2A97铝锂合金典型防护涂层热带海洋大气环境腐蚀老化行为 |
| 贾静焕, 刘明, 骆晨, 孙志华, 赵明亮, 李晓刚 |
|
Corrosion and Aging Behavior of 2A97 Al-Li Alloy with Typical Protective Coatings in Tropical Marine Atmosphere Environment |
| JIA Jinghuan, LIU Ming, LUO Chen, SUN Zhihua, ZHAO Mingliang, LI Xiaogang |
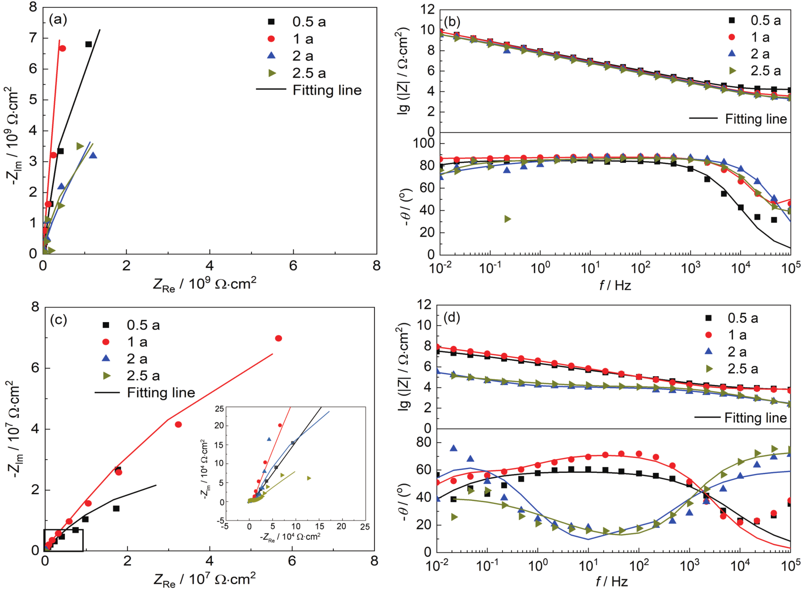
| 图7 涂层1和涂层2万宁自然环境试验站暴晒不同周期后电化学阻抗谱 |
| Fig.7 Electrochemical impedance spectra of coating 1 and coating 2 at Wanning Natural Environment Test Station after different periods of exposure: (a) Nyquist diagram of coating 1, (b) Bode diagram of coating 1, (c) Nyquist diagram of coating 2, (d) Bode diagram of coating 2 |
|