环氧树脂/有机硅氧烷改性阳离子丙烯酸乳液复合涂层的研究 |
| 邹文杰, 丁立, 张雪姣, 陈均 |
|
Epoxy/Organosiloxane Modified Cationic Acrylic Emulsion Composite Coating |
| ZOU Wenjie, DING Li, ZHANG Xuejiao, CHEN Jun |
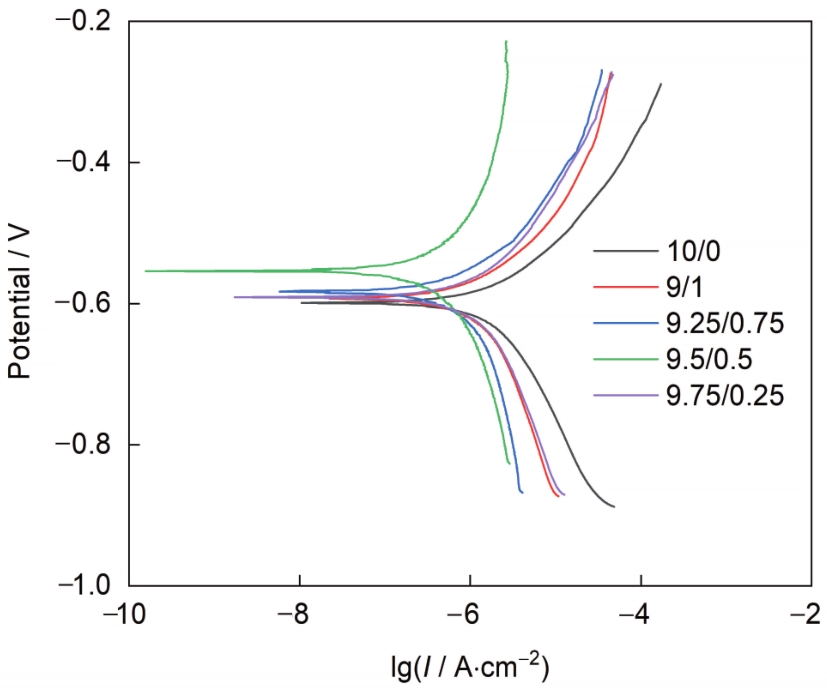
| 图9 不同比例SMCWA乳液/环氧树脂复合涂层的Tafel极化曲线 |
| Fig.9 Tafel polarization curves of composite coatings with different SMCWA emulsion/epoxy ratios |
|