F55双相不锈钢在800~1000℃纯氧气中的高温氧化行为 |
吴铭, 任延杰, 马灼春, 张思甜, 陈荐, 牛焱 |
High Temperature Oxidation Behavior of F55 Super Duplex Stainless Steel at 800-1000oC in 1.013×105 Pa O2 |
WU Ming, REN Yanjie, MA Zhuochun, ZHANG Sitian, CHEN Jian, NIU Yan |
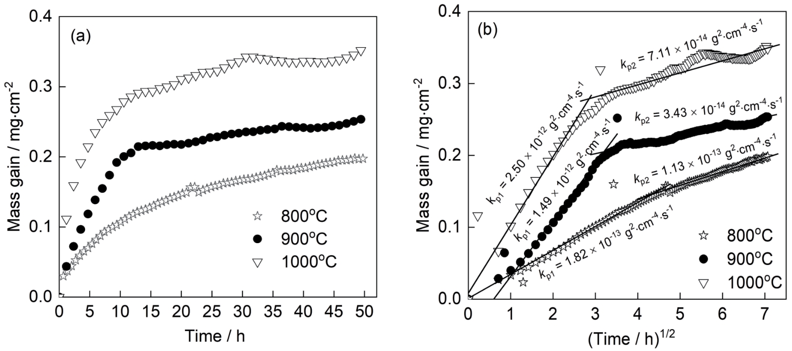
图2 F55双相钢在不同温度下1.013×105 Pa O2中氧化50 h的动力学曲线 |
Fig.2 Kinetic curves of F55 duplex stainless steel during oxidation in 1.013×105 Pa O2 at 800, 900 and 1000oC for 50 h: (a) linear plots, (b) parabolic plots |
![]() |