搪瓷涂层在600 ℃熔融MgCl2-NaCl-KCl中热腐蚀行为研究 |
| 杨啸东, 李雪, 喻政, 杨莎莎, 陈明辉, 王福会 |
|
Corrosion Behavior of Enamel Coatings in Molten Salts MgCl2-KCl-NaCl at 600 oC |
| YANG Xiaodong, LI Xue, YU Zheng, YANG Shasha, CHEN Minghui, WANG Fuhui |
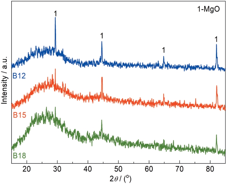
| 图5 搪瓷涂层在600 ℃下MgCl2-KCl-NaCl熔盐中腐蚀500 h后的XRD谱 |
| Fig.5 XRD spectra of three enamel coatings after hot corrosion in molten MgCl2-KCl-NaCl at 600 oC for 500 h |
|