温度对核电站用42CrMoE低合金钢在硼酸模拟液中腐蚀行为的影响 |
杨成, 杨广明, 王建军, 苗学良, 张译, 孙宝壮, 刘智勇 |
Effect of Temperature on Corrosion Behavior of 42CrMoE Low-alloy Steel in Boric Acid Solution |
YANG Cheng, YANG Guangming, WANG Jianjun, MIAO Xueliang, ZHANG Yi, SUN Baozhuang, LIU Zhiyong |
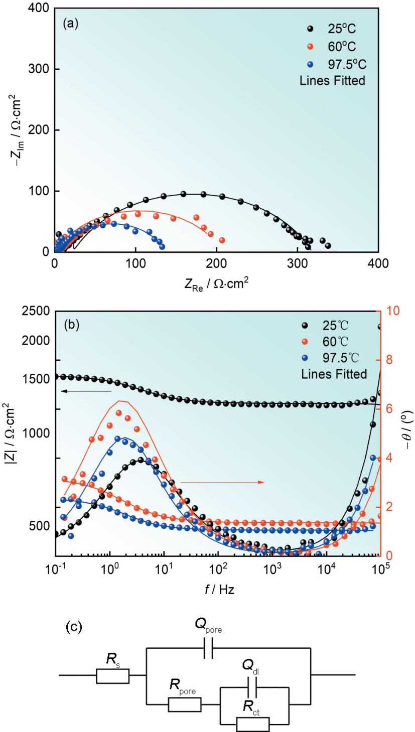
图2 42CrMoE钢在不同温度下8800 mg/L硼酸溶液中的EIS和等效电路 |
Fig.2 Nyquist (a) and Bode (b) plots of 42CrMoE steel in 8800 mg/L boric acid solution at different temperatures and equivalent circuit diagram (c) |
![]() |