时效处理对马氏体时效硬化不锈钢显微组织和局部腐蚀性能的影响 |
| 洪孝木, 王永强, 李娜, 田凯, 杜娟 |
|
Effect of Aging on Microstructures and Localized Corrosion of Custom455 Martensitic Age-hardening Stainless Steel |
| HONG Xiaomu, WANG Yongqiang, LI Na, TIAN Kai, DU Juan |
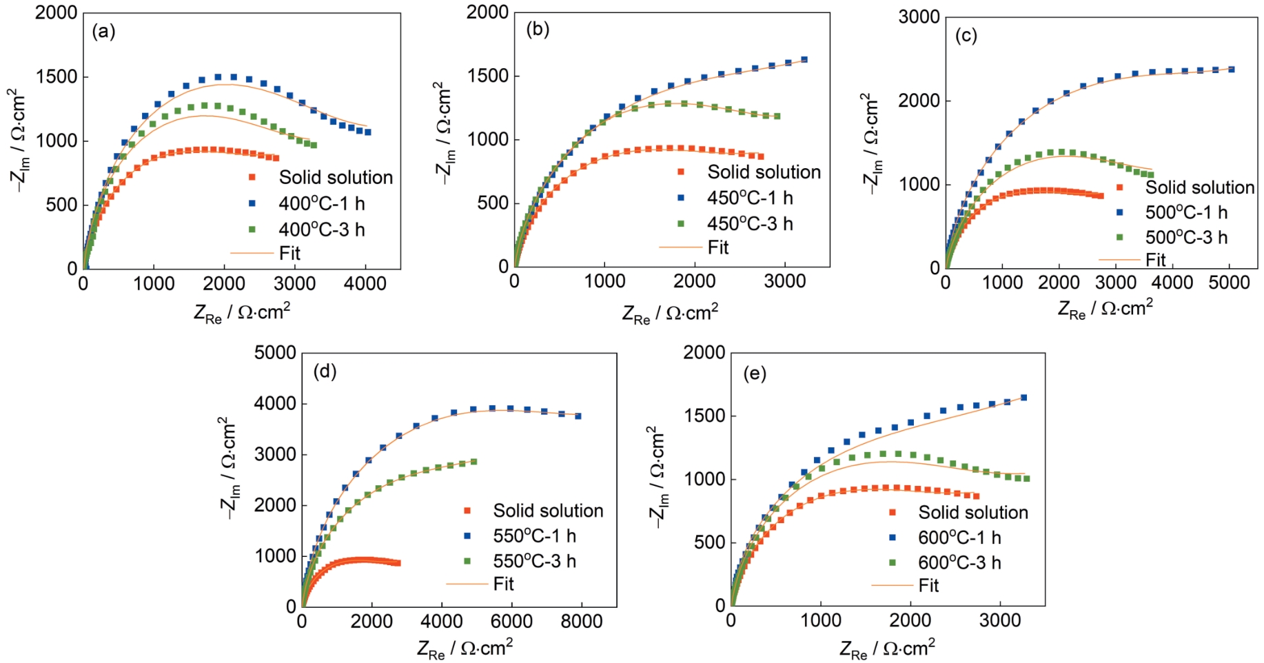
| 图12 试样经过不同温度时效处理后的Nyquist图 |
| Fig.12 Nyquist plots of Custom455 steel after aging treatments for 1 and 3 h at 400oC (a), 450oC (b), 500oC (c), 550oC (d) and 600oC (e) |
|