三元Co-Ni-Al合金在800~1000 ℃纯氧中的氧化行为研究 |
| 任延杰, 吕云蕾, 戴汀, 郭晓慧, 陈荐, 周立波, 邱玮, 牛焱 |
|
Oxidation Behavior of Ternary Alloys Co-20Ni-3Al and Co-20Ni-5Al in 105 Pa O2 Atmosphere at 800-1000 ℃ |
| REN Yanjie, LV Yunlei, DAI Ting, GUO Xiaohui, CHEN Jian, ZHOU Libo, QIU Wei, NIU Yan |
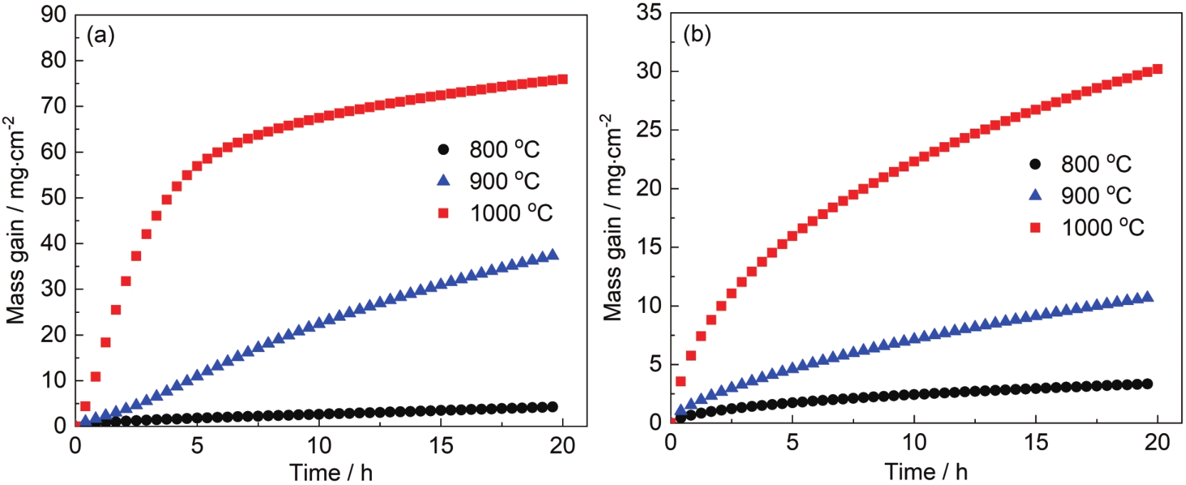
| 图3 两种Co-20Ni-Al合金在800,900和1000 ℃下105 Pa O2中氧化20 h的动力学曲线 |
| Fig.3 Oxidation kinetic of Co-20Ni-3Al (a) and Co-20Ni-5Al (b) in 105 Pa O2 for 20 h at 800, 900 and 1000 ℃ |
|