流动海水冲刷下TA2纯钛管路钝化膜腐蚀特性研究 |
彭文山, 邢少华, 钱峣, 蔺存国, 侯健, 张大磊 |
Effect of Flowing Seawater on Corrosion Characteristics of Passivation Film on TA2 Pure-Ti Pipes |
PENG Wenshan, XING Shaohua, QIAN Yao, LIN Cunguo, HOU Jian, ZHANG Dalei |
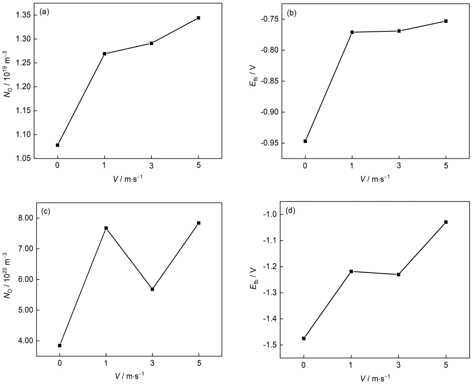
图7 不同流速下TA2试样的施主密度和平带电位 |
Fig.7 Donor density (a, c) and flat band potential (b, d) of TA2 samples at different flow rates: (a, b) polishing, (c, d) passivation |
![]() |