咪唑啉衍生物与硫脲对X65钢在惰性沉积物垢下腐蚀的缓蚀机理研究 |
| 盖明月, 张静, 王崇坤, 李秀美 |
|
Corrosion Inhibition Performance of Imidazoline Derivatives and Thiourea on X65 Steel Under Inert Deposits Scale in an Artificial CO2 Saturated Oilfield Produced Water |
| GAI Mingyue, ZHANG Jing, WANG Chongkun, LI Xiumei |
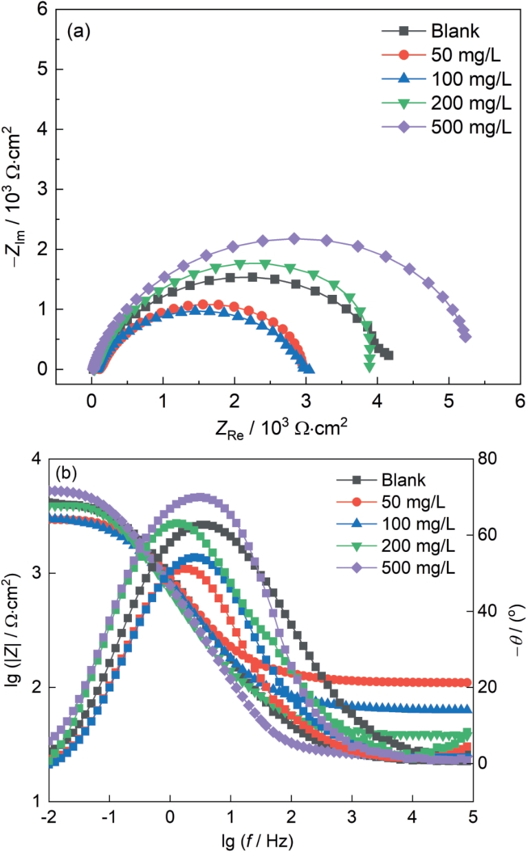
| 图4 SiO2垢下电极在不同浓度的IM缓蚀溶液中浸泡72 h的EIS谱图 |
| Fig.4 Nyquist (a) and Bode (b) plots of X65 electrode covered with SiO2 after immersion for 72 h in simulated solutions containing different concen-trations of IM |
|