超临界水环境中汽轮机阀门材料氧化特性研究 |
| 王芬玲, 尚丽梅, 张乃强, 朱忠亮 |
|
Oxidation Behavior of Valve Materials Used in Steam Turbine in Supercritical Water Environment |
| WANG Fenling, SHANG Limei, ZHANG Naiqiang, ZHU Zhongliang |
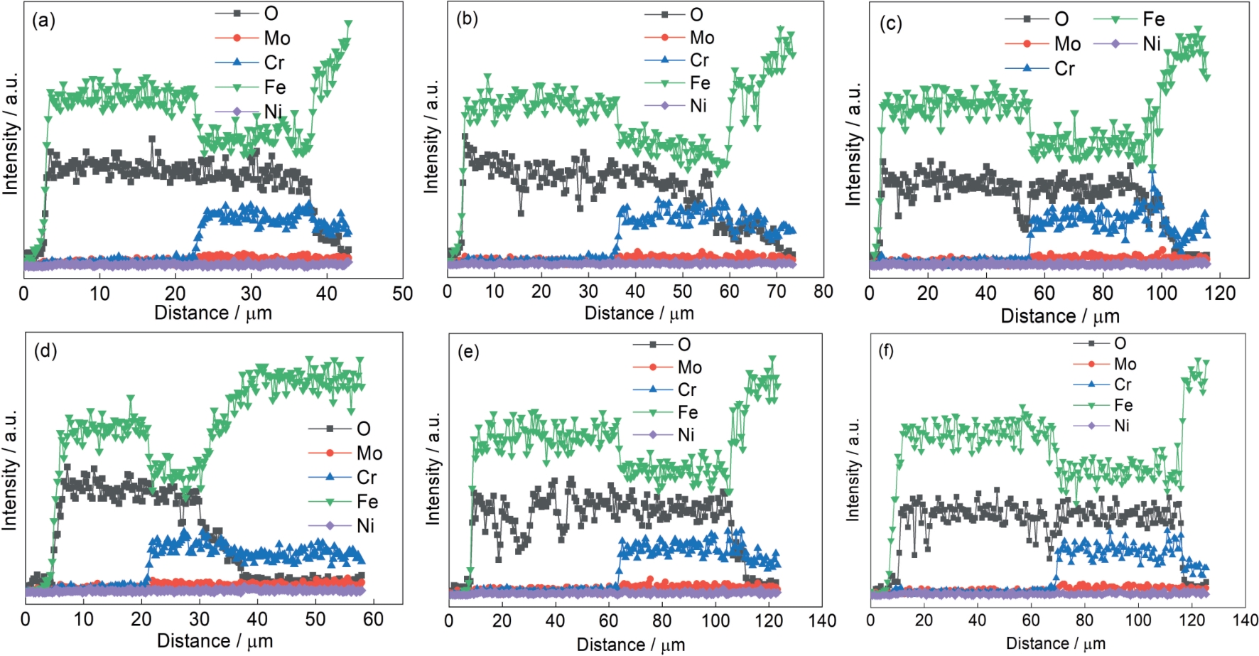
| 图10 600和620 ℃超临界水中F91钢氧化不同时间后氧化膜内元素分布 |
| Fig.10 Depth profiles of various elements in the oxide scales formed on F91 steel after oxidation in SCW at 600 ℃-100 h (a), 600 ℃-1000 h (b), 600 ℃-3000 h (c), 620 ℃-100 h (d), 620 ℃-1000 h (e) and 620 ℃-3000 h (f) |
|