模拟浅海及深海环境中阴极极化对10CrNi5MoV钢氢脆敏感性的影响 |
| 项琦峰, 赵阳, 张涛, 王福会 |
|
Influence of Cathodic Polarization on Hydrogen Embrittlement Susceptibility of 10CrNi5MoV Steel in Simulated Shallow-sea and Deep-sea Environment |
| XIANG Qifeng, ZHAO Yang, ZHANG Tao, WANG Fuhui |
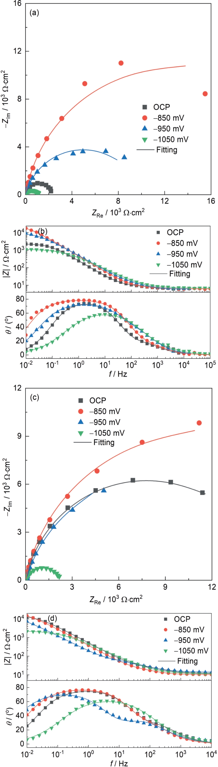
| 图5 浅海和深海不同极化电位下10CrNi5MoV钢的Nyquist与Bode图 |
| Fig.5 Nyquist (a, c) and Bode (b, d) plots of 10CrNi5-MoV steel at OCP and different cathodic polarization potentials in the simulated shallow-sea (a, b) and deep-sea (c, d) environment |
|