及低O2浓度条件下的腐蚀速率。碳钢的腐蚀速率降到1.4~1.7 mm/a (X65钢的腐蚀速率比C75钢稍高),见图4a;相比于碳钢,不锈钢表现出很好的耐蚀性:13Cr不锈钢的腐蚀速率均低于0.02 mm/a (见图4b),而2205和904L不锈钢的腐蚀速率更是降低到0.004 mm/a以下。这主要是因为高浓度的O2促进了保护性的腐蚀产物膜的生成,因此钢的腐蚀速率降低[17]-[19]

图4   无氧及不同O2含量时碳钢及13Cr不锈钢在超临界CO2中的腐蚀速率

Fig.4   Corrosion rates of carbon steels (a) and 13Cr steel (b) in the supercritical CO2 conditions with various O2 concentrations

另外,对比图4a和b中碳钢及13Cr不锈钢的腐蚀速率可见,只有高浓度的O2(5.70×10-2) 才能够降低碳钢的腐蚀速率,而在本实验的O2浓度范围内,13Cr不锈钢的腐蚀速率随着氧含量的升高逐渐减少且在氧含量高于一定值下保持低腐蚀速率,这是因为加入Cr能够使钢的表面形成一层稳定、完整、与钢基体结合牢固的Cr2O3等钝化膜,从而提高了钢的耐电化学腐蚀能力[13]-[16]

3.3 动态注入O2实验

从图4可以看出,高浓度的O2能够降低碳钢及不锈钢的腐蚀速率,而图1的结果又显示一次性注入的低浓度O2会在实验开始后的短时间内被腐蚀反应完全消耗完,从而导致后面的腐蚀过程中没有O2的参与,因此,为了进一步表征低浓度的O2对超临界CO2条件下钢腐蚀的影响,采用以下两种O2补给方式来调整由于腐蚀反应的消耗而造成的O2浓度降低。一是手动注入O2,即当O2浓度将近消耗完时,手动注入新的O2,等新通入的O2快消耗完时,再次注入O2。另一种是自动补给O2,即一旦O2的浓度低于某一个值,O2补给系统的阀门自动打开,O2自动注入到反应釜中;而当O2浓度高于某一个值时,O2补给系统的阀门自动关闭,从而确保整个腐蚀过程中有近乎恒定的O2浓度。

图5   手动动态注入3.50×10-4 O2的过程

Fig.5   O2 concentration vs time in the process of manual injection of 3.50×10-4 O2

图5给出了通过手动注入保持3.50×10-4 O2的过程。实验开始时,一定量的O2注入到腐蚀系统中,2 h后O2的浓度降到1×10-4以下,于是重新注入O2至约3.50×10-4。到18 h时,O2已基本消耗完,于是再次注入O2到约3.50×10-4。结果显示,这时碳钢遭受严重的腐蚀,腐蚀速率大于100 mm/a (C75和X65碳钢的腐蚀速率分别为103和111 mm/a)。然而,相比碳钢,不锈钢的腐蚀速率仍旧非常小 (13Cr钢:0.06 mm/a;2205和904L不锈钢:<0.01 mm/a)。

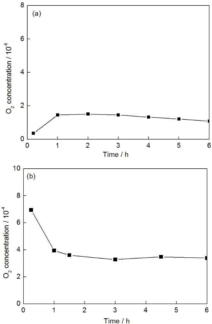
图6   恒定O2浓度控制过程

Fig.6   O2 concentration vs time in the process of automatic injection of 1.50×10-6 (a) and 3.50×10-4 (b) O2

在自动O2补给系统中,O2浓度分别恒定为1.50×10-6 和3.50×10-4两种,此时O2浓度随腐蚀时间的变化曲线如图6所示。可以看出,除了刚开始阶段有一定波动外 (约1 h,主要是由于O2传感器需要一定的稳定时间),其余时间O2的浓度近于恒定。图7为动态注入O2条件下碳钢及13Cr不锈钢腐蚀速率的测量结果。可以明显看出,当O2浓度恒定时,即使微量的O2(1.50×10-6),也能显著地加速碳钢的腐蚀,腐蚀速率甚至可以达到200 mm/a (C75碳钢在恒定O2浓度为3.50×10-4时),见图7a。相比手动O2注入,在O2浓度恒定的情况下,13Cr不锈钢的腐蚀速率也明显增大,见图7b。

图7   碳钢及13Cr不锈钢在动态注入O2条件下的腐蚀速率

Fig.7   Corrosion rates of carbon steels (a) and 13Cr steel (b) in the supercritical CO2 conditions with dynamic injection of O2

然而,即使在这种情况下,2205及904L不锈钢仍旧表现出很好的耐蚀性,腐蚀速率低于0.01 mm/a,这主要是因为两种不锈钢中含有较高含量的Cr和Ni合金元素,从而提高了耐蚀性。根据以往研究成果[20]-[22],在O2存在时,不锈钢表面可以生成致密性的Cr和Ni氧化膜 (如Cr2O3,NiFe2O4和Ni(1-x)FexCr2O4等),这些氧化膜对基体具有很好的保护作用,因而CrNi不锈钢的腐蚀速率很小,表现出极好的耐蚀性。

4 讨论

钢在CO2环境中的腐蚀是一个由阴、阳极反应组成的电化学反应过程[5]

在无氧CO2腐蚀系统中,阴极反应为:

CO2+H2O+2eCO32-+H2

阳极反应为Fe的溶解:

FeFe2++2e

总的CO2腐蚀反应为:

Fe+H2O+CO2FeCO3+H2)

当O2存在于CO2腐蚀系统中时,除了式 (2)~ (4) 的反应外,O2也将参与下面的阴极反应[10]

O2+2H2O+4e4OH-

此时阳极反应仍为式 (3) 所示的Fe基体的溶解。反应 (5) 产生的OH-与反应 (3) 产生的Fe2+首先结合生成Fe(OH)2

Fe2++2OH-Fe(OH)2

由于O2为强氧化剂,Fe(OH)2进一步氧化成Fe(OH)3

4Fe(OH)2+2H2O+O24Fe(OH)3

部分Fe(OH)3会脱水生成Fe2O3铁锈:

2Fe(OH)3Fe2O3+3H2O

式 (2)~(8) 所示的腐蚀反应往往伴随着FeCO3,Fe(OH)3和Fe2O3等腐蚀产物的生成。研究[5]-[8,16,23]表明,FeCO3保护膜的存在可以显著减弱CO2腐蚀的进程,其覆盖在样品表面阻碍溶液中的HCO3-和CO32-向金属表面扩散,从而可以保护它下面的金属免遭进一步的腐蚀破坏。然而当生成Fe(OH)3和Fe2O3沉淀时,由于它们不溶于水,从而使阳极处的Fe2+浓度显著降低,使得溶液中阴阳离子浓度的平衡被破坏。为了保持平衡,阳极反应不得不继续进行,从而将加剧钢的腐蚀。

在本研究中,当O2浓度为1.37×10-3时,这部分O2将会被腐蚀反应快速地消耗掉 (见图1a),导致剩余的绝大部分腐蚀过程中只有CO2的参与,这跟无氧系统是类似的,因此,这时钢的腐蚀速率与无氧时差别不大。当O2浓度继续升高时 (如2.69×10-3),它将逐渐在腐蚀反应中起主导作用 (见反应 (5)),因而加速碳钢的腐蚀。这主要是因为,钢在CO2环境中的腐蚀速率主要取决于电化学反应的速率,而O2参与的阴极反应 (5) 速率远远高于CO2参与的阴极反应 (2) 速率[10,19]。根据Finnegan等[19]的研究结果,在同等浓度的情况下,O2对钢的腐蚀性约是CO2的20倍,因此,CO2与O2共同存在时钢的腐蚀速率往往会高于纯CO2时的。另外,在O2存在的情况下,保护性的FeCO3腐蚀产物膜很难形成,因为FeCO3的形成是一个过饱和过程,只有[Fe2+][CO32-]的溶度积超过FeCO3的溶解度时,固体FeCO3才会沉积在样品表面形成腐蚀产物膜。由于O2是强氧化剂,当O2存在时,Fe溶解产生的Fe2+会很快被氧化为Fe3+。这在O2浓度恒定的实验中更为明显,由于这时溶液中有足够的O2,Fe2+就会源源不断地转化为Fe3+,从而使得溶液中的Fe2+浓度很难积累到FeCO3沉积所需的饱和浓度,因而也就无法形成保护性的FeCO3膜,只能生成对基体保护性很弱的Fe(OH)3和Fe2O3等腐蚀产物,这就是为什么当O2浓度恒定时,即使微量O2 (1.50×10-6) 也能显著地加速碳钢和13Cr不锈钢腐蚀的原因。

然而,在O2浓度很高时,式 (5) 所示的阴极反应驱动力显著增大,反应速率大大增加,导致溶液中OH-的浓度升高,溶液pH值上升。根据溶液pH值与金属电极电势E的关系曲线图 (pH-E图),随着pH值的升高,金属更容易进入钝化区。另外,研究[23]-[25]表明,溶液pH值的升高将促进腐蚀产物膜的沉积,从而提高腐蚀产物膜对基体的保护性,降低腐蚀速率。高浓度的O2非但不能加速钢的腐蚀,反而表现出钝化效果,这与很多研究[17]-[19,26,27]中观察到的现象是类似的。

综上所述,当O2存在于超临界CO2腐蚀系统中时,它将参与腐蚀反应,进而影响CO2腐蚀的进程。O2对超临界CO2条件下钢的腐蚀速率的影响,主要取决于它的浓度。当一定浓度的O2存在 (如低浓度的O2) 抑制了FeCO3保护膜的形成并生成非保护性的铁氧化物时,会加速钢的腐蚀;而当O2加强了腐蚀产物膜的保护性 (如高浓度的O2) 时,钢的腐蚀将会减弱。

5 结论

(1) 当超临界CO2中O2浓度恒定时,即使是微量O2(1.50×10-6) 也能显著地加速碳钢的腐蚀,腐蚀速率大于100 mm/a。在这种情况下,13Cr不锈钢的腐蚀速率也明显增加。

(2) 当O2浓度很高时 (5.70×10-2),钢出现钝化现象。与不含O2时相比,无论碳钢还是不锈钢,腐蚀速率均降低。

(3) 在超临界CO2腐蚀系统中,无论是否含有O2,2205和904L不锈钢均表现出很好的耐蚀性,腐蚀速率低于0.01 mm/a。


/