风-车流耦合作用下悬索桥吊索钢丝的双蚀坑损伤演化及疲劳寿命研究 |
何训, 吴梦雪, 尹力, 朱金 |
Damage Evolution and Fatigue Life of Steel Wire with Double Corrosion Pits for Suspension Bridge under Wind- and Traffic-loads |
HE Xun, WU Mengxue, YIN Li, ZHU Jin |
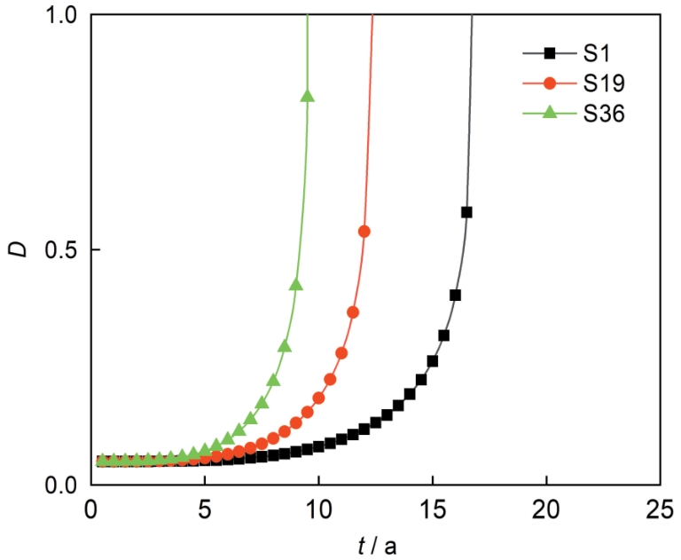
图12 不同位置吊索钢丝的损伤变量曲线 |
Fig.12 Damage degrees of suspender steel wire at different positions |
![]() |