K444合金表面CVD渗铝涂层耐高温95%Na2SO4 + 5%NaCl腐蚀行为研究 |
| 王粤, 耿树江, 王金龙, 王福会, 孙清云, 吴勇, 夏思瑶 |
|
Corrosion Resistance of CVD Aluminized Coating on K444 Alloy Beneath a Thin Deposits of 95%Na2SO4 + 5%NaCl at High Temperature |
| WANG Yue, GENG Shujiang, WANG Jinlong, WANG Fuhui, SUN Qingyun, WU Yong, XIA Siyao |
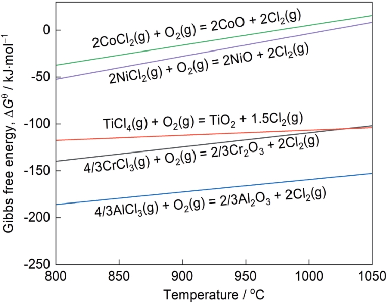
| 图16 金属氯化物与氧气反应的Ellingham-Richardson图 |
| Fig.16 Ellingham-Richardson diagram of the reactions between metal chloride and oxygen |
|