花生壳提取物对冷轧钢在盐酸溶液中的缓蚀作用及机理 |
| 仇莉, 李向红, 雷沙, 郭崎, 邓书端 |
|
Corrosion Inhibition of Peanut Shell Extract on Cold Rolled Steel in Hydrochloric Acid Solution |
| QIU Li, LI Xianghong, LEI Sha, GUO Qi, DENG Shuduan |
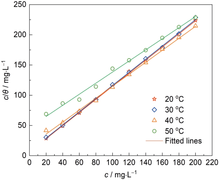
| 图3 不同温度下1.0 mol/L HCl溶液中c/θ-c关系 |
| Fig.3 Relationship of c/θ-c in 1.0 mol/L HCl solution at different temperatures |
|