激光粉末床熔融成形CoCrNi中熵合金的高温热腐蚀行为 |
| 周小包, 王子腾, 任延杰, 董少阳, 甘浪, 李聪 |
|
Hot Corrosion Behavior of CoCrNi Medium-entropy Alloys Fabricated by Laser Powder Bed Fusion |
| ZHOU Xiaobao, WANG Ziteng, REN Yanjie, DONG Shaoyang, GAN Lang, LI Cong |
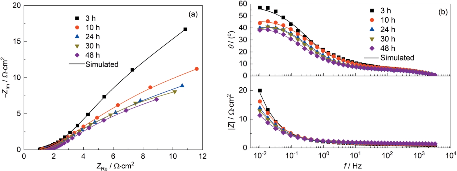
| 图5 LPBF CoCrNi MEA在高温盐膜腐蚀下的阻抗特征 |
| Fig.5 Nyquist plots (a) and Bode plots (b) of EIS spectrum of LPBF CoCrNi MEAs under salt film corrosion |
|