风-车流耦合作用下悬索桥吊索钢丝的双蚀坑损伤演化及疲劳寿命研究 |
| 何训, 吴梦雪, 尹力, 朱金 |
|
Damage Evolution and Fatigue Life of Steel Wire with Double Corrosion Pits for Suspension Bridge under Wind- and Traffic-loads |
| HE Xun, WU Mengxue, YIN Li, ZHU Jin |
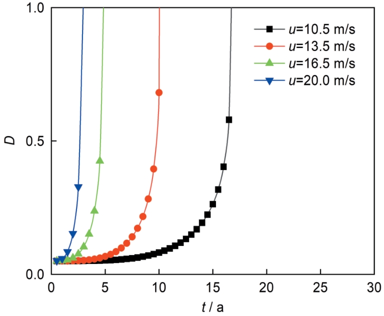
| 图10 不同风速下吊索钢丝的损伤变量曲线 |
| Fig.10 Damage degrees of suspender steel wire at different wind speeds |
|