温度对CO2饱和页岩气压裂液环境中N80和TP125V钢腐蚀行为影响研究 |
| 黄家和, 袁曦, 陈文, 闫文静, 金正宇, 柳海宪, 刘宏芳, 刘宏伟 |
|
Effect of Temperature on Corrosion Behavior of Pipeline Steels N80 and TP125V in Artificial CO2-saturated Fracturing Fluid of Shale Gas |
| HUANG Jiahe, YUAN Xi, CHEN Wen, YAN Wenjing, JIN Zhengyu, LIU Haixian, LIU Hongfang, LIU Hongwei |
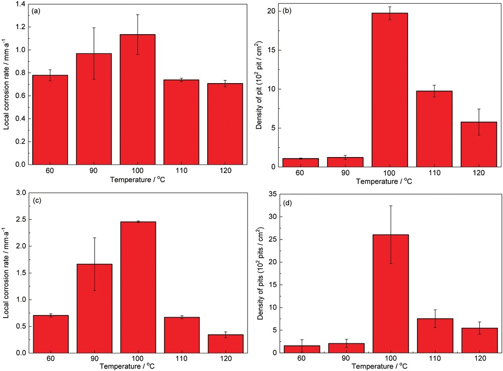
| 图7 由去除腐蚀产物后3D表面形貌图统计得到N80钢和TP125V钢局部腐蚀速率和点蚀坑密度 |
| Fig.7 Localized corrosion rates (a, c) and pit densities (b, d) obtained from 3D surface morphologies of N80 steel (a, b) and TP125V steel (c, d) after removing corrosion products |
|