盐碱地环境下铁尾矿基地聚物中钢筋锈蚀行为 |
| 刘硕, 吴立朋, 李京伦, 邢金正, 李赛 |
|
Corrosion Behavior of Steel Rebar in Iron Tailings-based Geopolymers in Saline-Alkali Environment |
| LIU Shuo, WU Lipeng, LI Jinglun, XING Jinzheng, LI Sai |
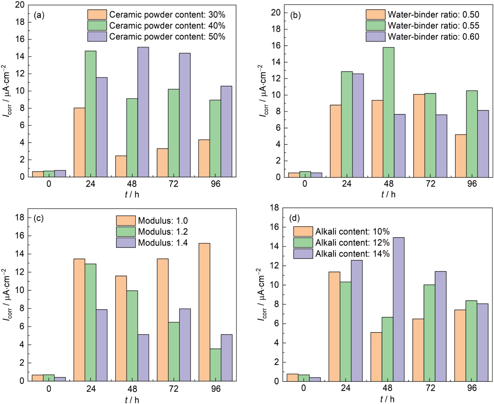
| 图13 不同陶瓷粉掺量、水胶比、模数及碱掺量试块的腐蚀电流密度 |
| Fig.13 Corrosion current densities of test blocks with different ceramic powder contents (a), water-binder ratios (b), moduli (c) and alkali contents (d) |
|