构筑角度和支撑对增材制造AlSi10Mg合金腐蚀行为影响 |
| 季磊, 张震, 王利卿, 李云龙, 马凯, 赵占勇, 白培康 |
|
Influence of Construction Angle and Supporter on Corrosion Behavior of AlSi10Mg Alloy Prepared by Laser Additive Manufacturing |
| JI Lei, ZHANG Zhen, WANG Liqing, LI Yunlong, MA Kai, ZHAO Zhanyong, BAI Peikang |
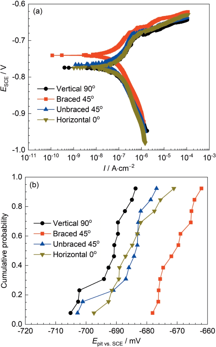
| 图8 不同AlSi10Mg合金样品在3.5%NaCl溶液中的动电位极化曲线及相对应的点蚀电位累计概率分布图 |
| Fig.8 Polarization curves (a) and corresponding cumul-ative probability distributions of pitting potentials (b) for four AlSi10Mg alloy samples in 3.5%NaClsolution |
|