热处理工艺对Al0.5CoCrFeNi高熵合金在不同介质下腐蚀行为及力学性能的影响 |
| 段敬民, 董勇, 缪东美, 杨玉婧, 毛凌波, 章争荣 |
|
Corrosion Behavior in Different Media and Mechanical Properties of Al0.5CoCrFeNi High-entropy Alloy After Heat Treatment |
| DUAN Jingmin, DONG Yong, MIAO Dongmei, YANG Yujing, MAO Lingbo, ZHANG Zhengrong |
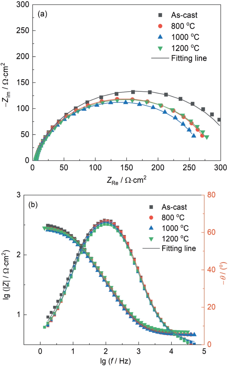
| 图9 铸态和轧制后不同温度热处理态合金在0.5 mol/L H2SO4溶液中的阻抗谱 |
| Fig.9 Nyquist (a) and Bode (b) plots of as-cast alloy and as-rolled alloys with heat treatment at different temperatures in 0.5 mol/L H2SO4 solution |
|