| 珊瑚簇状SiO2 超滑防腐涂层的制备及性能研究 | 
| 张凯丽, 都俐俐, 谭军, 刘祥周, 马骥, 邱萍 | 
| Preparation and Properties of Slippery Anti-corrosion Coating Based on SiO2 with Coral Cluster Morphology | 
| ZHANG Kaili, DU Lili, TAN Jun, LIU Xiangzhou, MA Ji, QIU Ping | 
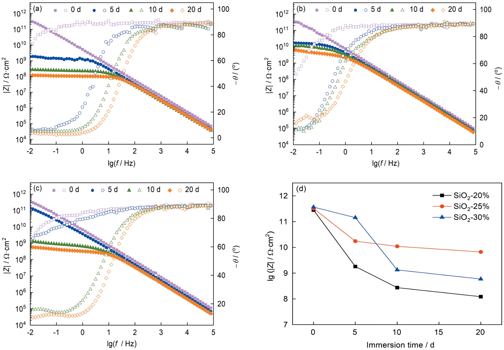
| 图9 各涂层电化学阻抗Bode图及低频模值 (|Z|0.01 Hz) 对比图 | 
| Fig.9 Bode plots of SiO2-20 (a), SiO2-25 (b), and SiO2-30 (c) super-lubricative coatings and comparison diagram of |Z|0.01 Hz values (d) | 
|   |