环境友好防腐材料-聚苯胺纳米复合材料的制备及其研究进展 |
| 李红玲, 郎五可 |
|
Environmentally Friendly Anticorrosive Materials-Preparation and Research Progress of Polyaniline Nanocomposites |
| LI Hongling, LANG Wuke |
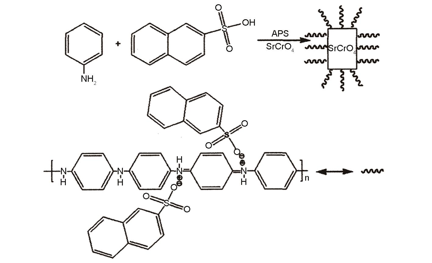
| 图3 β-萘磺酸掺杂聚苯胺的合成示意图[ |
| Fig.3 Synthesis of l-naphthalene sulfonic acid doped polyaniline[ |
|