盐碱地环境下铁尾矿基地聚物中钢筋锈蚀行为 |
| 刘硕, 吴立朋, 李京伦, 邢金正, 李赛 |
|
Corrosion Behavior of Steel Rebar in Iron Tailings-based Geopolymers in Saline-Alkali Environment |
| LIU Shuo, WU Lipeng, LI Jinglun, XING Jinzheng, LI Sai |
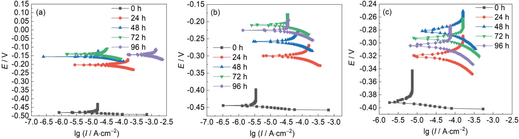
| 图12 不同电加速腐蚀时间下陶瓷粉掺量30%、40%及50%试块的Tafel极化曲线 |
| Fig.12 Tafel polarization curves of test blocks with ceramic powder contents of 30% (a), 40% (b) and 50% (c) after electro-lytic accelerated corrosion for different time |
|