模拟浅海及深海环境中阴极极化对10CrNi5MoV钢氢脆敏感性的影响 |
| 项琦峰, 赵阳, 张涛, 王福会 |
|
Influence of Cathodic Polarization on Hydrogen Embrittlement Susceptibility of 10CrNi5MoV Steel in Simulated Shallow-sea and Deep-sea Environment |
| XIANG Qifeng, ZHAO Yang, ZHANG Tao, WANG Fuhui |
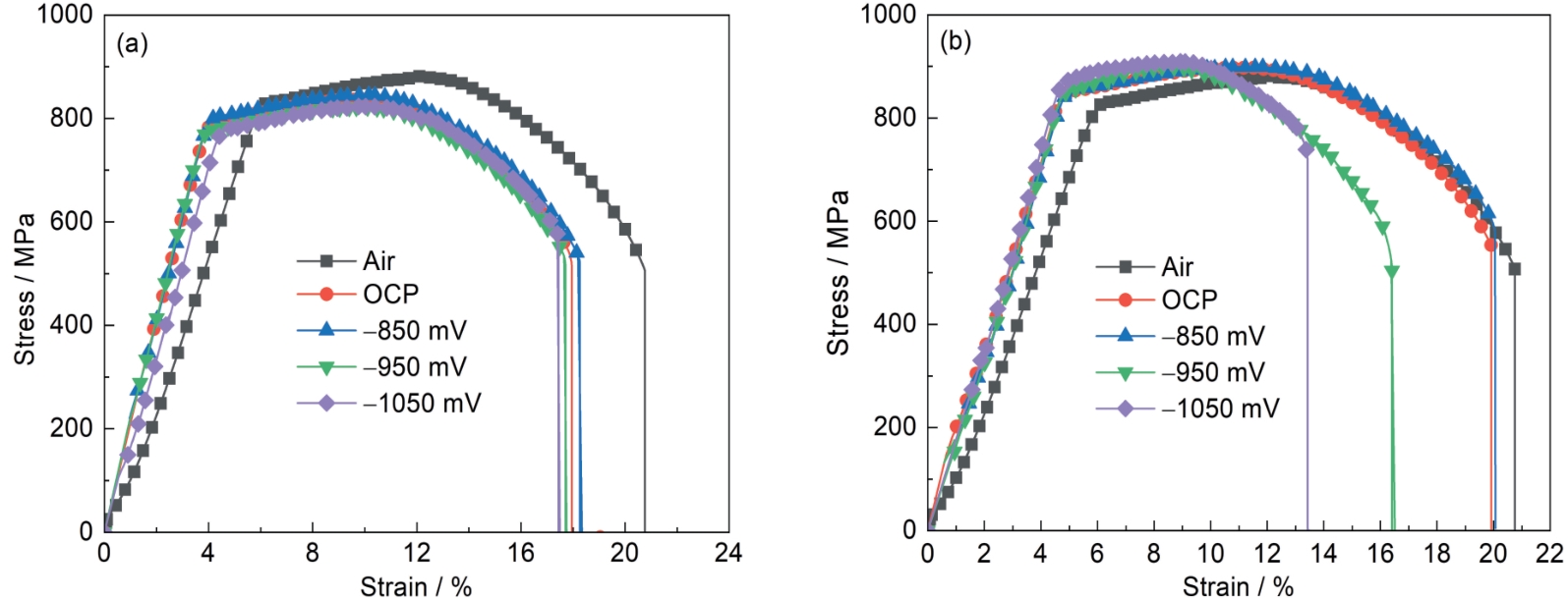
| 图8 10CrNi5MoV钢在浅海和深海环境中不同极化电位下的应力-应变曲线 |
| Fig.8 Stress-strain curves of 10CrNi5MoV steel at OCP and different cathodic polarization potentials in the shallow-sea (a) and deep-sea (b) environment |
|