冷喷涂制备TC4-WC涂层的组织及耐蚀性能研究 |
| 于宝义, 梅桐, 郑黎, 常东旭, 吉梅琳 |
|
Microstructure and Corrosion Performance of Cold Sprayed TC4-WC Coatings |
| YU Baoyi, MEI Tong, ZHENG Li, CHANG Dongxu, JI Meilin |
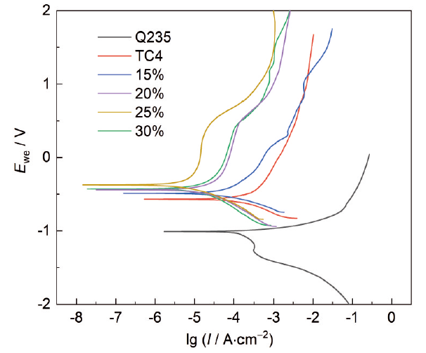
| 图5 Q235基体以及WC含量不同的TC4-WC涂层在3.5%NaCl水溶液中的动电位极化曲线 |
| Fig.5 Potentiodynamic polarization curves of Q235 substrate and TC4-WC coatings with different volume fractions of WC in 3.5%NaCl aqueous solution |
|