模拟液滴电导率变化对碳钢大气腐蚀的影响机制研究 |
| 李兆南, 侯禹岑, 莒鹏, 庄铁钢, 陈景杰, 王明昱, 徐云泽 |
|
Influence of Simulated Electrolyte Droplets with Varied Conductivity on Atmospheric Corrosion of Carbon Steel |
| LI Zhaonan, HOU Yucen, JU Peng, ZHUANG Tiegang, CHEN Jingjie, WANG Mingyu, XU Yunze |
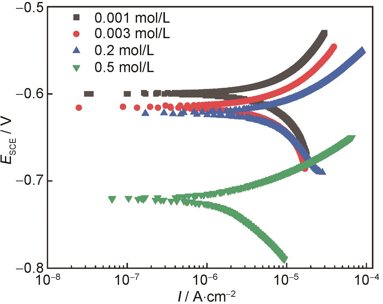
| 图2 在不同浓度的NaCl溶液中Q355b碳钢的极化曲线 |
| Fig.2 Polarization curves of Q355b carbon steel in NaCl solutions with different concentration |
|