激光定向能量沉积17-4PH不锈钢钝化与点蚀行为研究 |
| 谷清宇, 宋雁飞, 张亮亮, 王楠, 雷晓维 |
|
Passivation and Pitting Corrosion Behavior of Laser Directed Energy Deposited 17-4PH Stainless Steel |
| GU Qingyu, SONG Yanfei, ZHANG Liangliang, WANG Nan, LEI Xiaowei |
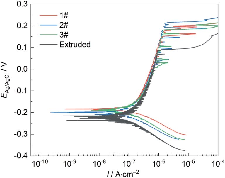
| 图5 17-4PH不锈钢在3.5%NaCl溶液中的动电位极化曲线 |
| Fig.5 Potentiodynamic polarization curves of 17-4PH stainless steel in 3.5%NaCl solution |
|