氢扩散模型对临氢结构裂尖氢浓度计算影响 |
诸滔, 孙浩翔, 周亚洪, 赵宇航, 王艳飞 |
Effect of Hydrogen Diffusion Model on Hydrogen Concentration Calculation Around a Crack Tip in Hydrogen-exposed Structures |
ZHU Tao, SUN Haoxiang, ZHOU Yahong, ZHAO Yuhang, WANG Yanfei |
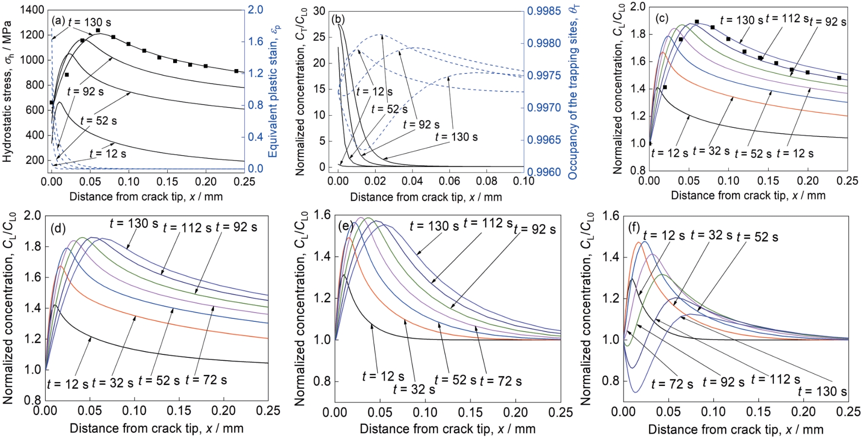
图3 低强度钢裂尖附近静水应力、塑性变形和氢浓度随加载时间的变化 |
Fig.3 Hydrostatic stress, plastic strain and hydrogen concentration near crack tip varying with loading time of low strength steel. (a) hydrostatic stress and plastic strain; (b) normalized hydrogen concentration in trap sites and occupancy in trapping sites of slow diffusion case; (c) and (e) normalized NILS hydrogen concentration corresponding to fast and slow diffusion without hydrogen trapping, respectively; (d) and (f) normalized NILS concentration corresponding to fast and slow diffusion with hydrogen trapping, respectively |
![]() |