后热处理对不同含碳量SLM-316L不锈钢晶间腐蚀行为的作用机制研究 |
| 商强, 满成, 逄昆, 崔中雨, 董超芳, 崔洪芝 |
|
Mechanism of Post-heat Treatment on Intergranular Corrosion Behavior of SLM-316L Stainless Steel with Different Carbon Contents |
| SHANG Qiang, MAN Cheng, PANG Kun, CUI Zhongyu, DONG Chaofang, CUI Hongzhi |
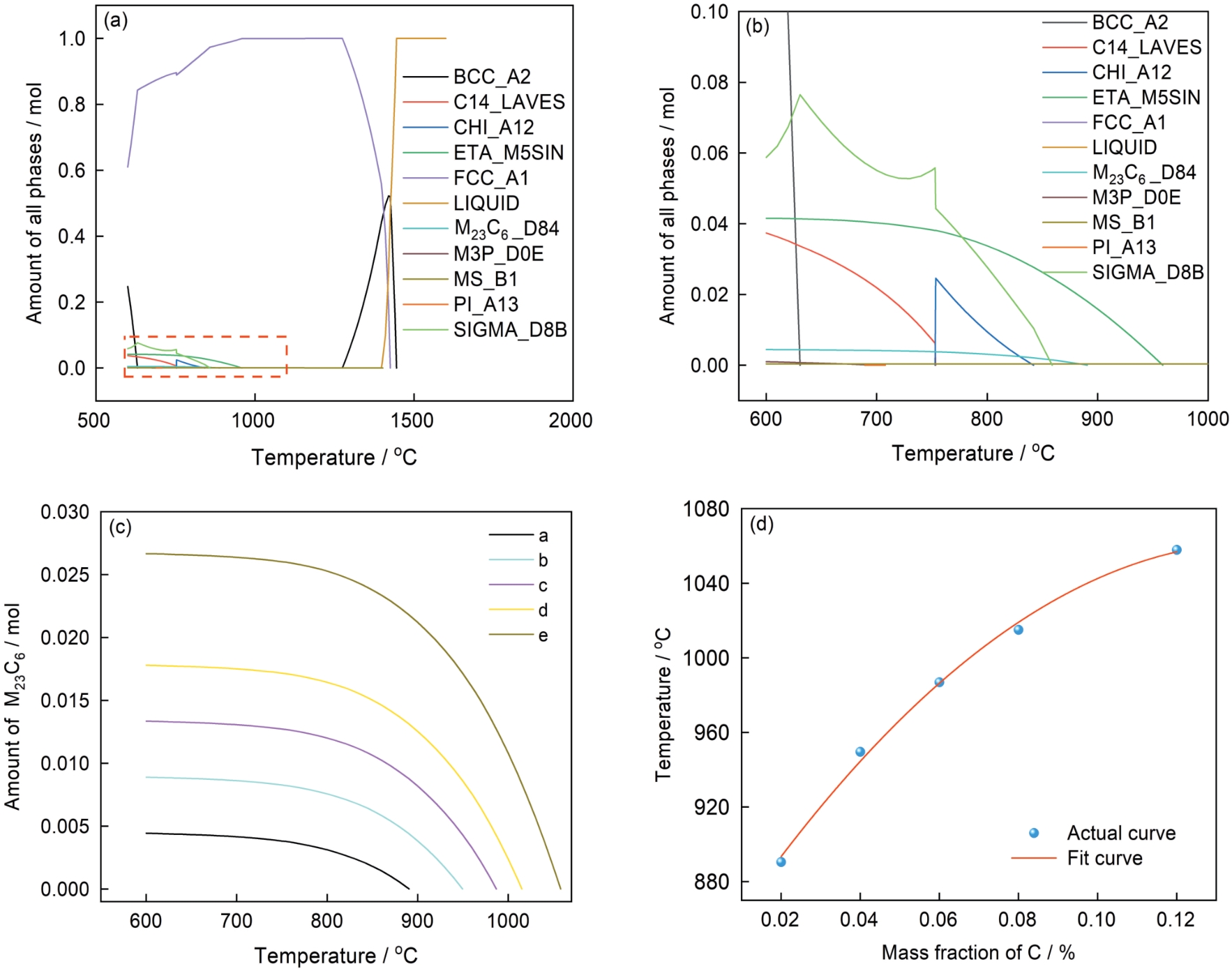
| 图1 不同碳含量316L不锈钢的Thermal-Calc计算结果 |
| Fig.1 Thermal-Calc results of the 316L stainless steels with different C contents: (a) thermodynamic equilibrium phase diagram, (b) magnified view of marked region in Fig.1a, (c) thermodynamic curves for M23C6, (d) relationship between the C content and solution temperature for M23C6 |
|