超临界水环境中汽轮机阀门材料氧化特性研究 |
| 王芬玲, 尚丽梅, 张乃强, 朱忠亮 |
|
Oxidation Behavior of Valve Materials Used in Steam Turbine in Supercritical Water Environment |
| WANG Fenling, SHANG Limei, ZHANG Naiqiang, ZHU Zhongliang |
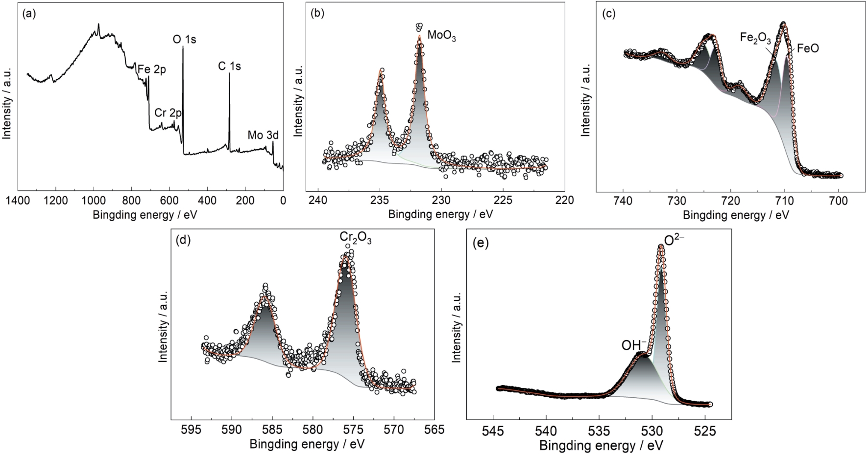
| 图22 600 ℃超临界水环境F92钢氧化3000 h后表面氧化物的XPS谱 |
| Fig.22 XPS full spectrum of the oxide scale of F92 steel oxidized in SCW for 3000 h at 600 ℃ (a), and fine peaks of Mo 3d (b), Fe 2p (c), Cr 2p (d), and O 1s (e) |
|