Pt/IrO x -pH超微电化学传感器性能探究及其在铜/不锈钢电偶腐蚀研究中的应用 |
| 张勤号, 朱泽洁, 蔡浩冉, 李鑫冉, 孟宪泽, 李昊, 伍廉奎, 罗荘竹, 曹发和 |
|
Performance of Pt/IrO x -pH Ultra-micro Electrochemical Sensor and its Application in Study of Galvanic Corrosion of Copper/Stainless Steel |
| ZHANG Qinhao, ZHU Zejie, CAI Haoran, LI Xinran, MENG Xianze, LI Hao, WU Liankui, LUO Zhuangzhu, CAO Fahe |
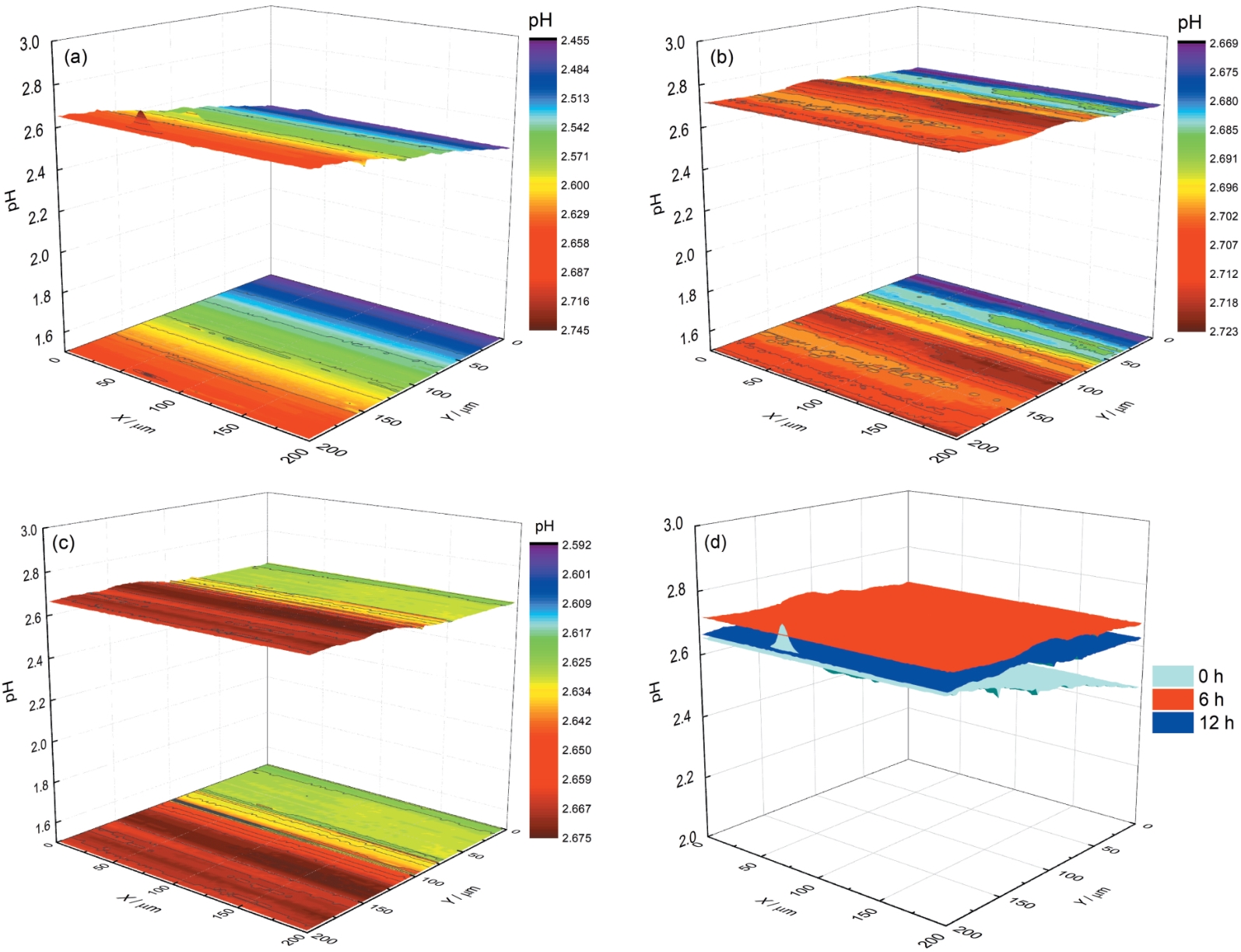
| 图5 304不锈钢在pH=2.00的3.5% NaCl溶液中不同浸泡时间面扫描结果及3个时间的面扫描对比图 |
| Fig.5 Surface scanning of 304 stainless steel in 3.5% NaCl solution with pH=2.00 after immersion for 0 h (a), 6 h (b), 12 h (c), and comparison of surface scanning of Pt/IrO x -pH microsensor electrode on 304 stainless steel with distance of 5 μm in the three immersion times (d) |
|