椰油酸二乙醇酰胺对钢在三氯乙酸溶液中的缓蚀性能 |
| 仇莉, 李向红, 雷然, 邓书端 |
|
Inhibition Performance of Coconut Diethanolamide on Cold Rolled Steel in Trichloroacetic Acid Solution |
| QIU Li, LI Xianghong, LEI Ran, DENG Shuduan |
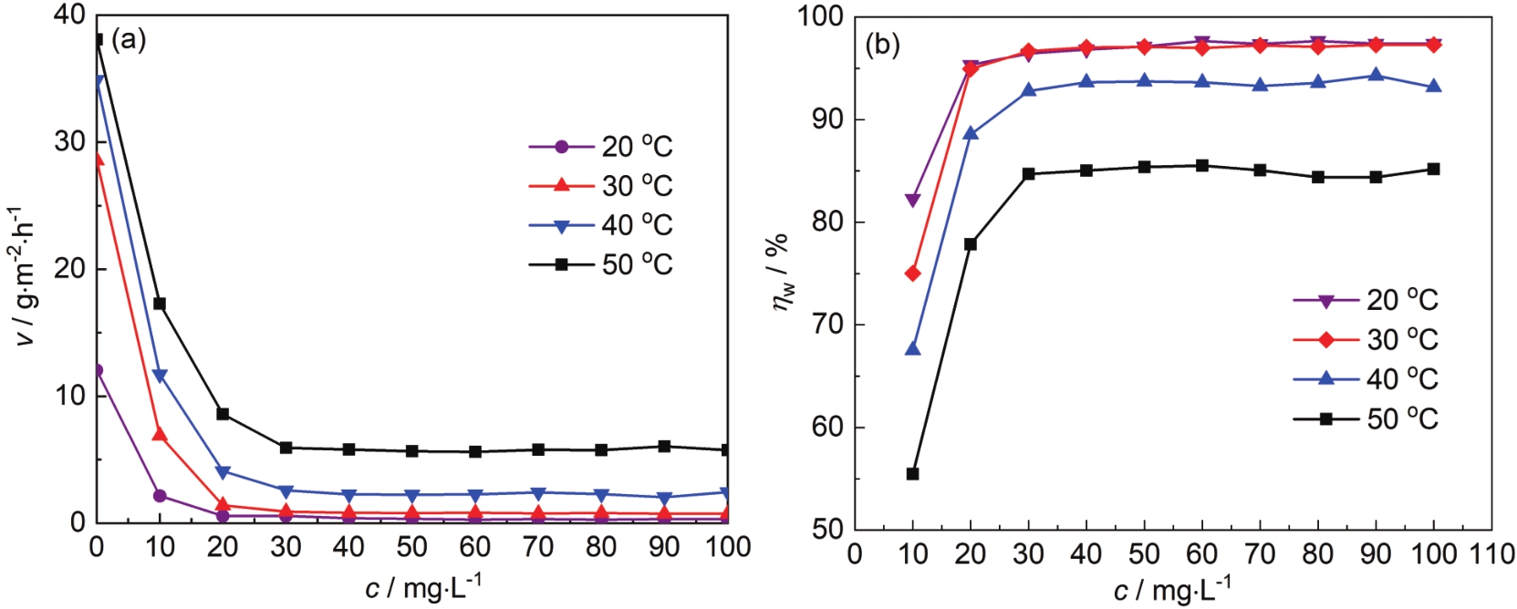
| 图2 20~50 ℃时0.10 mol/L Cl3CCOOH溶液中腐蚀速率 (v) 和缓蚀率 (ηw) 与CDEA浓度 (c) 的变化曲线 |
| Fig.2 Relationship between corrosion rate (v) (a) and inhibition efficiency (ηw) (b) with changing CDEA concen-tration (c) in 0.10 mol/L Cl3CCOOH solution at 20-50 ℃ |
|