细晶FH40船用低温钢在海水-海冰中耦合失效行为研究 |
| 孙士斌, 高浩, 常雪婷, 王东胜 |
|
Failure Behavior of Fine-grained FH40 Marine Low-temperature Steel in Conditions of Coupling Effect of Seawater-sea Ice |
| SUN Shibin, GAO Hao, CHANG Xueting, WANG Dongsheng |
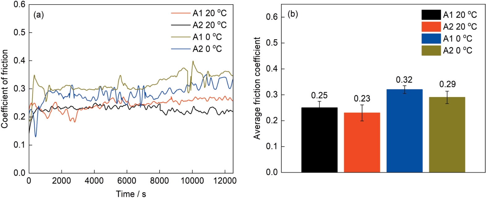
| 图3 2种FH40钢样在0 ℃和20 ℃海水介质中摩擦系数 |
| Fig.3 Friction coefficient vs. time curves (a) and average friction coefficients (b) of A1 and A2 during friction in seawater medium at 0 oC and 20 oC |
|