时效处理对马氏体时效硬化不锈钢显微组织和局部腐蚀性能的影响 |
洪孝木, 王永强, 李娜, 田凯, 杜娟 |
Effect of Aging on Microstructures and Localized Corrosion of Custom455 Martensitic Age-hardening Stainless Steel |
HONG Xiaomu, WANG Yongqiang, LI Na, TIAN Kai, DU Juan |
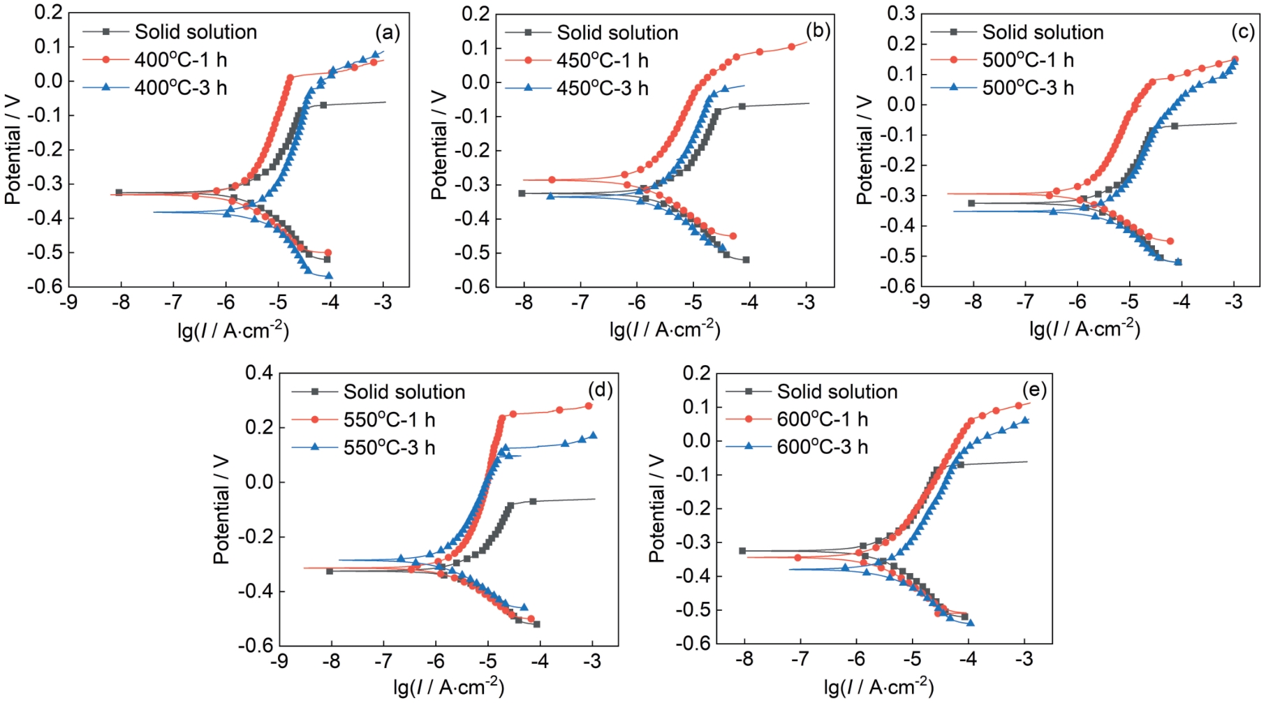
图8 不同温度时效处理1和3 h试样的极化曲线 |
Fig.8 Polarization curves of Custom455 steel aged for 1 and 3 h at 400oC (a), 450oC (b), 500oC (c), 550oC (d) and 600oC (e) |
![]() |