T2铜合金和Q235钢在模拟北山地下水环境中的电偶腐蚀行为研究 |
庞洁, 刘相局, 刘娜珍, 侯保荣 |
Galvanic Corrosion of T2 Cu-alloy and Q235 Steel in Simulated Beishan Groundwater Environment |
PANG Jie, LIU Xiangju, LIU Nazhen, HOU Baorong |
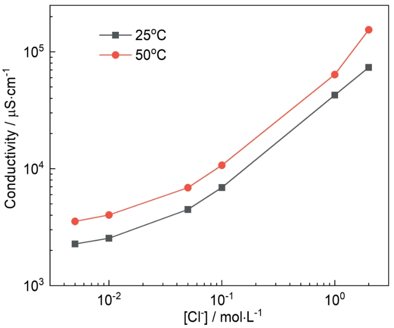
图6 不同温度下实验溶液电导率随Cl-浓度的变化 |
Fig.6 Variations of electrical conductivity of the test solution with Cl- concentration at 25oC and 50oC |
![]() |