液膜厚度对固态超滑表面在薄液膜下腐蚀行为的影响 |
| 任黄威, 廖伯凯, 崔琳晶, 项腾飞 |
|
Effect of Liquid Film Thickness on Corrosion Behavior of Solid Slippery Surface under Thin Liquid Film |
| REN Huangwei, LIAO Bokai, CUI Linjing, XIANG Tengfei |
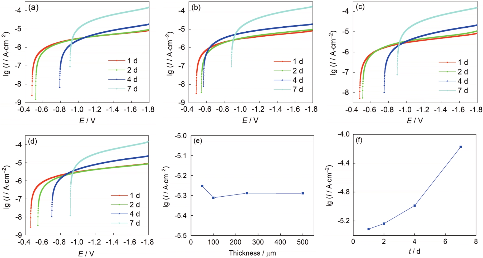
| 图4 SSS在各液膜厚度下不同浸泡时间的阴极极化曲线和-1.4 V下的极限扩散电流 |
| Fig.4 Cathodic polarization curves of SSS at different soaking time under 500 μm (a), 250 μm (b), 100 μm (c) and 50 μm (d) liquid film thicknesses and -1.4 V ultimatet diffusion current of different liquid film thicknesses at 1 d (e) and different soaking time under 100 μm liquid film thickness (f) |
|